| CATEGORII DOCUMENTE |
| Astronomie | Biofizica | Biologie | Botanica | Carti | Chimie | Copii |
| Educatie civica | Fabule ghicitori | Fizica | Gramatica | Joc | Literatura romana | Logica |
| Matematica | Poezii | Psihologie psihiatrie | Sociologie |
Fotogrammetria este definita ca stiinta si tehnologia de obtinere a unor formatii referitoare la obiectele fizice si mediului inconjurator de la distanta, fara contact fizic cu acestea, prin inregistrarea, masurarea si interpretarea unor imagini fotografice metrice, numite fotograme.
Aspectul calitativ al obiectelor fizice si al mediului inconjurator este obiectul de studiu al fotointerpretarii, la care s-a adaugat in ultimele decenii teledetectia. , impreuna cu fotointerpretarea si teledeteetia, fotogrametria face rte din grupul geostiinteior.
2.3. Transformarea conforma tridimensionala.
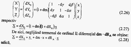
Daca, pe langa rotatia spatiala R (tratata in paragraful anterior) se considera o diferenta de scara intre cele doua sisteme (reprezentata printr-un factor m), precum si translatia originii sistemului arbitrar oxyz fata de cel de referinta OXYZ (evidentiata prin marimile X0, Y0 Z0, fig. 2.6), se obtine transformarea conforma spatiala (tridimensionala), sau transformarea ortogonala tridimensionala, reprezentand (matematic) o similitudine (asemanare).

in acest caz, relatiile dintre coordonatele unui punct in sistemul de referinta OXYZ si coordonatele aceluiasi punct in sistemul arbitrar oxyz vor fi de forma:

Aceasta transformare contine 7 parametri independenti (cele 3 translati (X0, Y0, Z0), factorul de scara m si 3 rotatii ( , ) incluse in matricea R). Ea va fi utilizata in fotogrametrie la orientarea absoluta a stereomodelului (imaginea spatiala obtinuta cu ajutorul a doua fotograme conjugate) in raport cu terenul.
Forma liniarizata a transformarii conforme tridimensionale
In forma (2.24), transformarea conforma spatiala (3D) nu este liniara in raport cu parametrii necunoscuti (de fapt, in raport cu 4 dintre acestia: m, α, , ). Deoarece, dupa cum se stie, pentru determinarea parametrilor necunoscuti trebuie utilizate ecuatii liniare, relatiile (2.24) vor trebui liniarizate. trebuie precizat ca forma liniarizata este o forma diferentiala, prin care se pot obtine corectii ale parametrilor, pe baza unor valori aproximative ale acestora.
Se presupune deci, ca s-a facut in prealabil o transformare aproximativa (utilizand valori aproximative ale parametrilor) urmand a se determina (iterativ) corectii ale acestora. Prin urmare,
in locul factorului de scara m, se va considera 1 + dm;
in locul matricei de rotatie R, se va considera I + dRA;
in locul translatiilor X0, Y0, Z0, se vor considera corectiile (0+) dXo, dY0, dZ0.
Trebuie remarcat faptul ca intocmirea translatiilor X0, Y0, Z0, cu corectiile diferentiale dX0, dY0, dZ0, nu este obligatorie deoarece acestea intervin liniar in relatiile (2.24), dar este recomandabila din considerente numerice (omogenitatea valorilor).
De asemenea, referitor la inlocuirile prezentate anterior, se poate preciza faptul ca acestea sunt motivate (matematic) de faptul ca 1 este element neutru la inmultire, I este element neutru la produsul matriceal si O este element neutru la adunare.
|
|
|
|
Avand in vedere aceste consideratii, relatiile (2.24) si (2.25) devin:
|
|
|
Dezvoltand relatiile (2,29) si evidentiind corectiile velor 7 parametri ai transformarii, rezulta: |
|
|
Avand in vedere faptul ca valorile x, y, z obtinute in urma transformarii preliminare (pe baza valorilor aproximative ale parametrilor) sunt destul de apropiate de valorile X, Y, Z (respectiv), se va putea nota
Pentru determinarea marimilor celor 7 corectii va trebui format un sistem I de 7 ecuatii liniare cu 7 necunoscute. Avand in vedere ca pentru un punct (cu coordonate cunoscute in ambele sisteme) se pot forma 3 ecuatii, pentru doua puncte vor rezulta 6 ecuatii, iar pentru al treilea punct va trebui formata ecuatia
in Z (deoarece pentru determinarea rotatiei spatiale sunt necesare 3 puncte cu cote cunoscute). Se poate remarca totodata ca cele 3 translatii se pot obtine cu ; ajutorul unui singur punct (cunoscut in cele doua sisteme), iar factorul de scara m este determinat de doua puncte, adica de distantele corespondente dintre acestea.
Prin urmare, pentru cele 3 puncte vor trebui cunoscute coordonatele X1 Y1, Z1, X2, Y2, Z2, Z3, respectiv x1 y1, z1 x2, y2, z2, x3, y2, z3, pentru a se putea obtine 7 ecuatii liniare de forma (2.30) iar aceste puncte, pentru o buna determinare numerica, vor trebui sa fie cat mai departate (unul de altul).
in cazul coordonatelor obtinute prin masuratori, implicand aplicarea metodei patratelor minime, vor trebui cunoscute mai multe coordonate decat cele mentionate anterior. Astfel, pentru 3 puncte determinate complet in cele doua sisteme (X, Y, Z, respectiv x, y, z) se pot obtine 9 ecuatii cu 7 necunoscute. In fotogrametrie, se utilizeaza de obicei (la orientarea absoluta) 4 puncte situate catre colturile stereomodelului (cu corespondentele din teren), asigurand totodata o buna dispunere din punct de vedere geometric si in consecinta o buna solutie numerica.
Pe de o parte, trebuie mentionat ca aici ca si - in general - in cazul utilizarii unor formule obtinute prin liniarizare (si deci aproximative) solutia va fi iterativa, obtinandu-se (succesiv) corectii ale parametrilor necunoscuti (care vor trebui sa fie din ce in ce mai mici, pentru ca procesul sa fie convergent) si care se vor aplica unor valori aproximative initiale. Referitor la aceste valori aproximative, se poate preciza ca ele depind de aplicatia concreta, iar determinarea lor nu reprezinta o problema deosebita. Totusi, trebuie ca valorile aproximative sa fie suficient de apropiate (ca ordin de marime) de valorile reale ale parametrilor.
2.4. Transformarea afina in spatiul tridimensional
Dupa cum s-a aratat in paragraful 1.2, transformarea afina introduce (fata transformarea conforma) doua tipuri de deformatii: neortogonalitatea axelor cara diferita pe fiecare directie.
Referitor la neortogonalitate, trebuie precizat ca in spatiu aceasta apare in [ane: s12 in planul (X, Y), ei3 in planul (X, Z) si 823 in planul (Y, Z). Avand in ere relatia (1.16) care defineste neortogonalitatea in planul (X, Y), rtogonalitatea spatiala se poate exprima prin produsul urmatoarelor 3 rice:
|
|
in ceea ce priveste al doilea tip de deformatii, se presupune ca sformarea de scara difera pe cele 3 directii. Aceasta se poate exprima prin ricea

Daca la aceste deformatii se adauga rotatia spatiala R (definita de hiurile a, |3, y) si translatia originii (definita de marimile X0, Yo, Z0), se ne transformarea afina tridimensionala, care se poate exprima prin tiile:

Aceasta transformare contine 12 parametri independenti (Xq, Y0, Zo, 12, 23 mx> J%j ni a, P, y) pentru determinarea carora sunt necesare 4 puncte coordonatele cunoscute in cele doua sisteme (avand in vedere ca pentru un et se pot scrie 3 ecuatii). in cazul aplicarii metodei patratelor minime ardonatele fiind obtinute prin masuratori), numarul de puncte va trebui sa fie 4.
Referitor la relatiile (2.33) se poate remarca faptul ca.in cazul rotatiilor ;i, matricea R = (ry ) se poate considera sub forma diferentiala (2.23).
|
|
Dezvoltand relatiile (2.33) si facand notatiile
|
|
se obtine:
Se observa ca aceste relatii sunt independente in raport cu cei 12 parametri necunoscuti (ao, ah a2, a3, b0, bu b2, b3, c0) cu c2, c3) si se pot reprezenta in forma matriceala:

in cazul aplicarii metodei patratelor minime, se poate remarca obtinerea aceleiasi matrice a coeficientilor sistemului de ecuatii normale, diferind doar termenii liberi.
in particular, daca transformarea afina conserva originea (de exemplu, se utilizeaza coordonate reduse la centrul de greutate), numarul parametrilor se reduce la 9 (prin disparitia translatiilor), iar transformarea se numeste centro-afina, avand forma:

Camere fotogrametrice aeriene
Camerele fotogrametrice aeriene sunt echipamente speciale de fotografiere, care pot lucra in conditii deosebite de presiune, temperatura si umiditate. Distanta pana. la obiectele fotografiate este cuprinsa intre cateva sute de metri si cateva zeci de mii de metri. Unele camere pot fi instalate pe vehicule spatiale (sateliti artificiali sau statii orbitale) care evolueaza la peste 200 km altitudine (KVR-1000, Corona). La noi in tara, aerofotografierile se realizeaza cu avioane, fiind destinate realizarii de harti si planuri cu diverse destinatii.
Elementele orientarii interioare sunt determinate in urma unor masuratori de calibrare precise, facute in laborator de catre firma producatoare si sunt trecute in certificatul de calibrare care insoteste fiecare camera,
Obiectivul camerei fotoaeriene este focusat pentru oo, datorita distantei mari pana Ia obiectele fotografiate. inaintea executarii aerofotografierii pentru o zona data, se intocmeste un proiect de aerofotografiere, avand in vedere o serie de date initiale (scopul aerofotografierii, acoperirile longitudinale si transversale intre fotograme, tipul platformei si al camerei cu care se face aerofotografierea, conditiile climatice locale, etc. Pe baza acestor date se intocmeste fisa tehnica a zborului, calculandu-se scara la care trebuie facuta aerofotografierea, inaltimea de zbor, suprafata de teren cuprinsa pe o fotograma, numarul de benzi, numarul total de fotograme si din fiecare banda, unghiul de deriva, timpul de asteptare, timpul de expunere, metrajul de film necesar, durata zborului, etc.
Pe o harta la scara 1:50.000 sau 1:100.000, in functie de scara aerofotografierii si-marimea zonei aerofotografiate, se marcheaza traseele de zbor (se aleg puncte de reper la (KVR-1000, Corona). La noi in tara, aerofotografierile se realizeaza cu avioane, fiind destinate realizarii de harti si planuri cu diverse destinatii.
Camerele fotoaeriene asigura, prin folosirea lor corecta, preluarea fotogramelor la o anumita scara, cu acoperiri prestabilite, dupa un proiect de zbor intocmit m prealabil. Pe cadrul fiecarei fotograme preluata cu o astfel de camera, sunt ^ inregistrate elemente, care asigura identificarea, facilitand exploatarea lor in continuare (indici de referinta, numar de ordine, constanta camerei, ora preluarii, altitudinea platformei aeriene, inclinari I ale acesteia.Fotogramele sunt perspective centrale riguroase din punct de vedere perspective cen-riguroase. Pentru reconstituirea fascicolului de raze de proiectie din momentul preluarii, o deosebita importanta pentru fiecare fotograma o au elementele de orientare interioara ale fotogramei. Acestea sunt urmatoarele:
constanta camerei - este o caracteristica unica pentru fiecare camera . Ea reprezinta lungimea perpedicularei care determina punctul principal.
coordonatele punctului principal P (xp, yP) Punctul principal - este piciorul perpendicularei coborata din punctul nodal posterior (N2) al obiectivului pe planul fotogramei. Coordonatele xp, yp se stabilesc fata de punctul mijlociu (central) al fotogramei, obtinut prin unirea indicilor de referinta de la mijlocul laturilor (de ia colturile) opuse ale fotogramei. Primele doua elemente de orientare sunt reprezentate in fig.II.33
distorsiunile obiectivului fotografic al camerei au fost tratate la punctul 2.4 f
Elementele orientarii interioare sunt determinate in urma unor masuratori de calibrare precise, facute in laborator de catre firma producatoare si sunt trecute in certificatul de calibrare care insoteste fiecare camera,
Dispozitive GPS - utilizate pentru determinarea coordonatelor statiilor de aerofotografiere. O antena de receptie a semnalelor de la satelitii retelei GPS este amplasata la bordul avionului, iar a doua amplasata la sol. Masurarea se face itt regim dinamic, asigurand precizii de ordinul centimetrilor.
Sisteme de compensare a trenarii - prezentate in introducerea capitolului.
Sisteme inertiale de masurare au in componenta
sensori laser, foarte
sensibili, care inregistreaza pozitiile celor trei axe (X,Y,Z) ale
camerei in
momentul preluarii fiecarei fotograme, etc
III.1.1. Clasificare
Wild RC10 - formatul fotogramelor 23 x 23 cm, obiectiv Universal Aviogon; distanta focala 152 mm; obturator cu lamele, timp de expunere 1/500 -1/1000 secunde; deschiderea relativa maxima 1 / 5,6;; film 60 m / 24cm;
RMK A30/23 (Zeiss Obercohen) - formatul fotogramelor 23 x 23 cm. obiectiv Pleogon; distanta focala 300 mm; deschiderea relativa maxima 1 / 5,6; timp de expunere 1/100 -1/1000 secunde; film 120 m / 24cm;
Wild RC20 - formatul fotogramelor 23 x 23 cm, 4 obiectivi intersanj abili de mare rezolutie Aviogon sau Aviotar cu distantele focale: 88mm, 153mm, 213mm si 303mm; obturator cu lamele; timp de expunere 1/100 - 1/1000 secunde, deschiderea relativa maxima 1/4 - 1/22; ; film 120-219 m / 24cm; dispozitiv de compensare a trenarii;
Wild RC36 - formatul fotogramelor 23 x 23 cm, 3 obiectivi intersanjabili
Aparatul
fotoaerian. in vederea
intocmirii planurilor topografice, aero-
fotografierea terenului se executa cu ajutorul unor aparate fotoaeriene
spe
ciale (camere aerofotogrammetrice). Spre deosebire de alte aparate de inregis
trare fotografica de la inaltime a scoartei terestre,
aparatele fotoaeriene desti
nate a furniza fotograme (deci, fotografii pe care se pot face
masuratori) au
distanta focala / constanta, in orice conditii.
Aparatul fotoaerian se asaza astfel incit sa fie cit mai aproape de centrul de greutate al avionului. El ocupa in cabina un spatiu cu dimensiunile de aproximativ 50 x 70 x 50 cm.
Aparatul fotoaerian (fig. 36) se compune din urmatoarele parti: camera 7, cu obiectivul 2, caseta 3, dispozitivul de comanda 4, sistemul de transmisie 5, motorul electric 6 si suportul aparatului 7.
Camerele aerofotogrammetrice pot fi cu film (60 120 m lungime) sau cu placi. Fotogramele pe placi au avantajul ca nu se deformeaza, asigurind in
Aparatul fotoaerian: camera; 2 obiectivul; caseta; dispozitivul de
comanda; 5 sistemul de transmisie; motorul electric; 7suportul; rama cadrului aplicat; placa de presare; pompa de
presiune; bobine de rulare si
derulare
acest mod o mai
mare precizie a lucrarilor.
La aparatele fotoaeriene moderne, toate procesele de fotografiere (bobinarea filmului, expunerea, pastrarea intervalului intre expuneri etc.) sint executate automat. Obturatorul si caseta sint sincronizate electric. in partea de sus a camerei se afla un cadru aplicat 8, situat in planul focal al obiectivului. Imaginea cadrului aplicat apare pe fotograma, constituind sistemul de coordonate proprii. Dispozitivul de comanda 4 actioneaza obturatorul aparatului, rolele cu film etc. Cu ajutorul unor becuri de semnalizare se poate urmari modul de lucru al diferitelor mecanisme ale aparatului.
Caseta 3 cuprinde mecanismul de rulare si derulare
care deplaseaza filmul, cadru cu cadru, in planul focal al obiectivului, mecanisme de masurare, precum si de asigurare a planeitatii filmului 9 si 10.
Dupa marimea distantei focale a obiectivului, aparatele fotoaeriene pot fi: cu distanta focala mica (de la 50 la 150 mm), cu distanta focala medie (de la 150 la 300 mm), cu distanta focala mare (mai mare de 300 mm).
Obiectivele cu distante focale de 50 mm se folosesc pentru fotografierea unor terenuri plane (scari peste 1 : 10 000), cele cu distante focale de 70 mm, pentru terenuri cu forme de relief diferite (dealuri, ses etc), cele cu distante focale de 100 140 mm, in zone muntoase, iar cele cu distante focale de ia 200 mm la 500 mm, pentru descifrari si aerofotografierea centrelor populate.
in tabela 8 se dau caracteristicile unor tipuri de obiective f otogrammetrice. in figurile 37 si 38 sint date obiectivele Super-Aviogon si Russar-29.
III.1.5. Avioane utilizate in aerofotografiere
Avionul
fotogrammetrie. Principalele
caracteristici tehnice ale avionului
fotogrammetrie sint: viteza de zbor, plafonul de zbor, raza de actiune,
greuta
tea.
Viteza de zbor a avionului fotogrammetrie nu trebuie sa depaseasca 300 km/ora. Cind se face fotografierea centrelor populate in vederea intocmirii planurilor topografice la scari mari (1 :2 000 1 :5 000), scarile fotogramelor sint: 1 :4 000 1 : 12 000. Aceasta inseamna ca inaltimile de zbor sint egale cu 600 800 m pina la 1 300 1 800 m, in functie de distanta focala a aparatelor fotoaeriene folosite. Deoarece in intervalul de timp in care se face expunerea (obturatorul este deschis timpul de expunere de la 1 /75 la 1 /300 s) aparatul de aerofotografiere se deplaseaza o data cu avionul, un punct de pe teren nu mai da pe fotografie o imagine punctuara, ci liniara. Cu cit viteza avionului si timpul de expunere vor fi mai mari, iar inaltimea de zbor H mai mica, cu atit imaginea liniara a punctului pe fotografie va avea o lungime mai mare. Acest fenomen este cunoscut sub numele de trenare. Pentru asigurarea preciziei masuratorilor, trenarea maxima admisibila este 0,05 0,1 mm.
Plafonul de zbor al avionului fotogrammetrie (adica inaltimea maxima de zbor) trebuie sa fie de 6 000 8 000 m, pentru a se putea face fotografieri si cu aparate cu distante focale mai mari. in timpul zborului, avionul trebuie sa aiba o buna stabilitate longitudinala si transversala (inclinarile limita fiind de 1 3) si sa pastreze aceeasi inaltime pe timpul fotografierii (cu precizia de 0,01 0,05 H).
Greutatea avioanelor care indeplinesc aceste conditii este de 10 14 tf.
Raza de actiune care se cere avioanelor fotogrammetrice trebuie sa fie de 2 000 2 500 km.
Caracteristicile unor tipuri de obiective fotogrammetrice
|
Tipul de obiectiv |
in mm |
1 :n |
2fl |
Distorsia A max, in mm |
de difractie |
in linii/ mm |
|||
|
Nd, in linii/mm |
Unghiul minim |
in centru |
la margine |
||||||
|
Rodina-2b | |||||||||
|
Russar-29 |
| ||||||||
|
Super-Aviogon | |||||||||
|
Aviogon | |||||||||
|
Pleogon | |||||||||
|
Pleogon | |||||||||
|
Planigon | |||||||||
|
Riegel | |||||||||
|
Aviotar | |||||||||
|
Aviotar | |||||||||
|
Russar-Plazmat | |||||||||
|
Topar | |||||||||
|
Pinatar | |||||||||
|
Tafar-3 | |||||||||
|
Ortoniar-13 | |||||||||
III.2. Metode de aerofotografiere
Inregistrarea fotografica a terenului in vederea obtinerii unor fotograme care sa corespunda scopului urmarit se poate face prin mai multe metode de aerofotografiere.
Dupa pozitia axei de fotografiere, aerofotografierea poate fi : verticala, inclinata (perspectiva) si orizontala
Aerofotografierea verticala se obtine atunci cind axa de fotografiere nu are abateri mai mari de 3 de la verticala punctului in care s-a facut aerofotografierea. Fotogramele obtinute se numesc fotograme nadirale, care datorita defor-matiilor perspective mici sint larg utilizate in lucrarile de intocmire a planurilor la scara mare. in anumite limite se poate considera ca scara pe fotograma nadirala este constanta pe intreaga suprafata a ei.
Aerofotografierea inclinata (in cazul careia axa de fotografiere face cu verticala un unghi mai mare de 3) are avantajul ca permite inregistrarea unei suprafete mai mari de teren, in schimb are dezavantajul cape masura cresterii unghiului de inclinare a, scara detaliilor de pe fotograma variaza in limite tot mai mari .
Aerofotografierea orizontala se foloseste pentru inregistrarea liniei orizontului.
Dupa numarul de aerofotograme care se inregistreaza si dupa dispunerea lor se deosebesc : aerofotografierea obiectelor si detaliilor izolate, aerofotografie^-rea in sir (banda) de fotograme si aerofotografierea pe suprafata.
Aerofotografierea obiectelor izolate (poduri, intersectii a unor strazi principale, statii de cale ferata etc.) consta in inregistrarea pe 2 4 fotografii a suprafetei de teren pe care se afla constructia care intereseaza.
Aerofotografierea in sir (banda) de fotograme
consta in inregistrarea unei portiuni de teren inguste si lungi pe un sir continuu de fotografii aeriene (de-a lungul unui curs de apa, al unei strazi principale etc). Pentru a se asigura inregistrarea pe fotograme a intregii fisii de teren ce urmeaza a fi studiata, precum si pentru a se putea observa stereoscopic modelul terenului, fotografierea se executa in asa fel incit intre fotogramele sirului (benzii) sa fie o acoperire longitudinala de 60% (pentru teren ses). in cazul in care terenul este framintat, avind diferente de nivel mari, acoperirea longitudinala necesara p se calculeaza cu formula:
|
|
in care:
h este diferenta de inaltime maxima intre punctele terenului;
H inaltimea de fotografiere fata de un plan de nivel mediu al terenului.
Dupa fotografiere, acoperirea reala p obtinuta intre fotograme se determina cu formula
|
|
in care:
lx este dimensiunea, in cm, a fotogramei in sensul de zbor;
px lungimea in sensul de zbor a zonei in care doua fotograme adiacente au imagini comune.
Aerofotografierea pe suprafata este folosita atunci cind suprafata care trebuie fotografiata are o latime mai mare decit poate fi cuprinsa intr-o singura trecere in zbor a avionului. Daca latimea zonei este mare fotografierea se face pe mai multe siruri (benzi) paralele, avind intre ele acoperiri transversale de 30%.
Aerofotografierea pe suprafata
|
|
Acoperirea transversala obtinuta dupa fotografiere se obtine masurind pe fotograme (in cm) acoperirea py realizata intre fotogramele sirurilor adiacente si folosind formula:
![]()
in care ly este dimensiunea, in cm, a fotogramei in sens transversal directiei de zbor (de regula ly = lx).
Dupa marimea scarii de fotografiere, metodele de aerofotografiere pot fi: la scara mare (scara de fotografiere mai mare de 1 : 10 000), la scara medie (scara de fotografiere cuprinsa intre 1 : 10 000 si 1 : 30 000) si la o scara mica (scara de fotografiere mai mica de 1 : 30 000).
Scara de fotografiere se alege in functie de o serie de factori, ca: scara planului care trebuie intocmit, precizia dorita, necesitatea descifrarii pe fotograme a unor detalii de dimensiuni mici etc.
Legatura intre scara de fotografiere mf si scara planului mp este data de relatia:
![]()
O data cu perfectionarea continua a opticii aparatelor fotoaeriene, factorul c a crescut de la 100 130 la 200.
Tinind seama si de cerintele privind precizia necesara pentru masuratori cit si de necesitatea de a putea descifra pe fotograme imaginile unor obiecte de dimensiuni mici, scarile de aerofotografiere sint cele din tabela 9.
Dupa timpul cind se executa, metodele de aerofotografiere pot fi: de zi sau. de noapte. Aerofotografierea in scopul intocmirii planurilor si hartilor se executa numai ziua, intre orele 11 14, timp in care umbrele sint reduse ca dimensiuni.
Dupa intervalul spectral folosit, aerofotografierea se poate face cu materiale fotografice (emulsii) sensibile la razele cu lungimi de unda X = 400 770 mj
Scarile de aerofotografiere
|
Scara planului |
Scara de fotografiere |
Lungimea maxima a benzilor in km |
|
1s30 0001:40 000 |
din zona vizibila (ortocromatice, pancromatice, color etc), cu emulsii sensibile la razele cu lungimi de unda X = 800 1 800 mij. din zona infrarosie (materiale infracromatice) si cu emulsii mixte, sensibile atit la razele vizibile cit si la razele infrarosii (materiale fotografice spectrozonale).
in figurile prezentate se dau fotografiile aeriene preluate cu cele trei categorii de materiale. in figura se observa ca vegetatia apare mult mai clar decit in fotografia din figura 46. in fotografia spectrozonala, de exemplu, padurea de rasinoase apare in culoare deosebita fata de aceea de foioase, desi daca sint privite cu ochiul liber se vad de aceeasi culoare verde. in fotografia spectrozonala apar intr-un ton verde, mai inchis, zonele cu umiditate in exces. in studiile pentru proiectarea unor irigatii, desecari, amenajari, aceste date sint de mare folos proiectantilor. Figura 48 prezinta o copie alb negru dupa o fotografie spectrozonala.
Acoperirea transversala obtinuta dupa fotografiere se obtine masurind pe fotograme (in cm) acoperirea py realizata intre fotogramele sirurilor adiacente si folosind formula:
![]()
in care ly este dimensiunea, in cm, a fotogramei in sens transversal directiei de zbor (de regula ly = lx).
Dupa marimea scarii de fotografiere, metodele de aerofotografiere pot fi: la scara mare (scara de fotografiere mai mare de 1 : 10 000), la scara medie (scara de fotografiere cuprinsa intre 1 : 10 000 si 1 : 30 000) si la o scara mica (scara de fotografiere mai mica de 1 : 30 000).
Scara de fotografiere se alege in functie de o serie de factori, ca: scara planului care trebuie intocmit, precizia dorita, necesitatea descifrarii pe fotograme a unor detalii de dimensiuni mici etc.
Legatura intre scara de fotografiere mf si scara planului mp este data de relatia:
![]()
O data cu perfectionarea continua a opticii aparatelor fotoaeriene, factorul c a crescut de la 100 130 la 200.
Tinind seama si de cerintele privind precizia necesara pentru masuratori cit si de necesitatea de a putea descifra pe fotograme imaginile unor obiecte de dimensiuni mici, scarile de aerofotografiere sint cele din tabela 9.
Dupa timpul cind se executa, metodele de aerofotografiere pot fi: de zi sau. de noapte. Aerofotografierea in scopul intocmirii planurilor si hartilor se executa numai ziua, intre orele 11 14, timp in care umbrele sint reduse ca dimensiuni.
Dupa intervalul spectral folosit, aerofotografierea se poate face cu materiale fotografice (emulsii) sensibile la razele cu lungimi de unda X = 400 770 m.
o Scarile de aerofotografiere
|
Scara planului |
Scara de fotografiere |
Lungimea maxima a benzilor in km |
|||
din zona vizibila (ortocromatice, pancromatice, color etc), cu emulsii sensibile la razele cu lungimi de unda X = 800 1 800 mij. din zona infrarosie (materiale infracromatice) si cu emulsii mixte, sensibile atit la razele vizibile cit si la razele infrarosii (materiale fotografice spectrozonale).
In figurile prezentate se dau fotografiile aeriene preluate cu cele trei categorii de materiale. in figura precedenta se observa ca vegetatia apare mult mai clar decit in fotografia din figura in fotografia spectrozonala, de exemplu, padurea de rasinoase apare in culoare deosebita fata de aceea de foioase, desi daca sint privite cu ochiul liber se vad de aceeasi culoare verde. in fotografia spectrozonala apar intr-un ton verde, mai inchis, zonele cu umiditate in exces. in studiile pentru proiectarea unor irigatii, desecari, amenajari, aceste date sint de mare folos proiectantilor. Figura prezinta o copie alb negru dupa o fotografie spectrozonala.
V. LUCRARI DE TEREN IN FOTOGRAMMETRIE
V.1. Descifrarea fotogrammetrica
GENERALITATI
Descifrarea fotogramelor consta in stabilirea naturii, destinatiei, caracteristicilor si pozitiei obiectelor situate pe suprafata de teren aerofotografiata. Detaliile descifrate se marcheaza pe fotograme prin semne conventionale.
Dupa continut si domeniul de aplicare, descifrarea poate fi topografica si speciala.
Descifrarea topografica are ca scop identificarea si trasarea pe fotograme (fotoscheme, fotoplanuri etc.) a detaliilor planimetrice precum si a unor detalii de nivelment care trebuie sa figureze pe planul topografic la scara data. O fotograma descifrata cuprinde detalii planimetrice si de nivelment trasate in tus (prin semne conventionale), o serie de caracteristici ale acestora precum si denumirile lor (toponimia).
Descifrarea speciala consta in identificarea si trasarea pe fotograme a datelor necesare in lucrari speciale din domeniul agriculturii (pedologiei), geologiei (prospectiuni), silviculturii, constructiilor, arheologiei, hidrologiei, hidrografiei, sistematizarilor urbane si teritoriale etc.
Dupa locul in care se executa, descifrarea poate fi de laborator (fotoin-terpretare) si de teren, dupa cum determinarea naturii si caracteristicilor obiectelor se executa in laborator sau respectiv pe teren.
Descifrarea de laborator (fotointerpretarea) are avantajul unei mai mari operativitati si economicitati si tendinta actuala este ca ea sa constituie baza in intocmirea planului topografic, care se definitiveaza si completeaza apoi prin lucrari de teren. Fotointerpretarea se caracterizeaza indeosebi prin stabilirea aspectului calitativ al detaliilor care au imagini pe aerofotograme (natura si pozitia obiectelor si partial unele caracteristici si destinatia lor). Cind se pune insa problema determinarii cu precizie a unor caracteristici cantitative (dimensiuni in plan si in inaltime, coordonate etc), a toponimiei, a pozitiei unor detalii care nu au imagini pe fotograme dar trebuie sa figureze pe harta (puncte geodezice, linii telegrafice, izvoare, unele caracteristici ale padurilor si cursurilor de apa, diverse detalii din centrele populate, destinatia unor cladiri publice etc.) este necesar a se face descifrarea pe teren.
Practica a aratat ca descifrarea combinata (initial la birou si finalizarea pe teren) este cea mai indicata.
Descifrarea in laborator a fotogramelor se executa cu ajutorul lupelor (cu putere de marire de 2', 4X, 8X si 10x) si a stereoscopului. Precizia masuratorilor cu ajutorul lupelor cu scari gradate cu puterea de marire 10x este de 0,1 mm. La stereoscop se pot examina imaginile in relief ale terenului fotografiat.
Descifrarea se termina prin trasarea pe fotograma a contururilor, desenarea prin semne conventionale a obiectelor si scrierea denumirilor. Pe foto grama se lucreaza cu creionul, iar la sfirsitul zilei de lucru se traseaza totul in tus (hidrografia in verde, relieful in sepia, hotarele administrative in rosu, iar restul detaliilor in negru).
V.1.1. Criterii pentru descifrare
La descifrarea obiectelor trebuie rezolvate urmatoarele probleme:
gasirea imaginilor obiectelor pe fotograma;
identificarea obiectelor care reprezinta imaginile de pe fotograma;
determinarea caracteristicilor obiectelor, care trebuie sa fie figurate
pe planul topografic (dimensiuni etc).
Pentru rezolvarea acestor probleme se folosesc proprietatile specifice imaginilor obiectelor care apar pe fotograma. Aceste proprietati constituie indiciile de descifrare, care pot fi directe si indirecte.
INDICII DE DESCIFRARE DIRECTE
Indiciile de descifrare directe sint: forma, dimensiunile, tonul si structura imaginilor, umbrele.
Forma obiectului este unul din principalele indicii de descifrare. Ea se schimba prea putin atunci cind variaza scara de fotografiere si atit timp cit dimensiunile imaginilor ramin mai mari de 0,3 0,5 mm.
Dimensiunile imaginilor o-biectelor constituie criteriul de baza atunci cind forma diferitelor obiecte este asemanatoare. Astfel, desi forma drumurilor de diferite categorii (sosele, drumuri de exploatare, poteci etc.) este aceeasi, ele pot fi diferentiate prin compararea latimii (fig. 89). Cunoscind scara de fotografiere si masurind pe fotograma o dimensiune l a imaginii obiectului, valoarea reala L de pe teren este obtinuta din relatia:
L = l * m.
Tonul imaginii fotografice a unui obiect depinde, in primul rind, de puterea de reflexie a obiectului. Diferentele de ton ale imaginilor fotografice au o deosebita importanta in special la descifrarea vegetatiei si a solurilor. Pe fotogramele pozi tive, tonurile cele mai deschise le dau drumurile, nisipurile, fatadele in culori deschise ale cladirilor, culturile agricole aproape de seceris etc Tonul imaginilor depinde de: culoarea naturala a obiectului, cantitatea de lumina care cade pe el, proprietatile de reflexie ale obiectelor, directia razelor care lumineaza obiectul etc.
Structura imaginii fotografice a
obiectelor este indiciul
de descifrare principal pentru unele obiecte. Astfel, suprafetele cu
paduri se deosebesc de celelalte din jur, datorita structurii
granulare a imaginii coroanelor arborilor (v. fig. 89). Dupa structura
imaginii pot fi deosebite padurile batrine de cele tinere.
|
|
|
|
|
|
|
|
Umbrele obiectelor permit descifrarea usoara mai ales a obiectelor inalte (turnuri, cosuri de fum, cladiri inalte etc). Umbrele se impart in: umbre proprii si umbre purtate ale obiectelor insesi si umbre acoperitoare, care provin de la alte obiecte si care acopera obiectele ce trebuie descifrate.
Prin umbra proprie se intelege umbra care acopera partea neluminoasa a obiectului. Umbra purtata este umbra proiectata de obiect pe suprafata pamintului sau pe alte obiecte (fig. 90).
Datorita contrastului lor mare fata de forma unor obiecte chiar la scari mai mici de fotografiere. in figura 89 se observa in zona triajului (zona incercuita din dreapta, jos) umbrele a trei cosuri ale unei intreprinderi industriale.

. INDICII DE DESCIFRARE INDIRECTE
Indiciile de descifrare indirecte se folosesc la descifrarea obiectelor care nu au imagini pe fotograme. Descifrarea se bazeaza pe legaturile reciproce dintre obiectele care dau imagini certe si acele obiecte ale caror imagini nu apar de loc sau apar insuficient pe fotograme. Astfel, daca pe fotograma se vede ca un drum ajunge la malul unui riu si continua pe celalalt mal, se poate stabili ca in acel loc exista un vad. Daca se observa aglomeratie de barci, se admite ca este vorba de un debarcader.
Statiile de autobuze, tramvaie, troleibuze se descifreaza dupa aglomerarea mijloacelor respective in anumite locuri si prezenta unei aglomeratii mari a pietonilor pe trotuare.
Tot in categoria indiciilor indirecte poate fi cuprinsa si schimbarea proprietatilor unor obiecte, sub influenta altor obiecte sau fenomene. Astfel,, schimbarea umiditatii solului influenteaza asupra puterii de reflexie a vegetatiei. Zonele mai umede, cu apa freatica mai la suprafata, apar pe fotogramele pozitive in tonuri mai inchise asa cum se observa in lunca de pe malul opus centrului populat .
CALITATEA DESCIFRARII
Calitatea descifrarii depinde de modul in care indiciile de descifrare dau: informatiile necesare cu privire la obiectele care trebuie sa figureze pe planul topografic. Principala caracteristica ce asigura utilizarea in bune conditiuni' a indiciilor de descifrare este scara fotogramei, fotoplanului sau fotoschemei folosite la descifrare. Pentru descifrare se folosesc de regula copii pozitive marite (la scara planului ce se intocmeste) ale aeronegativelor.
Cerintele privind precizia de determinare a pozitiei obiectelor si contururilor la descifrare cresc pe masura ce scara fotogramelor scade in raport cu scara fotoplanului (planului topografic). Pentru obiectele si contururile importante erorile admisibile variaza intre 0,4 0,6 mm, iar pentru celelalte obiecte intre 0,6 si 0,8 mm.
Descifrarea pe fotoplanuri a obiectelor in raport cu detaliile cele mai apropiate se face cu precizia de 0,4 mm. Erorile limita pentru pozitia celor mai-importante detalii (constructii industriale, cai ferate, autostrazi, etc.) nu trebuie sa depaseasca 0,8 mm, iar pentru celelalte detalii si contururi: 1,2 mm.
V.1.2. Descifrarea detaliilor
Pentru intocmirea planurilor topografice trebuie descifrate urmatoarele-obiecte si elemente: punctele retelelor de sprijin, complexele de locuinte,, strazile si cladirile, intreprinderile si constructiile industriale, instalatiile de alimentare cu apa, energie, telecomunicatii, constructiile hidrotehnice si cursurile de apa, caile de comunicatii, terenurile agricole, gradinile, parcurile,, padurile, elementele de relief si toponimia si hotarele administrative.
DESCIFRAREA PUNCTELOR RETELELOR DE SPRIJIN
in cadrul operatiilor de descifrare se trec pe fotograme punctele retelei' de sprijin (triangulatii principale si secundare, puncte de poligonometrie si nivelment). Cind stabilirea pozitiei unor puncte de triangulatie sau poligonometrie este grea, se descifreaza suplimentar puncte ale drumuirilor.. Punctele descifrate se inteapa pe fotograme si se marcheaza cu semnele conventionale respective.
DESCIFRAREA COMPLEXELOR DE LOCUINTE, STRAZILOR SI CLADIRILOR
Descifrarea propriu-zisa a unei localitati incepe cu trasarea, prin semne-conventionale, a conturului exterior, marcat prin drumurile, gardurile sau santurile existente. in portiunile unde nu exista asemenea contururi, se-ia limita terenului de linga gospodarii (se deseneaza pe fotograme cu linii', punctate).
De asemenea se descifreaza si
stilpii de iluminare electrica, ceasornicele electrice, stilpii
izolati, trecindu-se si materialul din care sint construiti
(lemn, metal, beton).
Gurile de vizitare se descifreaza prin identificare direct pe fotograma sau prin reperaj fata de obiectele din jur care au imagini fotografice. Ele se trec pe fotograma prin semnele conventionale respective, dupa destinatia lor (canalizare, conducte de apa, telefon etc).
Daca planul topografic se intocmeste la scara 1:5 000, aceste detalii se trec numai in afara teritoriului construit, pentru a nu se incarca excesiv planul. in interiorul centrelor populate se descifreaza insa liniile de inalta tensiune, magistralele conductelor de gaze, termoficare si petrol, precum si transformatoarele.
5. DESCIFRAREA CONSTRUCTIILOR HIDROTEHNICE SI A CURSURILOR DE APA
Constructiile hidrotehnice si cursurile de apa se descifreaza dupa pozitia lor reala de pe teren si se reprezinta pe plan prin semne conventionale.
Cursurile de apa care au latimi mai mici de 3m se traseaza cu o singura linie verde. Cursurile de apa cu latimi mai mari de 3m se trec cu doua linii verzi, trase pe limita corespunzatoare nivelului mediu al apelor, scriindu-se adincimea medie a apei.
Santurile uscate, izolate, cu adincimea sub 0,50 m si cu latimea pina la 1 m, nu se descifreaza decit daca lungimea lor depaseste 50 m.
La descifrarea riurilor, piraielor, canalelor, santurilor de scurgere se arata prin sageti directia cursului de apa, precum si adincimea.
Riurile, piraiele, lacurile, barajele, podurile, ripele, gropile etc, situate in interiorul centrelor populate, se descifreaza dupa forma pe care o au in natura, in figura 89 se observa un curs de apa care trece pe linga un centru populat, cu pprt si constructii hidrotehnice importante (ecluze, bazine etc).
Liniile malului la lacurile de acumulare, lacurile naturale, helesteiele se descifreaza prin trasarea in tus a conturului care apare pe fotograma daca variatia liniei malului in decursul anului nu depaseste 10 m. Daca variatiile planimetrice anuale ale liniei malurilor depasesc 10 m, se traseaza linia care corespunde nivelului mediu. O atentie mai mare trebuie data descifrarii malurilor la riuri. in acest caz se traseaza pe fotograma linia marginii apei la nivelul mediu. De aceea, descifrarea se face prin recunoasterea pe teren, cu care prilej, in afara de fotograme, se mai folosesc date ale statiilor hidro-metrice si alte materiale documentare. in acelasi mod se vor descifra si lacurile la care variatiile de adincime sezoniere sint mari.
La descifrarea vadurilor se masoara adincimea lor la etiaj (nivelul minim al apelor), cu o precizie de 0,1 m, stabilindu-se si natura fundului (tare, milos, nisip sau pietris).
Pentru orice scara de intocmire a planului se mai descifreaza: sectoirele canalizate ale riurilor, piraiele care trec prin conducte de beton, conductele fortate la baraje, consolidarile de maluri, zidurile de sprijin, barajele, digurile, epiurile, epiuri sparge-valuri si de abatere, ecluzele, podurile pentru
pietoni, podurile (pe plute, pe vase, de lemn, metalice, din beton armat). Daca scara planului nu permite reprezentarea detaliilor descifrate la marimea lor, acestea se trec prin semnele conventionale respective.
Pe riurile navigabile se descifreaza debarcaderele, bazinele portuare cu constructiile anexe, constructiile folosite pentru semnalizari necesare navigatiei, bancurile, bornele kilometrice, posturile hidrologice etc. Daca se cere, se traseaza si senalul navigabil, folosind pentru aceasta si harti speciale pentru navigatie.
Piraiele care in timpul verii nu au apa se deseneaza prin linii intrerupte.
6. DESCIFRAREA CAILOR DE COMUNICATII
Caile de comunicatie cuprind: caile ferate, autostrazile, soselele nationale, drumurile judetene, comunale, drumurile de exploatare si potecile.
Avind forma liniara, caile de comunicatii de toate categoriile se descifreaza Ujor pe fotograme, deoarece imaginile lor sint foarte clare.
Caile ferate apar pe fotograme in forma de linii drepte legate cu curbe largi, avind ton cenusiu-inchis (fig. 95). Spre deosebire de sosele, caile ferate trec de obicei pe la marginea localitatilor. La descifrarea lor se indica daca sint simple sau duble (in cazul ca sint simple, dar cu terasamentul cu latime pentru doua cai, se va arata aceasta), cu cale normala sau ingusta. Prin semne conventionale corespunzatoare se indica si statiile, haltele, platformele, cabinele (pentru ace si manevra), castelele de apa, semafoarele, precum si alte instalatii pentru semnalizare in statii si pe linie, pietrele kilometrice etc.
Podurile de cale ferata se descifreaza indicindu-se dimensiunile si materialul din care sint construite.
in statiile de triaj, liniile cailor ferate se descifreaza separat (la scara 1:5 000 si mai mari), cu cite o linie cu grosimea de 0,2 mm, distantate astfel ca sa corespunda cu pozitia de pe teren.
Liniile de tramvai care fac legatura intre localitati se descifreaza ca linie ingusta electrificata. in interiorul localitatilor, ele se descifreaza cu semnul conventional pentru linii de tramvai.
Pentru sosele se trec pe fotograma latimea partii carosabile si latimea intre santuri, materialul imbracamintii, bornele kilometrice, tablele indicatoare. Pentru poduri se indica lungimea, latimea si capacitatea de transport.
Pentru drumurile judetene si comunale (imbunatatite) se arata latimea si felul imbracamintii.
Pentru toate categoriile de drumuri se indica prin sageti si se scrie denumirea localitatilor catre care duc.
Drumurile apar pe fotograma intr-un ton deschis aproape alb, mult mai deschis decit al cailor ferate (v. fig. 95). Drumurile de exploatare din paduri si potecile au forme sinuoase, neregulate.
Tipul de drum se poate stabili dupa imaginea fotografica. Datele cu privire la poduri si imbracamintea drumurilor se culeg pe teren. Tot pe teren se descifreaza portiunile de drumuri situate in padure sau parcuri si acoperite de coroanele arborilor
Atit la caile ferate cit si la drumuri se descifreaza atent rambleurile si debleurile (cu indicarea inaltimii, respectiv adincimii lor), podetele tubulare, tunelurile (cu indicarea lungimii, latimii si inaltimii lor) etc.
7. DESCIFRAREA TERENURILOR AGRICOLE, GRADINILOR, PARCURILOR SI PADURILOR
Zonele cu paduri naturale, plantatii, perdele de protectie, pepiniere, parcuri si gradini (daca nu au limite artificiale) se descifreaza prin linii subtiri, care apoi se definitiveaza prin semnele conventionale respective.
in interiorul localitatilor se descifreaza toti copacii izolati. Pe bulevarde sau in parcuri se descifreaza copacii prin generalizare, trecindu-se pe fotograma din loc in loc semnul conventional respectiv, fara a corespunde practic unor copaci (descifrarea copac cu copac se face numai daca se cere acest lucru).
Livezile si viile se descifreaza prin semne conventionale, indiferent daca se gasesc in zona construita sau in afara ei.
Parcurile se descifreaza trasind toate aleile, scuarurile etc.
Terenurile agricole se descifreaza marcindu-se pe fotograma categoriile de folosinta (arabil, fineata, gradinarie, livada, vie etc). in interiorul acestor categorii de folosinta se indica, dupa caz, daca terenul este inundabil sau inmlastinat. Daca este vorba de plantatii se vor arata speciile componente.
Padurile de foioase se pot deosebi de cele de rasinoase (fig. 96) prin diferenta de ton (mai ales toamna), structura imaginii (padurile de foioase au o granu-latie mai mare, neregulata) si cu ajutorul umbrelor (rasinoasele au umbre ascutite, conice).
La paduri se indica pe fotograma inaltimea, diametrul mediu al arborilor
si distanta medie dintre trunchiuri
Atit terenurile agricole cit si padurile se descifreaza foarte bine si cu ajutorul fotogramelor care folosesc straturi spectrozonale (sensibile atit la razele vizibile cit si la razele infrarosii).
8. DESCIFRAREA ELEMENTELOR DE RELIEF
Descifrarea pe fotograme a elementelor de relief este in functie de echidistanta stabilita pentru planul topografic care se intocmeste.
Denivelarile de teren care se reprezinta pe fotograme prin semne conventionale pot fi naturale (ripele, viroagele, crestele, rupturile, stin^ile etc.) sau artificiale (terasele, rambleurile, debleurile, carierele etc). Din aceste elemente se descifreaza numai acele denivelari care au o lungime (la scara planului) mai mare de 3 m, iar inaltimea lor este mai mare de 1 m. Pentru ripe si viroage se descifreaza adincimea lor. Daca latimea lor este mai mare de 10 m se descifreaza la scara pe conturul lor real. Pe fotograme se mai descifreaza cumpenele apelor (crestele) si fundul vailor. Elementele de relief naturale se traseaza in tus rosu, cele artificiale in tus negru.
9. CULEGEREA DATELOR DE PE TEREN PRIVIND TOPONIMIA
Datele privind toponimia (denumirea diverselor portiuni de teren) se culeg pe teren folosind planurile mai vechi (la scari mai mici), precum si informatiile date de localnici. Denumirile unor puncte de orientare (poienile cu suprafata redusa, virfurile caracteristice de dealuri si munti, incrucisarile de drumuri, intersectiile drumurilor cu cursurile de apa etc.) se trec cu precizie pe locul respectiv. Alte denumiri care se refera la un munte sau la un deal, sau la versantii lor, la paduri, la lunci, la riuri, lacuri etc. se asaza dupa caz, in locul cel mai potrivit din punctul de vedere al calitatii cartografice a planului.
Hotarele administrative intre judete, comune, cooperative sau ferme agricole etc. se trec pe fotograme (cu tus rosu) numai in urma recunoasterii pe teren impreuna cu delegatii organelor intre care se afla hotarul respectiv.
V.1.3. Organizarea lucrarilor de descifrare
Lucrarile de descifrare a fotogramelor in vederea intocmirii planurilor topografice se desfasoara pe baza unui plan de organizare. Planul de organizare prevede suprafata de teren pentru care se executa descifrarea, impartirea suprafetei de descifrat pe echipe de lucru, timpul de lucru si modul cum se asigura indrumarea si controlul.
in faza de pregatire a lucrarilor de descifrare se executa urmatoarele:
se procura si se studiaza materialele
cartografice (harti, planuri) care
exista pentru zona respectiva;
'Se traseaza zona de lucru pe mozaic;
in functie de fortele existente
se imparte zona de lucru in sectoare si se
repartizeaza la echipe. Apoi se dau fiecarei echipe fotogramele
respective
impreuna cu materialele cartografice necesare;
se pregatesc fotogramele (fotoplanurile) pentru deccifrare;
se intocmesc graficele cu ordinea de lucru, timpul necesar
si urmarirea
realizarilor.
Este indicat sa se intocmeasca modele de fotograme descifrate, care sint de mare ajutor mai ales operatorilor cu mai putina experienta.
ORGANIZAREA LUCRARILOR DE DESCIFRARE PENTRU FOTOPLANURI
in cazul ridicarii unei zone de teren prin metoda combinata (planimetria prin metode fotogrammetrice, iar nivelmentul prin ridicari pe teren), documentul pe care se face descifrarea in conditii optime este fotoplanul.
Fotoplanul reprezinta un fotodocument cu fotogramele asamblate si redresate (corectate de erorile datorite unghiului de inclinare a axei de fotografiere). Fotoplanul reda imaginea continua a suprafetei de teren. Are avantajul ca nu mai necesita delimitarea suprafetelor utile ale fotogramelor si ca reduce si simplifica lucrarile de centralizare a datelor si de raportare a elementelor descifrate.
Deoarece planurile la scarile 1 : 5 000, 1 : 2 000 si mai mari contin un numar mare de detalii, este indicat ca descifrarea fotoplanurilor sa fie efectuata separat de ridicarea reliefului.
Descifrarea se executa prin parcurgerea terenului cu fotoplanul in mina, identificindu-se si raportindu-se toate detaliile care trebuie figurate pe planul la scara respectiva. Pentru ca operatia sa se desfasoare cu randament cit mai mare, se studiaza in prealabil zona de descifrat si se aleg itinerariile astfel incit sa permita identificarea unui numar cit mai mare de detalii intr-un timp scurt. Pe fotoplan se traseaza cu creion moale, bine ascutit, toate detaliile descifrate.
Detaliile care au forme geometrice regulate (cladiri, strazi, portiuni rectilinii de cale ferata poduri etc.) se trec pe fotoplanuri prin intepaturi la colturi si se unesc cu linii trasate cu ajutorul riglei. Natura detaliilor se indica prin scriere cursiva {parc, livada etc), iar la definitivare se trece numai semnul conventional corespunzator.
Detaliile care nu apar pe fotoplan se traseaza prin metodele aratate.
Cind portiunea de descifrat din aceeasi statie este mare, se poate folosi planseta topografica, pe care se asaza fotoplanul. Daca obiectele sint numeroase si nu este loc pentru inscriptii, imaginile obiectelor se numeroteaza, iar datele culese pe teren (numarul cladirii, destinatia, numarul de etaje, materialul de constructie etc.) se trec intr-un carnet de descifrare care este folosit la intocmirea originalului de teren.
ORGANIZAREA LUCRARILOR DE DESCIFRARE PENTRU FOTOGRAME
Cind intocmirea planului se face prin metoda restitutiei sau cind fotoplanu trebuie intocmit intr-un timp scurt, descifrarea se face pe fotograme separate
Tinind seama ca pentru ridicarile centrelor populate acoperirile longitudinale ale fotogramelor sint de 60%, iar cele transversale de 20 30%, fiecare fotograma are o zona utila de 1/3 din suprafata sa. Restul de 2/3 apartine zonelor utile fotogramelor alaturate. Pentru a se sti in care portiune a fotogramei se executa descifrarea, se traseaza zona utila.
in zona cu constructii dense, fotogramele se maresc la o scara aproximativ egala cu scara planului sau chiar mai mare.
Pentru restul situatiilor se pot folosi si fotograme marite numai de 1,5 2 ori, acestea permitind o mai usoara si clara trasare grafica a detaliilor descifrate.
Pentru fiecare fotograma se determina scara si se traseaza zona utila cu linii de 0,5 0,6 mm grosime. Descifrarea trebuie sa depaseasca laturile zonei utile cu 1 2 cm, aceasta usurind racordarea si prevenind situatii in care unele detalii nu ar fi descifrate.
Elementele descifrate pe fotograme sint apoi trecute pe fotoplan, sau folosesc pentru intocmirea originalului la restitutia executata la aparate de ordinul I.
Descifrarea pe fotograme izolate (pozitive prin contact) are avantajul unei imagini fotografice superioare celei a fotoplanului obtinut, ca urmare a unei serii de prelucrari (redresare, proiectare). Aceasta permite o usoara recunoastere a detaliilor si obiectelor dupa imaginile lor. De asemenea, cuplele de foto grame separate pot fi descifrate cu ajutorul stereoscopului, care usureaza si mai mult descifrarea, marind procentul obiectelor si detaliilor care pot fi fotointerpretate.
V.2. Reperajul fotogrammetric
V.2.1. Scopul reperajului
V.2.2. Proiectarea si executia reperajului fotogrammetric
V.2.1. Scopul reperajului
Reperajul fotogrammetrie cuprinde ansamblul de lucrari de teren, d laborator si calcule care au scopul determinarii coordonatelor unor puncte imagini ce se recunosc usor pe fotograme si care sint necesare in procesul d intocmire a fotoplanurilor sau a planurilor restituite. Punctele determinate ca urmare a acestor lucrari se numesc repere fotogrammetrice. Determinarea reperelor fotogrammetrice se poate face pe doua cai: pe cale geodezica, cind se urmareste obtinerea coordonatelor tuturor reperelor prin lucrari de teren;
pe cale fotogrammetrica combinata cu determinarea pe cale
geode
zica, in acest caz se determina pe cale geodezica un numar
redus de puncte
de sprijin, care se indesesc prin fototriangulatie plana sau
spatiala.
in functie de metoda prin care se intocmeste planul topografic, reperajul se imparte in:
reperaj pentru intocmirea planului prin stereorestitutie. in acest caz sint necesare cite patru puncte pe fiecare cuplu de fotograme;
reperaj pentru intocmirea fotoplanului, cind sint necesare cite patru puncte pe fiecare fotograma.
in functie de numarul de puncte care se determina prin lucrari de teren pe benzile de fotograme se deosebesc:
reperajul complet, cind pe fiecare fotograma a benzii se determina toate reperele prin lucrari geodezice, executate exclusiv pe teren;
reperajul rarit, cind se determina prin lucrari geodezice pe teren pozitia unui numar redus de puncte (repere) la capetele benzilor (eventual si la mijlocul lor, restul punctelor necesare intocmirii planurilor determinindu-se prin indesirea triangulatiei in laborator (fototriangulatie plana si spatiala).
in functie de elementele care se determina, reperajul poate fi:
planimetric, cind se determina numai coordonatele planimetrice x
si y ale reperelor fotogrammetrice, necesare pentru intocmirea
fotoplanuri
lor sau planurilor care contin numai elemente de planimetrie;
altimetric, cind se determina numai cotele reperelor z, necesare pentru trasarea nivelmentului;
planimetric si altimetric (complet), cind
se determina coordonatele
spatiale x, y si z ale punctelor, necesare pentru
intocmirea prin stereores
titutie a planurilor.
V.2.2. Proiectarea si executia reperajului fotogrammetric
1. GENERALITATI
Reperajul fotogramelor la ridicarea centrelor populate se bazeaza in principal pe retelele de sprijin. Retelele de ridicare pot fi insa si ele folosite in lucrarile de reperaj.
Lucrarile de reperaj se executa pe baza unui proiect intocmit pe harti la scara 1:25 000, pe care se stabilesc pozitiile punctelor (reperelor) de determinat si modul de obtinere a coordonatelor.
in proiectul de reperaj se prevede determinarea reperelor fotogrammetrice in functie de metoda aleasa pentru intocmirea planului topografic: metoda stereorestitutiei (plan restituit) sau metoda combinata (fotoplan cu trasarea reliefului pe teren).
in cazul intocmirii planului topografic prin metoda stereorestitutiei, pentru determinarea coordonatelor spatiale ale reperelor (x, y, z) se folosesc doua procedee:
|
|
executarea reperajului complet, pentru fiecare stereograma (cuplu de fotograme);
executarea reperajului rarit, determinindu-se repere numai pe cuplurile initiale si finale ale benzilor (si eventual pe cuplurile din mijloc).
in vederea executarii reperajului complet se alege in colturile zonei utile a fiecarei stereograme cite un reper fotogrammetrie. Reperele se aleg in zona de tripla acoperire longitudinala si dubla acoperire transversala, astfel incit ele sa foloseasca si pentru stereogramele adiacente (fig. 98).
Ca repere fotogrammetrice se aleg acele puncte care se pot identifica pe fotograme cu precizia de 0,2 mm, si anume: intersectii de linii si drumuri sub unghiuri apropiate de 90, copaci izolati (tufe) cu diametrul coronamentului sub 2 m (pentru scara 1:5 000) sau pina la 1 m (pentru scara 1: 2 000), colturi de tarlale si parcele, colturi de complexe de locuinte, colturi de case cu un etaj. Se iau ca repere acele detalii care permit determinarea lor cu o precizie de 0,7 m (scara 1:7 500) si 0,3 m (scara 1:3 000).
Nu se aleg ca repere detaliile care au linii curbe, neclare, care sint situate pe versanti, pe virfuri de turle ale anumitor constructii, intersectii de linii sub unghiuri ascutite. Reperajul rarit consta in determinarea unor repere fotogrammetrice (prin lucrari geodezice) numai pe cuplul initial (patru repere cu coordonate x, y, z) si pe cuplul final (doua repere cu coordonate x, y, z). Cind banda este mai mare de patru cupluri, se mai determina doua puncte de control la mijlocul ei. De regula nu se proiecteaza benzi mai mari de sase cupluri. Restul reperelor necesare pentru prelucrarea celorlalte cupluri intermediare se determina pe cale fotogrammetrica prin fototriangulatie spatiala (aerotriangulatie: x, y, z).
in cazul obtinerii planului topografic prin metoda combinata (fotoplan cu ridicarea pe teren a reliefului), intocmirea fotoplanului se face cu fotograme redresate.
Pentru redresarea fiecarei fotograme sint necesare coordonatele planimetrice a cite patru repere fotogrammetrice, dispuse catre colturile suprafetei utile.
Ca si la reperajul in vederea stereorestitutiei si in cazul reperarii fotogramelor pentru fotoredresare se poate executa reperaj complet (cite patru repere pe fiecare fotograma) sau reperaj rarit (cite doua pina la patru repere pe fotogramele initiale si finale ale benzilor, restul determinindu-se pe cale fotogrammetrica prin fototriangulatie plana).
Lungimea maxima admisa a benzilor este de patru cupluri.
Pentru asigurarea preciziei, diferentele de nivel maxime ale terenului cuprins pe o fotograma nu trebuie sa produca deplasari, ale pozitiei punctelor magine pe fotograme mai mari de 0,4 mm. in functie de aceasta conditie se alege inca de la inceput metoda intocmirii fotoplanului sau a planului restituit.
|
|
Un procedeu des utilizat la ridicarile prin metode fotogrammetrice, care usureaza stabilirea pozitiei reperelor fotogrammetrice pe fotograme, este
acela al premarcajului reperelor. In acest caz, inainte de aerofotografiere se marcheaza pe teren punctele retelelor de sprijin si de ridicare, precum si reperele fotogrammetrice, astfel incit imaginile lor sa apara clar pe fotograme. Pentru aceasta, marcajul se face intr-o culoare care sa dea pe fotograma un contrast mare fata de fond (de obicei alb sau galben).
Punctele se marcheaza pe teren prin figuri geometrice (fig. 99), care se varuiesc sau se dau cu ghips. Diametrul (respectiv diagonalele) diferitelor figuri, in metri, se calculeaza cu formula:
in care nif este numitorul scarii
|
|
in care mp este numitorul scarii planului topografic care se intocmeste. Erorile medii (in 'metri) la determinarea planimetrica nti si altimetrica Wft a reperelor fotogrammetrice sint date de relatiile:
|
|
2. OPERATIILE EXECUTATE PE TEREN IN LUCRARILE DE REPERAJ
Operatiile executate pe teren in lucrarile de reperaj sint urmatoarele:
recunoasterea zonei de lucru cu plantarea semnalelor necesare pentru punctele retelei de sprijin care servesc la determinarea reperelor;
identificarea reperelor fotogrammetrice; reperele identificate se inteapa cu un ac subtire cu diametrul intepaturii sub 0,2 mm si se balustreaza;
marcarea pe teren a reperelor, cu tarusi, cuie de fier, creta forestiera (dupa caz);
executarea masuratorilor unghiulare si a distantelor;
intocmirea schitelor de reperaj; se executa obligatoriu pe teren dupa fectuarea .
Masurarea unghiurilor se face cu teodolite de precizie 50cc V, iar masurarea distantelor cu panglici sau fire de otel. In ultimii ani au inceput sa se foloseasca pentru masurarea distantelor aparate electronice (telemetre electrooptice si radiotelemetre), care asigura precizii de peste 1:30 000.
maxime admise in lucrarile de reperaj sint:
pentru planimetrie: 0,2 mm la scara hartii;
pentru altimetrie: 0,20 rn.
|
Politica de confidentialitate | Termeni si conditii de utilizare |
Vizualizari: 4531
Importanta: ![]()
Termeni si conditii de utilizare | Contact
© SCRIGROUP 2025 . All rights reserved