| CATEGORII DOCUMENTE |
| Astronomie | Biofizica | Biologie | Botanica | Carti | Chimie | Copii |
| Educatie civica | Fabule ghicitori | Fizica | Gramatica | Joc | Literatura romana | Logica |
| Matematica | Poezii | Psihologie psihiatrie | Sociologie |
Antibiotice aralchilice si tetraciclice
I.) Derivati aralchilici
Antibioticele cu structura aralchilica sunt cloramfenicolul si derivatii sai:
R = H - Cloramfenicol
-OC-(CH2)2-COONa - Hemisuccinat de cloramfenicol si Na
-OC-(CH2)14CH3 - Palmitat de cloramfenicol

Identificarea acestor compusi se realizeaza prin reactii specifice functiilor pe care le contin: gruparea -NO2 aromatica, ester, dicloracetamida.
Reactii caracteristice functiei nitro aromatice
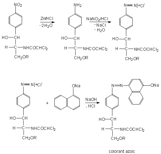
a.) Reactia de reducere la amina aromatica in mediu acid
Functia -NO2 aromatica se poate reduce la -NH2 aromatica in mediu acid. Amina rezultata se pune in evidenta prin reactia de diazotare si cuplare in mediu bazic cu -naftol.

Tehnica:
-0,02g substanta se dizolva in 2 ml HCl (R). Se adauga 0,01g pulbere de Zn (R) si se incalzeste 10 minute pe baia de apa. Se filtreaza, se raceste la 5◦C, se adauga 2 ml NaNO2 (R). Se lasa in repaus 5 minute la rece. Se adauga 2 ml solutie proaspata alcalina de -naftol si se obtine o coloratie rosie-portocalie.
Observatie: Mediul de cuplare cu -naftol, trebuie sa fie alcalin; in caz contrar se alcalinizeaza.
b.) Reactia de reducere la hidroxilamina in mediu neutru
Functia -NO2 aromatica se reduce in mediu neutru la hidroxilamina, care se identifica prin transformare in acid hidroxamic si apoi cuplarea cu ionul Fe (III).

Tehnica:
-0,01g substanta se dizolva in 3 ml etanol, se trateaza cu 3 ml dintr-o solutie obtinuta prin diluarea unui volum de CaCl2 (R) cu 9 volume de apa. Se adauga 0,05g pulbere de Zn (R) si se incalzeste pe baia de apa 10 minute. Se decanteaza lichidul clar de deasupra intr-o eprubeta si se adauga 0,1g acetat de sodiu anhidru si 3 picaturi de clorura de benzoil. Se agita amestecul 1 minut, se adauga 0,5 ml FeCl3 si la nevoie HCl diluat (R). Se obtine o coloratie violacee purpurie.
Reactii caracteristice restului dicloracetamida
a.) Reactia de punere in evidenta a clorului
Clorul prezent in molecula cloramfenicolului se deceleaza prin proba Lassaigne sau prin mineralizare cu alcalii.
Tehnica:
-0,01g substanta se trateaza cu 2 ml NaOH 30% si se incalzeste la fierbere. Apare o coloratie galbena. Dupa racire se aciduleaza cu HNO3 (R), iar coloratia dispare. Se adauga 1 ml AgNO3 (R) si se formeaza un precipitat alb cazeos.
Observatie :
In cazul esterilor cu acizi grasi, la acidulare cu acid azotic, precipita acidul respectiv. Precipitatul se separa prin filtrare, iar in solutie se executa reactia cu AgNO3.
b.) Reactia Fujiwara caracteristica derivatilor polihalogenati
Cloramfenicolul, avand in molecula un rest polihalogenat (dicloracetic), da reactii caracteristice acestora ( vezi derivatii polihalogenati).
c.) Reactia cu hidroxid de sodiu si fenol (reactia aurinelor)
Cloramfenicolul, prin fuziune cu hidroxid de sodiu si fenol, formeaza o coloratie rosie. Aceasta se explica prin formarea unui colorant difenilmetanic intre acidul dicloracetic si fenol.

Tehnica :
-0,01g substanta se trateaza cu 5 picaturi rezorcina (fenol lichefiat) si 0,2g NaOH (R). Fuzioneaza. Apare o coloratie rosie bruna.
Reactia de saponificare specifica functiei ester
Esterii cloramfenicolului (palmitat, hemisuccinat) se pun in evidenta prin saponificarea functiei ester si identificarea acidului respectiv.

Tehnica:
-0,5g substanta se incalzeste sub refrigerent cu 5 ml solutie alcoolica de KOH N timp de 10 minute. Dupa racire se dilueaza cu 5 ml apa. Se aciduleaza cu HCl diluat (R). In cazul palmitatului de cloramfenicol depune un precipitat galbui care se purifica prin dizolvare in acetona si precipitare cu apa. Se usuca si se identifica prin punctul de topire (p.t.=63◦C).
Observatie: Cloramfenicolul si hemisuccinatul de cloramfenicol, dupa acidulare nu precipita.
II. Derivati tetraciclici - Tetracicline
Tetraciclinele sunt antibiotice cu structura tetraciclica, avand la baza naftacenul partial hidrogenat. Ele corespund formulei generale:

Cele mai uzuale tetracicline sunt:
|
Denumirea |
R |
R1 |
R2 |
R3 |
R4 |
|
Tetraciclina |
H |
CH3 |
OH |
H |
H |
|
Clortetraciclina |
Cl |
CH3 |
OH |
H |
H |
|
Oxitetraciclina |
H |
CH3 |
OH |
OH |
H |
|
Pirolidenometil-tetraciclina |
H |
CH3 |
OH |
H |
-CH2-N |
|
Doxiciclina |
H |
CH3 |
H |
OH |
H |
|
Metaciclina |
H |
-CH2- |
OH |
H |
Tetraciclinele se prezinta ca pulberi cristaline, galbene, fara miros, cu gust amar, sensibile la lumina si umiditate. Datorita prezentei in molecula a functiilor fenol si enol cu caracter acid si a aminei tertiare bazice, tetraciclinele prezinta caracter amfoter. Sunt foarte greu solubile in apa. Se dizolva in acizi diluati si in solutii de hidroxizi alcalini cu descompunere. La nivelul functiei aminice tertiare formeaza cu usurinta saruri cu acizii. De obicei se folosesc sub forma de clorhidrati. Spre deosebire de tetraciclinele amfotere, clorhidratii sunt solubili in apa, iar solutiile apoase ale clorhidratilor de tetracicline prezinta un pH acid.
A.) Reactii generale
Tetraciclinele, avand in constitutia lor o functie fenolica, o amina tertiara si grupari specifice de ligand (p-fenol-oxo; p-enol-oxo) se identifica prin reactii caracteristice acestora.
a.) Reactii datorate functiei fenolice
Reactia cu clorura ferica
Tehnica:
-0,05g substanta se dizolva in 1 ml apa si 2 picaturi de alcool. Se adauga 2 picaturi FeCl3 3% (R). Apare o coloratie bruna.
Reactia cu acidul sulfanilic diazotat
Tehnica:
-0,05 g substanta se dizolva in 2 ml Na2CO3 10%(R) .Se raceste si se adauga 1ml acid sulfanilic proaspat diazotat. Se obtine o coloratie portocalie.
Observatie: Acidul sulfanilic diazotat se obtine din acidul sulfanilic dizolvat in HCl diluat (R). Se raceste la 5◦C . Se adauga o solutie apoasa de NaNO2 proaspat preparata. Cuplarea cu componenta fenolica, respectiv cu tetraciclinele trebuie sa aiba loc la rece si in mediu bazic.
b)Reactii datorate functiei fenol-oxo si enol-oxo
Tehnica:
-0,05g substanta se dizolva in 2 ml Na2CO3 diluat (R). Se adauga 0,1ml CaCl2 1:1(R), MgCl2 (R) , sau ZnCl2 (R). Se obtine un precipitat galben solubil in acid acetic diluat(R).
c)Reactii datorate aminei tertiare
Prin prezenta aminei tertiare, tetraciclinele precipita cu reactivii generali ai alcaloizilor. Se recomanda reactivii: Mayer, Bouchardat, Dragendorff, acidul picric.
Tehnica:
-0,05g substanta se dizolva in 2 ml apa. Se adauga 1ml reactiv. Se obtin precipitate colorate in galben, galben brun.
B. REACTII SPECIFICE DE DIFERENTIERE A TETRACICLINELOR
1)Reactia cu acid sulfuric concentrat
Tehnica:
-0,5mg substanta se trateaza pe o placa de portelan cu o picatura de H2SO4 (R). Se obtine o coloratie violeta pentru Tetraciclina si Solvocilina, rosie pentru Oxitetraciclina, albastra, apoi verde maslinie pentru Clortetraciclina si portocalie pentru Metaciclina, galbena pentru Doxicilina.
2)Reactia specifica Pirolidinometiltetraciclinei de descompunere cu acid sulfuric
Pirolidinometiltetraciclina rezultata prin condensarea tetraciclinei cu formol si pirolidina, la incalzire cu H2SO4 diluat se descompune in componente. Formolul degajat se identifica prin capacitatea de reducere.
Tehnica :
-0,05g substanta se trateaza cu 2ml H2SO4 diluat (R).Se incalzeste pe baia de apa 15 minute. Se degaja miros de formol. Daca se aplica la gura eprubetei o hartie de filtru imbibata cu [Ag(NH3)2]NO3 (R), aceasta se brunifica.
C.REACTII SPECIFICE SARURILOR DATORATE ANIONULUI
Majoritatea sarurilor de tetraciclina utilizate in terapie sunt clorhidrati. Ionul clorura se indentifica in solutii apoase prin precipitarea cu AgNO3.
|
Politica de confidentialitate | Termeni si conditii de utilizare |
Vizualizari: 2884
Importanta: ![]()
Termeni si conditii de utilizare | Contact
© SCRIGROUP 2026 . All rights reserved