| CATEGORII DOCUMENTE |
| Astronomie | Biofizica | Biologie | Botanica | Carti | Chimie | Copii |
| Educatie civica | Fabule ghicitori | Fizica | Gramatica | Joc | Literatura romana | Logica |
| Matematica | Poezii | Psihologie psihiatrie | Sociologie |
|
Motorul Otto Motorul Otto este denumit astfel dupa numele inventatorului sau Nikolaus August Otto.
Cea mai mare noutate a vremii a fost inventia lui Jean-Joseph-Etienne Lenoir - un motor care ardea gaze naturale. Acesta a fost atasat unei carute si, desi vehiculul se putea misca astfel "pe cont propriu", motorul era extrem de zgomotos si ineficient. Otto s-a gandit ca ar putea imbunatati situatia folosind un combustibil lichid si a inceput sa faca experimente in acest sens. El a construit primul motor cu gaz in anul 1861 si a format un parteneriat cu industriasul german Eugen Langen. Cunoscuta initial sub numele de N.A. Otto & Cie, compania respectiva functioneaza si in prezent, sub numele de Deutz AG. In urma unui accident fericit, Otto a ajuns sa recunoasca valoarea compresiei mixturii de combustibil cu aer inainte de arderea combustibilului respectiv. Astfel s-a nascut ideea ciclului in patru timpi - numit si astazi "Ciclul Otto". Otto si-a petrecut urmatorii cinci ani punand la punct acest proiect, care i-a adus in final medalia de aur pentru 'motorul cu gaz atmosferic' la Expozitia de la Paris, din anul 1867. Motorul Otto este motorul folosit pentru majoritatea automobilelor. |
Motorul Diesel Motorul Diesel este denumit astfel dupa numele inventatorului sau, inginerul german de origine franceza, Rudolf Diesel.
|
|||
|
Modul de functionare unui motor Otto in 4 timpi Timpul 1: Admisia. Pistonul delimiteaza initial in cilindru cel mai mic volum. Supapa de admisie este deschisa, iar cea de evacuare inchisa. Pistonul este tras (prin rotirea axului motorului) si in cilindru patrunde un amestec de aer si vapori combustibili (figura 1−2a).
Timpul 2: Compresia. La sfarsitul admisiei, pistonul delimiteaza in cilindru cel mai mare volum. Ambele supape sunt inchise. Pistonul este impins (prin rotirea axului motorului) si amestecul este comprimat (figura 1−2b). Timpul 3: Arderea. La sfarsitul compresiei, pistonul delimiteaza in cilindru cel mai mic volum. Ambele supape sunt inchise. Amestecul combustibil este aprins printr−o scanteie produsa de bujie si arde foarte rapid. Motorul primeste caldura de la arderea combustibilului. Presiunea si temperatura cresc brusc. Pistonul este impins de gazul care se destinde − motorul efectueaza lucru mecanic! (figura 1−2c). Timpul 4: Evacuarea. La sfarsitul arderii, pistonul delimiteaza initial in cilindru cel mai mare volum. Supapa de evacuare se deschide si gazul din cilindru isi reduce brusc presiunea. Pistonul este impins si gazul este evacuat din cilindru (figura 1−2d). Aceasta succesiune de evenimente se repeta de zeci de ori pe secunda, furnizand in timpii 3 suficienta energie sub forma de lucru mecanic pentru a mentine motorul in functiune, dar si pentru a mentine in miscare sistemul cuplat la motor |
Modul de functionare al motorului diesel in 4 timpi Motoarele diesel in 4 timpi sunt folosite la masini,locomotive,vapoare etc. Principala diferenta fata de un motor pe benzina in 4 timpi e faptul ca combustibilul e injectat in cilindru si nu intra in amestec cu aerul prin supapa de admisie.Iata ciclul de functionare al unui motor diesel in 4 timpi: Timpul 1-Admisia Prin deschiderea supapei de admisie, pistonul se duce in jos deplasandu-se de la punctul mort superior in punctul mort inferior si se introduce aer in cilindru. Timpul 2-Compresia Dupa inchiderea supapelor, pistonul incepe sa se deplaseze dinspre punctul mort inferior spre cel superior comprimand aerul din piston. La un anumit moment al compresiei, prin injector este introdus, in cilindru, combustibilul pulverizat. Timpul 3-Arderea si detenta Amestecul de aer cu vapori de motorina, comprimat intr-un timp foarte scurt, explodeaza, impingand pistonul din punctul mort superior in punctul mort inferior. Timpul 4-Evacuarea Supapa de evacuare se deschide, iar cea de admisie ramane inchisa si, prin deplasarea pistonului din punctul mort inferior in cel superior, sunt evacuate gazele arse din cilindru. Pe durata timpilor 1, 2 si 4 miscarea este transmisa de la arborele cotit la piston, iar pe durata timpului 3, miscarea este transmisa de la piston la arborele cotit, fiind de fapt cea care genereaza functionarea motorului. Pentru o mai buna intelegere a modului de functionare a motorului diesel (motor cu aprindere prin compresie) vom explica mai amanuntit fenomenele care se petrec pe durata timpilor 2 si 3. Combustibilul, introdus prin injectare in cilindru, se autoaprinde venind in contact cu aerul, comprimat in prealabil in cilindrul motorului, datorita temperaturii inalte realizate prin comprimare. Presiunea aerului comprimat este cuprinsa intre 30 si 60 at. si temperatura 500 C si 700 C, corespunzator unui raport volumetric de comprimare cuprins intre 12:1 si 22:1. Introducerea (pulverizarea) combustibilului in cilindru se face cu ajutorul injectorului. Presiunea necesara pentru pulverizarea combustibilului se realizeaza cu o pompa de injectie. Randamentul total (efectiv) al motorului diesel este cuprins intre 0.28 si 0.40. Motoarele diesel se folosesc in centrale termoelectrice, pe nave, locomotive, autovehicule etc. |
|||
|
Randamentul mototrului Otto Intr−o prima aproximatie, calculul randamentului poate fi facut aproximand procesele din timul functionarii motoruli cu transformari simple ale unui gaz ideal (figura 1−3).
In timpul 1, admisia, volumul gazului din
cilindru creste practic la presiune si temperatura Timpul 2, compresia, este suficient de rapida, astfel ca poate fi aproximata prin adiabata 1→2. In acest proces, amestecul combustibil nu schimba caldura si primeste lucru mecanic. Aproximand amestecul un gaz ideal, lucrul mecanic primit este:
Temperatura amestecului creste (T2>T1), ceea ce pune probleme de stabilitate a acestuia: amestecul nu trebuie sa se autoaprinda inainte de finalizarea compresiei. Timpul 3, arderea, corespunde succesiunii de transformari 2→3→4. In starea 2 este declansata scanteia, amestecul se aprinde si arde. Presiunea si temperatura cresc atat de repede incat pistonul practic nu se deplaseaza − procesul 2→3 este aproape izocor. Gazul nu efectueaza lucru mecanic si primeste cantitatea de caldura:
Imediat dupa aceasta, gazul se destinde suficient de rapid pentru a considera procesul ca fiind adiabatic. Gazul nu schimba caldura si efectueaza lucrul mecanic:
La inceputul timpului 4, evacuarea, deschiderea supapei de evacuare provoaca o scaderea brusca a presiunii si temperaturii gazului din cilindru, aproape fara modificarea volumului. Procesul poate fi aproximat prin izocora 4→1. Gazul nu efectueaza lucru mecanic si cedeaza cantitatea de caldura:
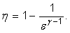
Evacuarea gazului din cilindru este reprezentata punctat, deoarece numarul de moli este variabil. Poti calcula acum randamentul ciclului Otto:
In aceasta forma, randamentul depinde de cele patru temperaturi. Aceste temperaturi nu sunt independente. Pentru transformarea adiabatica 1→2, poti scrie:
De aici, obtii imediat:
Raportul volumelor extreme ale ciclului,
Asemanator, din ecuatia adiabatei 3→4, obtii:
Cu acestea, randamentul ciclului Otto este:
Asadar, randamentul ciclului Otto depinde doar de raportul de compresie ε! Deoarece exponentul adiabatic este supraunitar, cu cat este mai mare raportul de compresie, cu atat mai mare este randamentul! In practica, raportul de compresie tipic al unui motor Otto este in gama 812, fiind limitat de calitatile combustibilului folosit.
|
Randamentul Motorului Diesel Transformarea este aproape o izobara (figura 2−1).
Doua dintre transformarile ciclului Diesel sunt adiabate, astfel incat sistemul schimba caldura cu mediul doar in celelalte doua transformari. Cea de−a doua varianta este mai convenabila − vei fi nevoit sa exprimi doar doua cantitati de caldura. In timpul transformarii izobare 2→3, datorita arderii combustibilului, gazul primeste cantitatea de caldura: In timpul transformarii izocore 4→1, datorita deschiderii supapei de evacuare, gazul se raceste brusc, cedand cantitatea de caldura:
Astfel, expresia randamentului ciclului Diesel devine:
Temperaturile atinse in timpul ciclului nu sunt independente. Din ecuatia compresiei adiabatice 1→2, obtii: unde este raportul de compresie al motorului. Din ecuatia transformarii izocore 2→3, obtii: unde este raportul de destindere izobara. Din ecuatia destinderii adiabatice 3→4: rezulta
Astfel, Folosind in relatia (1) expresiile prelucrate ale temperaturilor, expresia finala a randamentului ciclului Diesel este: Motoarele Diesel functioneaza cu randament mai mare decat cele Otto si pot utiliza combustibili mai ieftini (cum este motorina), neexistand pericolul autoaprinderii in timpul compresiei. Cu toate acestea, motoarele Diesel prezinta dezavantajul unei functionari mai lente − arderea combustibilului se face treptat, pe masura introducerii acestuia in cilindru. Aceasta conduce la motoare mai masive, la aceeasi putere dezvoltata (putere specifica mica). |
|||
|
COMPONENTELE UNUI MOTOR Componentele principale ale unui motor sunt in principiu aceleasi, fie ca este vorba despre un motor Diesel, unul in patru timpi sau unul in doi timpi. Camera de ardere este formata dintr-un cilindru, de obicei fix, obturat in partea de sus cu o piesa numita chiuloasa. Miscarea de du-te-vino a pistonului face ca volumul camerei de ardere sa fie variabil, intre fata de sus a pistonului si fata inferioara a chiuloasei. Pistonul este legat de arborele cotit al motorului printr-o piesa de legatura numita biela. Arborele cotit transforma (prin intermediul bielei) miscarea rectilinie a pistonului intr-o miscare de rotatie.
Fig. 1 Componenta unui motor in patru timpi La motoarele cu mai multi cilindri, arborele cotit are cate o portiune dezaxata (numita maneton) pentru fiecare biela in parte, astfel incat puterea de la fiecare cilindru este transmisa arborelui cotit, la momentul potrivit in timpul rotatiei sale. Arborii cotiti au contragreutati destul de mari (volante), care prin inertia lor micsoreaza la minim neregularitatile aparute in miscarea arborelui. Un motor poate avea intre 1 si 28 de cilindri. Sistemul de alimentare cu combustibil al motorului este alcatuit din rezervor, pompa de combustibil si un dispozitiv care sa realizeze vaporizarea combustibilului. La motoarele Otto, acest dispozitiv poate fi un carburator sau, mai nou, un sistem de injectie. La majoritatea motoarelor cu carburator, vaporii de combustibil sunt condusi spre camera de ardere de catre un sistem de conducte numit galerie de admisie, iar gazele arse sunt evacuate printr-o galerie de evacuare. Combustibilul este introdus in fiecare cilindru si gazele arse sunt evacuate prin asa numitele supape de admisie si supape de evacuare. In mod normal valvele sunt mentinute inchise de catre niste resoarte si sunt deschise la momentul necesar de catre niste came pozitionate pe arborele cu came, care angreneaza cu arborele cotit al motorului. Dupa 1980, mai multe sisteme de injectie sofisticate au inlocuit din ce in ce mai mult vechiul carburator. La motorul cu injectie, un sistem controlat mecanic sau electronic introduce cantitatea optima de combustibil direct in cilindru sau in galeria de admisie, exact la momentul optim.
Fig. 2 Sistemul de alimentare prin injectie Combustibilul se vaporizeaza la intrarea in cilindru. Acest sistem este mult mai eficient decat carburatorul si deasemenea produce mai putina poluare. Toate motoarele sunt prevazute cu un sistem de aprindere a amestecului combustibil. De exemplu, la motoarele Otto sistemul de aprindere este alcatuit dintr-o sursa de curent continuu de joasa tensiune legata la infasurarea primara a unui transformator, numit bobina de inductie. Curentul este intrerupt de catre ruptor. Pulsatiile curentului din primarul bobinei induc un curent pulsator de inalta tensiune in secundarul bobinei de inductie. Acest curent de inalta tensiune este condus catre cilindru printr- un intreruptor rotativ numit distribuitor. Elementul care realizeaza aprinderea combustibilului este bujia, care este un conductor izolat plasat in peretele fiecarui cilindru. In partea de jos a bujiei este prevazut constructiv cu interstitiu intre capatul conducatorului izolat si corpul metalic al bujiei. Curentul de inalta tensiune provoaca descarcari sub forma de arc electric, permitand astfel aprinderea amestecului combustibil din camera de ardere.
Fig. 3 Componenta sistemului de aprindere Datorita caldurii degajate prin combustie, toate motoarele cu ardere interna sunt echipate cu un sistem de racire. Unele motoare de avion, motoarele mici, stationare si motoarele de barca sunt racite cu aer. Alte motoare sunt racite cu apa. Spre deosebire de motoarele cu abur sau de turbine, motoarele cu ardere interna au nevoie de un dispozitiv de pornire. Ele sunt in mod normal pornite cu ajutorul unui motor electric sau starter care este angrenat cu arborele cotital motorului. Motoarele mici sunt pornite adeseori manual prin rotirea arborelui cotit cu ajutorul unei manivele sau cu ajutorul unei sfori infasurate de cateva ori in jurul volantei. | ||||
|
| ||||
COMPONENTELE UNUI MOTOR
Componentele principale ale unui motor sunt in principiu aceleasi, fie ca este vorba despre un motor Diesel, unul in patru timpi sau unul in doi timpi. Camera de ardere este formata dintr-un cilindru, de obicei fix, obturat in partea de sus cu o piesa numita chiuloasa. Miscarea de du-te-vino a pistonului face ca volumul camerei de ardere sa fie variabil, intre fata de sus a pistonului si fata inferioara a chiuloasei. Pistonul este legat de arborele cotit al motorului printr-o piesa de legatura numita biela. Arborele cotit transforma (prin intermediul bielei) miscarea rectilinie a pistonului intr-o miscare de rotatie.

Fig. 1 Componenta unui motor in patru timpi
La motoarele cu mai multi cilindri, arborele cotit are cate o portiune dezaxata (numita maneton) pentru fiecare biela in parte, astfel incat puterea de la fiecare cilindru este transmisa arborelui cotit, la momentul potrivit in timpul rotatiei sale. Arborii cotiti au contragreutati destul de mari (volante), care prin inertia lor micsoreaza la minim neregularitatile aparute in miscarea arborelui. Un motor poate avea intre 1 si 28 de cilindri.
Sistemul de alimentare cu combustibil al motorului este alcatuit din rezervor, pompa de combustibil si un dispozitiv care sa realizeze vaporizarea combustibilului. La motoarele Otto, acest dispozitiv poate fi un carburator sau, mai nou, un sistem de injectie.
La majoritatea motoarelor cu carburator, vaporii de combustibil sunt condusi spre camera de ardere de catre un sistem de conducte numit galerie de admisie, iar gazele arse sunt evacuate printr-o galerie de evacuare. Combustibilul este introdus in fiecare cilindru si gazele arse sunt evacuate prin asa numitele supape de admisie si supape de evacuare. In mod normal valvele sunt mentinute inchise de catre niste resoarte si sunt deschise la momentul necesar de catre niste came pozitionate pe arborele cu came, care angreneaza cu arborele cotit al motorului. Dupa 1980, mai multe sisteme de injectie sofisticate au inlocuit din ce in ce mai mult vechiul carburator. La motorul cu injectie, un sistem controlat mecanic sau electronic introduce cantitatea optima de combustibil direct in cilindru sau in galeria de admisie, exact la momentul optim.

Fig. 2 Sistemul de alimentare prin injectie
Combustibilul se vaporizeaza la intrarea in cilindru. Acest sistem este mult mai eficient decat carburatorul si deasemenea produce mai putina poluare.
Toate motoarele sunt prevazute cu un sistem de aprindere a amestecului combustibil.
De exemplu, la motoarele Otto sistemul de aprindere este alcatuit
dintr-o sursa de curent continuu de joasa tensiune legata la infasurarea primara a unui transformator, numit bobina de inductie. Curentul este intrerupt de catre ruptor. Pulsatiile curentului din primarul bobinei induc un curent pulsator de inalta tensiune in secundarul bobinei de inductie. Acest curent de inalta tensiune este condus catre cilindru printr- un intreruptor rotativ numit distribuitor.
Elementul care realizeaza aprinderea combustibilului este bujia, care este un conductor izolat plasat in peretele fiecarui cilindru. In partea de jos a bujiei este prevazut constructiv cu interstitiu intre capatul conducatorului izolat si corpul metalic al bujiei. Curentul de inalta tensiune provoaca descarcari sub forma de arc electric, permitand astfel aprinderea amestecului combustibil din camera de ardere.

Fig. 3 Componenta sistemului de aprindere
Datorita caldurii degajate prin combustie, toate motoarele cu ardere interna sunt echipate cu un sistem de racire.
Unele motoare de avion, motoarele mici, stationare si motoarele de barca sunt racite cu aer. Alte motoare sunt racite cu apa.
Spre deosebire de motoarele cu abur sau de turbine, motoarele cu ardere interna au nevoie de un dispozitiv de pornire. Ele sunt in mod normal pornite cu ajutorul unui motor electric sau starter care este angrenat cu arborele cotital motorului. Motoarele mici sunt pornite adeseori manual prin rotirea arborelui cotit cu ajutorul unei manivele sau cu ajutorul unei sfori infasurate de cateva ori in jurul volantei.
|
Politica de confidentialitate | Termeni si conditii de utilizare |
Vizualizari: 9991
Importanta: ![]()
Termeni si conditii de utilizare | Contact
© SCRIGROUP 2026 . All rights reserved