| CATEGORII DOCUMENTE |
| Aeronautica | Comunicatii | Electronica electricitate | Merceologie | Tehnica mecanica |
Modulatia impulsurilor in cod (MIC/PCM)
Semnalul analog este proportional cu marimea fizica pe care
o reprezinta semnalul electric (semnalul de vorbire este permanent proportional
cu presiunea acustica exercitata asupra membranei microfonului).
Un semnal electric digital este compus dintr-o succesiune de
simboluri, fiecare simbol putand avea un numar finit de valori posibile
(semnalul telegrafic, poate fi compus dintr-o succesiune de simboluri binare
care pot avea una din doua valori posibile: prezenta sau absenta de semnal).
Fiecare simbol al unui semnal digital poarta intrinsec o
cantitate de informatie q, care depinde de numarul m de valori posibile ale
simbolului:
q = log2m [biti]. (3.1.)
Cantitatea de informatie se masoara in biti (binary digit)
iar un bit corespunde unui simbol binar. Semnalele digitale au fata de
semnalele analogice avantajul de a fi stabile la perturbatii. Decizia la
receptie se ia in cazul semnalului analogic pe o baza cantitativa, iar in cazul
semnalului numeric pe o baza calitativa.
Avantajele sistemului numeric:
- semnalele numerice pot fi regenerate in puncte intermediare ale liniei de
transmisie si in consecinta se obtine o calitate ridicata a transmisiei, care
nu depinde de lungimea liniei si de numarul de statii intermediare;
- introducerea si extragerea de cai, comutarea canalelor in statiile
intermediare se realizeaza in forma numerica, fara pierderi de informatie;
- parametrii canalelor numerice au o mare stabilitate, pe aceste canale nu se
produc supraincarcari si deci se realizeaza calitate ridicata a transmisiei pe
canalele comutabile;
- transmisia informatiei numerice se realizeaza pe canale numerice cu o
eficienta mult mai mare fata de transmisia pe canale analogice.
Dezavantajele sistemului numeric, in comparatie cu cel
analogic sunt: necesitatea conversiei semnalelor analogice in forma numerica
ceea ce implica echipamente suplimentare si cresterea benzii de frecventa
ocupata de semnal in canalul de transmisie.
In retelele de comunicatii se utilizeaza transmiterea
semnalelor digitale, chiar daca semnalul terminalului este de tip analog, in
consecinta, este necesara conversia analog /numerica fie direct in terminale,
fie in circuitul de interfata cu linia analogica a abonatului.
La receptor se va realiza conversia digital-analogica pentru
reconstruirea semnalului sursei.
Dintre metodele de conversie A/D a semnalului, cea mai folosita este modulatia
impulsurilor in cod MIC sau PCM (Pulse Code Modulation).
3.1.1. Conversia analog - digitala
3.1.1.1. Esantionarea semnalelor telefonice, teorema
esantionarii
Esantionarea este procesul prin care semnalul electric
continuu in timp este inlocuit prin impulsuri echidistante in timp a caror
amplitudine este egala sau proportionala cu amplitudinea semnalului continuu la
momentele respective. Aceste impulsuri se numesc esantioane, iar intervalul de
timp dintre esantioane va fi numit perioada de esantionare.
Frecventa de esantionare se noteaza cu f si este egala cu
1/TA.

TA
Fig. 3.1. Esantionarea periodica a
semnalului continuu.
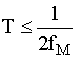
Teorema esantionarii arata ca un semnal continuu, cu
spectrul de frecventa limitat la o frecventa maxima fM este complet
definit de esantioanele lui daca frecventa de esantionare este mai mare sau cel
putin egala cu dublul frecventei maxime fM sau
.
Pentru un semnal telefonic cu spectrul cuprins intre
300-3400 Hz esantionarea trebuie facuta de cel putin 6800 ori pe secunda.
Pentru a exista si unele rezerve, frecventa de esantionare maxima, acceptata
international, este de 8000 Hz. Perioada de esantionare corespunzatoare este:
(3.2.)

Fig. 3.2. Spectrul de frecvente al unei
succesiuni de impulsuri modulate in amplitudine.
O succesiune de impulsuri scurte (?<<TA) cu amplitudine
constanta pastreaza (in domeniul frecventa) un spectru de linii echidistante
avand intre ele un ecart
; daca
amplitudinea nu ramane constanta ci este modulata de un semnal telefonic avand
fM = 3400 Hz atunci, de o parte si de alta a liniilor spectrale
situate la frecventa nfA, apar benzi laterale care se intind pana la
frecventele nfA fM.
Succesiunea de impulsuri modulate in amplitudine va fi
denumita 'semnal PAM' (Pulse Amplitude Modulation).
Spectrul semnalului esantionat pastreaza o componenta de
joasa frecventa identica (dar atenuata) cu a semnalului original, care poate fi
usor separata printr-o filtrare cu filtrul trece jos-FTJ.
Pentru separarea corecta a semnalului original este necesar
ca fA?2fM, astfel incat componenta spectrala de joasa
frecventa si prima banda laterala inferioara sa nu se intrepatrunda.

Fig. 3.3. Generarea semnalului PAM.

Fig. 3.4. Semnal multiplex PAM.
Deoarece durata esantioanelor este mult
mai mica decat perioada de esantionare, rezulta ca diferenta de timp poate fi
folosita pentru transmiterea de esantioane ale altor canale telefonice,
obtinandu-se in acest fel o multiplexare cu diviziune in timp a semnalelor cu
modulatia impulsurilor in amplitudine (MIA sau PAM / Pulse Amplitude
Modulation).
In fig.3.4. semnalul multiplex PAM este format din
esantioanele intretesute ciclic a trei semnale telefonice a, b, c.
3.1.1.2. Cuantizarea
Cuantizarea reprezinta procesul prin care se realizeaza asocierea
amplitudinilor posibile ale esantioanelor la un numar finit de valori discrete.
Semnalul PAM este de tip analog ca si semnalul modulator
original. Aceasta insemneaza ca amplitudinea esantioanelor, care reprezinta
purtatoarea informatiei, ramane egala sau proportionala cu amplitudinea
semnalului modulator si poate lua orice valoare dintr-un domeniu continuu de
valori. Semnalul PAM ramane sensibil ca si semnalul original la perturbatiile
cauzate de salturile de amplitudine si de faza ce apar de-a lungul canalului de
transmisiuni. Este necesar ca amplitudinea esantioanelor sa fie transformata in
valori care sa fie transmise si prelucrate sub forma digitala.
Intregul domeniu de valori posibile pentru amplitudinea
semnalelor este divizat intr-un numar finit de intervale de cuantizare. Toate
amplitudinile cuprinse intre doua nivele de decizie primesc valoarea nivelului
de reconstructie respectiv. Intre cele doua nivele de decizie se afla un nivel
de reconstructie, situat la egala distanta de cele doua nivele de decizie
asociate.
Prima etapa in transformarea semnalului PAM este impartirea
domeniului continuu de valori pe care il acopera amplitudinile esantioanelor
intr-un numar finit de intervale de cuantizare. Intregul domeniu a fost
impartit in 16 intervale, 8 intervale in domeniul valorilor pozitive (+1 la +8)
si alte 8 intervale in domeniul valorilor negative (-1 la -8). Intervalele sunt
despartite unul de celalalt prin nivele de decizie.
Dupa ce s-au stabilit intervalele de cuantizare se poate
determina carui interval de cuantizare ii apartine amplitudinea fiecarui
esantion.
Pe canalul de comunicatie este transmis numarul de ordine
(-8 la +8) al intervalului respectiv si nu esantionul propriu-zis.

Fig. 3.5. Cuantizarea uniforma a
amplitudinii esantioanelor unui semnal analog.
Se constata ca printr-un acelasi numar de ordine au fost
etichetate esantioane de amplitudini diferite cum sunt cele ale momentelor t0
si t2 precum si ale momentelor t4 si t5.
La receptie, dupa primirea numarului de ordine, esantionul
este reconstituit la amplitudine fixa numita nivel de reconstructie si egala cu
valoarea medie a intervalului de cuantizare.
Ca urmare a fenomenului de refacere apar mici abateri fata
de valoarea efectiva din momentul esantionarii semnalului analogic de la
emisie. Pentru fiecare esantion abaterea poate sa ajunga pana la o jumatate de
interval de cuantizare.
Apare o distorsiune de cuantizare care este perceputa la
receptie ca un zgomot suprapus peste semnalul util, de aceea se numeste zgomot
de cuantizare.
Rezulta ca prin acest proces se inregistreaza introducerea
unei erori in procesul de reconstructie a semnalului transmis.
Zgomotul de cuantizare este inevitabil, dar el este mentinut
la nivelele cat mai mici posibile, pentru a fi practic nesesizabil de abonati.
In cazul cuantizarii cu intervale egale (numita uniforma sau
liniara), distorsiunea de cuantizare actioneaza foarte puternic asupra
semnalelor de mica amplitudine. Raportul dintre un asemenea semnal si
distorsiunea (maxima) de cuantizare poate fi foarte mic in timp ce pentru
semnale mari acest raport poate avea valori mari.

Fig. 3.6. Distorsiunea de cuantizare.
Analiza statistica a semnalului de vorbire arata ca
amplitudinile mici sunt acelea care apar mult mai frecvent decat cele mari.
Se apreciaza ca raportul semnal /eroare de cuantizare este
variabil, daca se foloseste o cuantizare uniforma, defavorizate fiind semnalele
de amplitudine mici pentru care eroarea este foarte mare in comparatie cu
valoarea semnalului util.
Pentru a asigura un raport semnal /eroare de cuantizare
independent de valoarea semnalului, poate fi folosita cuantizarea neuniforma,
care asigura:
- intervale de cuantizare mici pentru semnale de amplitudini mici;
- intervale de cuantizare mari pentru semnale de amplitudini mari.
Se foloseste cuantizarea neuniforma care este specificata in
Rec. G 711 a CCITT.

Fig. 3.7. Cuantizare neuniforma.
Pentru a obtine un raport semnal /zgomot
de cuantizare satisfacator pentru amplitudinile mici si mari s-a procedat in
felul urmator: semnalele mici sunt cuantizate cu intervale mici, in timp ce
cuantizarea semnalelor mari se face cu intervale mari; cuantizarea este
neuniforma iar raportul semnal /zgomot de cuantizare devine uniform in tot
domeniul de amplitudini. Aceasta cuantizare se mai numeste si
'compandare', sugerand ca la emisia semnalelor de amplitudini mari
sufera o anumita 'compresie' in raport cu cele de amplitudine mica,
fiind refacute la receptie prin 'expandare'.
Cuantizarea cu compresie poate fi realizata prin:
- cuantizarea neliniara, adica aplicand direct semnalul analog unui cuantizor
cu intervale crescande;
- aplicarea semnalului analog unui cuadripol neliniar, compresor capabil sa
comprime amplitudinile mari, urmat de un cuantizor liniar, cu intervale egale.
Cele doua moduri de realizare a compresiei sunt realizate
grafic in figura 3.8. a si b. Se permite ca raportul semnal/distorsiune de
cuantizare sa ramana constant pe un domeniu de valori relativ extins.

Fig. 3.8. Modalitati de realizare a compresiei:
a) cuantizarea neliniara; b) compresie urmata de cuantizare liniara
Prin cuantizarea neliniara se reduce
considerabil numarul de intervale de cuantizare necesar. In timp ce cuantizarea
liniara necesita aproximativ 1000 de intervale in domeniul pozitiv si 1000
intervale in domeniul negativ, la cuantizarea neuniforma numarul de intervale
poate fi de 128 in fiecare din cele doua domenii.
Cuantizarea neuniforma este specificata in Rec G 711 CCITT sub forma de
caracteristici, care pot fi:
- caracteristica cu 13 segmente (legea A de cuantizare) pentru sistemele PCM
30;
- caracteristica cu 15 segmente (legea de cuantizare) pentru sistemele PCM
24.

Fig. 3.9. Caracteristica din 13 segmente (legea A).
Caracteristica cu 13 segmente (utilizata in Europa) este constituita, atat in domeniul pozitiv cat si cel negativ, din 7 segmente. Numarul total de segmente este 13 (si nu 14) deoarece segmentele adiacente originii axelor de coordonate se gasesc unul in prelungirea celuilalt, constituind deci un singur segment (si nu doua). Dupa aceasta caracteristica se efectueaza cuantizarea neuniforma a semnalelor telefonice din sistemele de comunicatie moderne. Pe abscisa sunt indicate valorile normate (raportul dintre valoarea instantanee si valoarea maxima) ale semnalului analog ce urmeaza a fi cuantizat, pe ordonata sunt indicate numerele de ordine ale intervalelor de cuantizare.

Fig. 3.10. Jumatatea pozitiva a caracteristicii de 13 segmente.
In fig. 3.10. se reprezinta amanuntit jumatatea pozitiva a caracteristicii de 13 segmente. Rezulta pentru primul segment de abscisa numai 1/64 din totalul care contine 32 intervale de cuantizare, pentru celelalte segmente sunt alocate cate 16 intervale. Cele 16 intervale corespunzatoare ultimului segment al caracteristicii acopera nu mai putin de jumatate din intregul domeniu de amplitudini a segmentului de intrare.
3.1.1.3. Codarea
In urma procesului de cuantizare, amplitudinea fiecarui
esantion PAM este transformata intr-un numar, care este numarul intervalului de
cuantizare in care este esantionul respectiv.
Aceasta transformare este realizata in convertorul A/N,
rezultand cuvinte de cod alcatuite din simboluri binare.
La prelucrarea semnalul vocal sunt necesare 256 intervale de
cuantizare.
Pentru a atribui fiecarui interval un cuvant de cod, este
necesar ca acesta sa aiba 8 biti (28 = 256).
Intervalele de cuantizare se noteaza cu 0 la +127 pentru
domeniul pozitiv si cu 0 pana la -127 pentru domeniul negativ; se mai
stabileste ca in domeniul pozitiv primul bit sa fie 1 iar pentru domeniul
negativ primul bit sa fie 0. S-a definit codul 'binar simetric' ale
carui intervale de la origine vor fi:
Tabelul 3.1.
|
Intervalul de cuantizare |
Cuvant de cod |
|
+1 |
10000001 |
|
+0 |
10000000 |
|
-1 |
00000001 |
|
-0 |
00000000 |
Deoarece in practica se constata ca amplitudinile mici au
frecventa relativ mare, apare evident ca probabilitatea de aparitie a
cuvintelor de cod corespunzatoare intervalelor (0,+1), (-0,-1) sa fie ridicata
si deci apar succesiuni lungi de zerouri, ceea ce in transmisiile digitale este
dezavantajos deoarece face dificila regenerarea la receptie a semnalului de
tact. De aceea, in practica se utilizeaza codul binar simetric cu inversarea
alternativa a bitilor (Alternate Digit Inversion, ADI); valoarea fiecarui bit
cu numar de ordine par (in cuvantul de cod) este inlocuita cu opusul ei.
Exemplu:
+0 10101010
+1 11010101.
Din fiecare cuvant de cod se poate deduce in care segment al
caracteristicii si in care interval din interiorul segmentului este identificat
esantionul respectiv. Primul bit indica semnul (bit de paritate), bitii 2, 3 si
4 indica segmentul, iar bitii 5, 6, 7 si 8 indica numarul de ordine al
intervalului in interiorul segmentului.
3.1.1.3. Codarea
In urma procesului de cuantizare, amplitudinea fiecarui
esantion PAM este transformata intr-un numar, care este numarul intervalului de
cuantizare in care este esantionul respectiv.
Aceasta transformare este realizata in convertorul A/N,
rezultand cuvinte de cod alcatuite din simboluri binare.
La prelucrarea semnalul vocal sunt necesare 256 intervale de
cuantizare.
Pentru a atribui fiecarui interval un cuvant de cod, este
necesar ca acesta sa aiba 8 biti (28 = 256).
Intervalele de cuantizare se noteaza cu 0 la +127 pentru
domeniul pozitiv si cu 0 pana la -127 pentru domeniul negativ; se mai
stabileste ca in domeniul pozitiv primul bit sa fie 1 iar pentru domeniul
negativ primul bit sa fie 0. S-a definit codul 'binar simetric' ale
carui intervale de la origine vor fi:
Tabelul 3.1.
|
Intervalul de cuantizare |
Cuvant de cod |
|
+1 |
10000001 |
|
+0 |
10000000 |
|
-1 |
00000001 |
|
-0 |
00000000 |
Deoarece in practica se constata ca amplitudinile mici au
frecventa relativ mare, apare evident ca probabilitatea de aparitie a
cuvintelor de cod corespunzatoare intervalelor (0,+1), (-0,-1) sa fie ridicata
si deci apar succesiuni lungi de zerouri, ceea ce in transmisiile digitale este
dezavantajos deoarece face dificila regenerarea la receptie a semnalului de
tact. De aceea, in practica se utilizeaza codul binar simetric cu inversarea
alternativa a bitilor (Alternate Digit Inversion, ADI); valoarea fiecarui bit
cu numar de ordine par (in cuvantul de cod) este inlocuita cu opusul ei.
Exemplu:
+0 10101010
+1 11010101.
Din fiecare cuvant de cod se poate deduce in care segment al
caracteristicii si in care interval din interiorul segmentului este identificat
esantionul respectiv. Primul bit indica semnul (bit de paritate), bitii 2, 3 si
4 indica segmentul, iar bitii 5, 6, 7 si 8 indica numarul de ordine al intervalului
in interiorul segmentului.
3.1.1.4. Multiplexarea in timp
Pentru transmiterea simultana a mai multor semnale trebuie
folosita intrepatrunderea in timp a esantioanelor acestora. Intre doua
esantioane succesive ale aceluiasi semnal exista un interval de 125 s in care
se transmit esantioanele altor semnale (distincte intre ele), constituindu-se
un semnal PAM, care are caracterul unui semnal analogic ce urmeaza sa fie supus
procesului de codare.
Dupa codare, semnalul multiplexat PAM se transforma intr-un
semnal digital constituit din cuvinte de cod de 8 biti, intrepatrunse in
ordinea in care erau intrepatrunse si esantioanele.
O succesiune de biti care contine cate un cuvant de cod (si
numai unul) de la fiecare semnal de intrare este numit cadru.
In sistemele de transmisiuni PCM existente in sistemele de
comunicatii curente, cadrul este constituit din 32 (PCM utilizat in Europa) sau
24 (PCM utilizat in SUA si Japonia) cuvinte de cod.
Semnalul multiplex PCM constituit din esantioanele
intrepatrunse provenind de la mai multe semnale analogice distincte poate fi
transformat de un coder PCM unic (central) intr-un semnal multiplex PCM. In
sistemele mai moderne este preferata codarea PCM individuala (descentralizata)
a fiecarui semnal analogic urmata de intrepatrunderea cuvintelor de cod cu
ajutorul circuitelor electronice de tip digital.
3.1.2. Conversia digital/analogica
3.1.2.1. Demultiplexarea
Procesele se realizeaza electronic, la fiecare iesire din
demultiplexor exista un semnal PCM constituit din 8000 cuvinte de cod/sec.
3.1.2.2. Decodarea
Pentru decodarea semnalului PCM se utilizeaza la receptie o
caracteristica inversa celei utilizate la emisie pentru codare.

Codare Decodare
Semnal PAM Intervalul de cuantizare nr Cuvant de cod Cuvant de cod Interval decuantizare nr Semnal PAM
Fig. 3.11. Caracteristica de codare si decodare (jumatatea pozitiva)
Fiecare cuvant de cod contine intr-o forma codata numarul
intervalului de cuantizare in care se inscrie esantionul PAM de la emisie.
Acest esantion este reconstituit la receptie cu o
amplitudine egala cu valoarea medie a intervalului la cuantizare. Prin aceasta,
succesiunea de cuvinte PCM redevine o succesiune de esantioane, adica un semnal
PAM.
3.1.2.3. Demodularea semnalului PAM
Obtinem dintr-un semnal PAM prin filtrare trece-jos semnalul
modulator original. Daca la intrarea unui filtru trece jos cu frecventa de
trecere ft, se aplica un impuls de scurta durata (impuls Dirac), se
obtine la iesirea filtrului un impuls de tip sinx /x (fig. 3.12).

Fig. 3.12. Raspunsul unui filtru trece jos la un impuls Dirac.
Impulsul la iesire este caracterizat de:
- atenuare cu un factor D ce este propriu respectivului filtru;
- alungirea la o valoare 2tA = 1/ft, invers proportionala
cu frecventa limita de trecere a filtrului;
- intarzierea cu t0 reprezinta timpul de propagare;
- existenta oscilatiilor crescatoare si descrescatoare de frecventa fg.
In figura 3.13. se arata prin insumarea grafica a
impulsurilor de iesire faptul ca, prin filtrare trece jos, obtinem dintr-un
semnal PAM semnalul modulator original.

Fig. 3.13. Demodularea semnalului PAM.
3.1.3. Sisteme PCM
Sistemele PCM 30, recomandate de CCITT, realizeaza pentru
fiecare dintre cele doua sensuri de transmisiune, cuplarea a 30 de semnale
telefonice distincte intr-un singur semnal multiplex PCM. Sistemele PCM 30 sunt
utilizate in tarile europene, ele sunt considerate ca sisteme primare sau de
baza.
Sistemul PCM 30 permite transmisia simultana a 30 de semnale
telefonice distincte sau a unui numar egal de semnale de date cu viteza de 64
kbiti/s, prin intermediul a doua perechi simetrice dintr-un cablu de joasa frecventa
(pot fi folosite si alte suporturi de transmisiune:linia radio-releu, fibra
optica, etc.)
Sistemele multiplex primare european (E1) si nord - american
(DS1)
Tabelul 3.2.
|
Caracteristici |
Sistem primar european E1 (Aviz CCITT G.732) |
Sistem primar nord -american- DS1 (Aviz CCITT G. 733) |
|
Frecventa de esantionare |
8 KHz |
8 KHz |
|
Tehnica de digitizare a vocii |
MIC cu cuantizare neuniforma |
MIC cu cuantizare neuniforma |
|
Numarul de biti /esantion |
8 |
8 |
|
Durata unui cadru |
2 ms |
2 ms |
|
Debitul binar al unui canal telefonic |
64Kb/s |
64 Kb/s |
|
Caracteristici de compandare |
Legea A (A = 87.6) |
Legea (= 225) |
|
Numar de segmente/caracteristica |
13 |
15 |
|
Numar de intervale de timp/cadru |
32 |
24 |
|
Numarul canalelor telefonice(cailor) |
30 |
24 |
|
Numarul biti/cadru |
|
|
|
Debitul binar total |
|
|
|
Sincronizarea cadrelor |
Cu secvente grupate (001101) transmise in interval 0 al canalelor impare |
Cu secvente distribuite (101010) formate din bitul 1 al cadrelor impare |
|
Semnalizarea |
In intervalul 16 4 biti pe cale sau in canalul comun (64 Kbps) |
Cel mai putin semnificativ bit al fiecarei cai din 6 in 6 cadre, sau in canalul comun (bitul 1 al cadrului, cadre pare) (4 Kbps) |
3.1.4. Cadrul PCM primar
Intretesarea in timp a semnalelor telefonice codate sau a
semnalelor de date se realizeaza in conformitate cu structura recomandata in
avizul G.704 al CCITT pentru cadrul PCM primar (fig. 3.14.). Corespunzator
frecventei de esantionare de 8 kHz, durata acestui cadru este de 125
s.

Fig. 3.14. Structura cadrului si
multicadrului
M.I.C. / P.C.M. primar.
Cadrul PCM primar contine 32 de intervale de timp (I.T.),
30 din acestea (intervalele nr. 1 pana la 15 si nr. 17 pana la 31) sunt
repartizate celor 30 de semnale telefonice (sau de date) distincte. Intervalul
de timp nr. 16 se utilizeaza pentru transmisia informatiilor de semnalizare
prin intermediul carora se asigura stabilirea, mentinerea si eliberarea
legaturilor in reteaua telefonica automata. In intervalul 0 se transmit
alternativ cuvantul de sincronizare de cadru (in cadrele pare nr. 0, 2, 4 .) si
un cuvant de anuntare (in cadrele impare nr. 1, 3, 5, .) ai carui biti au urmatoarele
semnificatii:
D - bit de serviciu pentru anuntarea starii de alarma urgenta (la alarma, D+1);
N - bit de serviciu pentru anuntarea starii de alarma neurgenta (la alarma,
N+0);
X - bit rezervat pentru utilizarea in legaturi internationale;
Y - biti rezervati pentru utilizarea in legaturi nationale.
In fiecare interval al cadrului se gaseste un cuvant de cod
de 8 biti, ceea ce face ca fiecare interval sa reprezinte o capacitate de
transmisie binara de 8 biti
8kHz = 64
kbiti/s.
Fiecare cadru primar contine 32
8 = 256 biti,
rezulta ca viteza de transmisie a semnalului multiplex PCM primar este de 256
biti
8 kHz =2048
kbiti/s.
3.1.5. Sincronizarea de cadru
Sincronizarea partii de receptie dupa cea de emisie se
realizeaza cu ajutorul cuvantului de sincronizare de cadru care este emis in
intervalul de timp 0 (IT0), al fiecarui cadru par, alternat cu
cuvantul de anuntare emis in cadrele impare. In principiu, receptorul
identifica cuvantul de sincronizare in semnalul de 2048 kbit/s. Dupa ce acest
fenomen s-a produs, se verifica faptul ca in pozitia a 2-a a cuvantului de
anuntare care urmeaza (in intervalul 0 al cadrului urmator) se gaseste un bit
cu valoarea 1 (fig. 3.15.). Daca, in plus, in cadrul par urmator cuvantul de
sincronizare este din nou receptionat corect, atunci procesul de sincronizare
este considerat incheiat. Din acest moment, partea de receptie este capabila sa
distribuie cuvintele de cod de 8 biti catre canalele corespondente.
La sistemele moderne, care transmit simultan semnale
telefonice si date, procesul de sincronizare este ceva mai complicat si se
bazeaza pe verificarea ciclica prin rest (CRC-Ciclic Redundancy Check).
Cuvantul de sincronizare de cadru:
Bitul nr. 1 2 3 4 5 6 7 8
Valoarea binara x 0 0 1 1 0 1 1 (c)
Bitul nr. 1= x rezervat pentru legaturi internationale sau
bitul nr. 1 = c pentru transmiterea restului CRC.
Bitii nr. 2 pana la 8 reprezinta cuvantul de sincronizare de
cadru.
Utilizand cuvantul de sincronizare de cadru receptionat,
partea de receptie a sistemului PCM stabileste cu precizie pozitia in timp a
cadrelor si intervalelor, astfel incat cuvintele receptionate sa poata fi
alocate corect semnalelor (canalelor) telefonice corespunzatoare.
Cuvantul de sincronizare de cadru este transmis in
intervalul 0 al cadrelor pare (nr. 0,2,4.). El consta intotdeauna din
succesiunea 0011011, fiind asadar un cuvant de 7 biti. Bitul nr. 1 din
intervalul amintit nu apartine cuvantului de sincronizare de cadru; acest bit
este rezervat pentru utilizari internationale si are in mod normal valoarea 1.
In cazul sistemelor cu sincronizare prin CRC, in locul acestui bit se transmite
de la transmitator spre receptor restul obtinut prin impartirea de verificare.
Cuvantul de anuntare:
Bitul nr. 1 2 3 4 5 6 7 8
Valoarea binara X 1 D N Y Y Y Y (M)
Bitul nr. 1 = X este rezervat pentru utilizari
internationale, iar bitul nr. 1=M pentru transmisia sincronizarii CRC.
Bitul nr. 2=1 previne confuzia cu un cuvant de sincronizare.
Bitul nr. 3=D anunta starea de alarma urgenta.
Bitul nr. 4=N anunta starea de alarma neurgenta.
Bitii nr. 5-8 sunt folositi pentru utilizari nationale.
Bitul nr. 3 este utilizat pentru a anunta la receptie
eventualele stari de alarma de la partea de emisie. Cand valoarea acestui bit
trece din 0 in 1, inseamna ca la emisie a survenit una din urmatoarele situatii
de alarma urgenta:
- caderea alimentarii;
- defectarea coderului/decoderului;
- lipsa semnalului de 2048 kbiti/s la receptie;
- desincronizare;
- erori frecvente la receptia cuvantului de sincronizare.
3.1.5.1. Multicadrul de semnalizare
In fiecare cadru PCM primar exista un interval (nr.16)
rezervat pentru transmisia informatiilor de semnalizare necesare in procesul de
stabilire, mentinere si eliberare a legaturilor in sistemele de comunicatii.

Pentru a putea asocia fiecarui canal telefonic PCM un canal binar de transmisie
a informatiilor de semnalizare aferente, recomandarile C.C.I.T.T. prevad pentru
sistemul PCM 30 gruparea de 16 cadre primare intr-un multicadru de semnalizare
cu structura din fig. 3.15. si avand o durata totala de 125 ?s x 16 = 2 ms.
Fig. 3.15. Multicadrul de semnalizare
Cadrele care compun multicadrul de semnalizare sunt
numerotate de la 0 la 15. Intervalul 16 al cadrului 0 contine, in primii 4 biti,
cuvantul de sincronizare de multicadru (0000), iar in urmatorii 4 biti un
cuvant de anuntare de multicadru XYXX. Primii 4 biti din intervalul 16 al
cadrului 1 sunt folositi pentru transmisia semnalizarilor asociate canalului
telefonic PCM nr. 1, in timp ce urmatorii 4 biti din acelasi interval sunt
folositi pentru transmisia semnalizarilor asociate canalului nr. 16. In
continuare, bitii din intervalele nr. 16 sunt asociati canalelor.
In sistemele telefonice moderne, la un numar de canale
telefonice se asociaza un singur canal comun de semnalizare, ceea ce face
inutila gruparea in multicadre de semnalizare. Pentru astfel de situatii,
intervalul 16 din cadrul PCM primar constituie un canal de semnalizare (comun
celor 30 de canale telefonice) de 64 kb/s.
3.1.6. Aplicatii ale sistemelor MIC
Principalele domenii in care au aplicatie sistemele de
prelucrare numerica cu modulatia impulsurilor in cod sunt concentrate in
tabelul 3.3. In fiecare caz se mentioneaza frecventa de esantionare, viteza de
transmitere a informatiei, numarul de nivele de cuantizare etc.
Tabelul 3.3.
|
Frecv.de esantionare fe |
Tip de cuantizare |
Nr. de nivele M |
Lungime cuvant de cod |
Viteza de trans. a inf. |
Legea de compresie |
|
|
KHz |
biti |
Kb/s | ||||
|
Transmitere semnale telefonice |
8 |
Neuniforma |
256 |
8 |
64 |
A, aprox.13 segmente |
|
Transmitere semnale muzicale |
32 |
Uniforma |
16384 |
14 |
448 |
- |
|
Neuniforma |
4096 |
12 |
384 |
Compresie numerica cu 5 segmente |
||
|
Transmitere semnale video |
13 300 |
Uniforma |
256 sau 512 |
8 sau 9 |
106400 sau 119700 |
- |
|
Inregistrare semnale muzicale |
44,1 |
Uniforma |
65536 |
16 |
800 |
- |
Se remarca faptul ca semnalele MIC se folosesc nu numai pentru transmisiune ci si pentru alte prelucrari efectuate asupra semnalelor audio, video, etc.
|
Politica de confidentialitate | Termeni si conditii de utilizare |
Vizualizari: 5687
Importanta: ![]()
Termeni si conditii de utilizare | Contact
© SCRIGROUP 2025 . All rights reserved