| CATEGORII DOCUMENTE |
| Aeronautica | Comunicatii | Electronica electricitate | Merceologie | Tehnica mecanica |
In general, in transmisiile la distanta
semnalul emis este atenuat si distorsionat de canalul de transmisie, care
introduce si zgomote. Zgomotul fiind o marime analogica, nu poate fi separat de
semnalele analogice transmise, doar pentru zgomotele de banda larga se poate
reduce influenta lor prin limitarea benzii.
De remarcat ca sistemele moderne de telecomunicatii (telefonie, radiorelee, transmisii de date) se bazeaza pe amplificarea periodica a semnalelor in repetoare, iar zgomotele si distorsiunile introduse (diafonie), se cumuleaza de la o statie repetoare la cealalta; cu cat traseul este mai lung, cu atat cerintele impuse pe fiecare tronson sunt mai severe.
In cazul transmisiilor digitale, semnalul transmis avand o forma particulara (de exemplu impuls rectangular), repetoarele pot asigura atat amplificarea semnalului cat si regenerarea formei de unda transmise, prin aceasta operatie eliminandu-se complet influenta zgomotului de tip aditiv (figura 1.1).

Ca urmare se poate tolera un raport S/Z
mai mic, ceea ce echivaleaza fie cu folosirea unor puteri de emisie mai mici,
fie cu plasarea repetoarelor la distante mai mari. Sa amintim ca, in plus,
repetoarele analogice introduc si ele zgomote, inrautatind factorul de zgomot
al sistemului.
Cerintele impuse transmisiei pe un traseu, in acest caz, nu mai depind practic de lungimea totala a sistemului (numarul de tronsoane) avand in vedere regenerarea periodica a impulsurilor (zgomotul este inlaturat). De aceea, transmisia pe cale digitala a semnalelor analogice a castigat tot mai mult teren, avand in vedere posibilitatea de a separa aproape in intregime semnalul de zgomotul aditiv.
Pentru aceasta se recurge la o esantionare a semnalului, cu o anumita viteza, data de teorema lui Nyquist. Transmisia se realizeaza prin tehnici digitale, recurgandu-se fie la modularea analogica a unui tren de impulsuri in amplitudine, durata sau pozitie (MIA, MID sau MIP), fie la o modulare in cod a impulsurilor - PCM (Pulse Code Modulation). Pentru folosirea eficienta a liniei de transmisie se multiplexeaza in timp canalele.
Sistemele din prima categorie contin ca operatii principale: esantionarea (sondarea) semnalelor, modulatia trenului de impulsuri (in amplitudine, durata sau pozitie) si multiplexarea in timp a esantioanelor modulate (separarea cailor in timp). Informatia analogica este transmisa la momente de timp discrete. In figura 1.2 este ilustrat principiul sistemelor de transmisie cu separarea cailor in timp (SCT).
La terminalul de emisie, canalele din banda de baza sunt conectate la linia de transmisie comuna, prin intermediul portilor de esantionare, care sunt deschise de trenurile de impulsuri I1, I2, In, etc. Pe linia de transmisie sunt trimise astfel, periodic, esantioane ale semnalelor in banda de baza, iar la receptie se face o separare in timp a acestora, cu ajutorul portilor de receptie, atacate cu trenuri de impulsuri in sincronism cu cele de la emisie. Semnalul MIA rezultant este trecut prin FTJ, la iesirea acestuia obtinandu-se semnalul in banda de baza.

Sincronizarea generatoarelor de
impulsuri de la receptie cu cele de la emisie se realizeaza transmitand un
impuls de sincronizare distinct, in fiecare perioada de repetitie, denumita
cadru (Frame) prin analogie cu semnalul TV.
Considerand un semnal in banda de baza, avand spectrul de forma celui reprezentat in figura 1.3, spectrul semnalului MIA este reprezentat in figura 1.3. Pentru reconstituirea semnalului in banda de baza, cu ajutorul FTJ, acesta trebuie sa aiba frecventa de taiere cuprinsa intre fm < ft < fs-fm, de unde
(1.1)
relatie cunoscuta ca teorema esantionarii (Nyquist).
In afara modulatiei MIA mai exista si alte tehnici de modulare a impulsurilor: in durata (MID) sau in pozitie (MIP), care insa nu sunt folosite pentru transmisiile pe linii metalice, distorsiunile de atenuare si faza producand o dispersare in timp a semnalelor, care conduce la interferenta intercanale (diafonie).
Desi necesita o banda de frecventa mult mai larga decat sistemele analogice similare, ele au avantaje esentiale ca:
simplitatea echipamentului, identic pentru diversele canale,
supletea in exploatare, rezultata din uniformitate,
protectia fata de zgomot (se realizeaza de fapt un compromis intre raportul S/Z scazut si cresterea benzii).
Aceste sisteme au fost folosite pentru realizarea fasciculelor de capacitate relativ mica (6-120 de canale) pe liniile in cablu urban.
In trecut, o buna parte din sistemele de telecomunicatii pe fir transmiteau semnalele analogice prin tehnici analogice, cu multiplexarea cailor in frecventa, si datorita investitiilor enorme pentru dezvoltarea infrastructurii sistemelor de telecomunicatii, aceasta situatie a persistat o buna perioada de timp. Totusi, tarile dezvoltate d.p.d.v. economic, precum si tarile in curs de dezvoltare, care nu au infrastructura prea dezvoltata, si-au instalat rapid sisteme cu modulatia impulsurilor in cod (PCM).
In cazul PCM, esantionarea este urmata de conversia analog numerica a valorii esantionului. Plecand de la un semnal analogic, a carui amplitudine poate lua o infinitate de valori, ajungem la un semnal numeric (discret), care poate lua doar un set limitat de valori.
Aproximarea valorii esantionului analogic prin una discreta (numerica), denumita CUANTIZARE sau discretizare, este insotita astfel de erori. In acest caz se realizeaza o discretizare atat a timpului cat si a amplitudinii. Transmisia digitala (PCM, modulatie delta) a semnalelor are ca avantaje:
robustetea transmisiei (la zgomote si perturbatii),
regenerarea eficienta, periodica a semnalului in repetoare,
folosirea unui format uniform de transmisie pentru diferite semnale analogice (convorbiri, muzica, facsimil, videotelefon, TV).
Dezvoltarea sistemelor digitale (PCM, modulatie delta, comunicatii de date, etc.) a fost favorizata de:
dezvoltarea sistemelor cu un numar sporit de canale datorita fibrei optice care a devenit mediul de transmisie cel mai economic;
scaderea costului CI (digitale) folosite la operatiile de codare si decodare (tehnologii LSI si VLSI), posibilitatea specializarii CI si multiplexarii unui numar mai mare de canale;
cresterea considerabila a debitului transmisiilor de date si a semnalelor sub forma digitala;
evolutia SC spre ISDN (Integrated Services Digital Network) in care toate mesajele sunt transmise sub forma digitala, iar comutatia este electronica si condusa de calculatoare;
aparitia de servicii noi (posta electronica, acces Internet, videoconferinte, comert electronic).
Descoperirea tehnicii PCM se datoreste lui Alec Reeves, care in 1936-1937 gaseste o metoda de modulare MIP si apoi ca se poate obtine o imunitate sporita la zgomot prin cuantificarea valorii analogice a esantionului si exprimarea ei in cod binar (patent Franta 1939, SUA 1942).
In 1947 apare primul sistem PCM la laboratoarele BELL (SUA), bazat pe tehnologia tuburilor electronice, scump, nefiabil si voluminos: el nu s-a putut impune decat dupa 1960, dupa perfectionarea tranzistorului. Acest lucru a fost posibil datorita cerintei tot mai mari de sporire a capacitatii retelelor telefonice. Instalarea unui numar sporit de cabluri in orase era dificila, datorita lucrarilor de excavatie care impiedica circulatia si faptului ca in pamant existau si alte conducte (apa, gaz, canalizare).
Multiplexarea in frecventa a semnalelor nu da rezultate la frecvente inalte, unde apar probleme serioase de diafonie si zgomote, liniile in cablu simetric fiind proiectate in primul rand pentru audiofrecventa. S-a constatat ca sistemele PCM ar oferi singura solutie acceptabila, iar prin 1961-1962 apar primele instalatii, care foloseau pentru transmisie un cod ternar, marcand inceputul dezvoltarii SC digitale moderne.
Un sistem PCM are, in general, structura de principiu prezentata in figura 1.4.

La emisie, semnalul in banda de baza
este trecut printr-un FTJ, pentru a-i limita banda, si apoi esantionat la
intervale regulate, esantioanele fiind convertite A/D si trimise in linie.
Convertorul A/D este comun tuturor canalelor sistemului, avand in vedere
separarea cailor in timp.

Dupa esantionare, se memoreaza
valoarea esantionului, care este apoi convertita A/D, la iesirea convertorului
A/D obtinand un numar binar, care corespunde celei mai apropiate valori
discrete a amplitudinii. Bitii astfel obtinuti sunt codati, pentru a avea o
forma cat mai adecvata transmisiei prin canal, care distorsioneaza semnalul
transmis si introduce zgomote, determinand aparitia de erori.
La receptie se efectueaza operatiile inverse; separarea canalelor se face cu ajutorul portilor de esantionare comandate in sincronism cu cele de la emisie. La iesirea convertorului D/A se obtine o versiune cuantizata a semnalului analogic, care este filtrata pentru a obtine semnalul in banda de baza. Aceasta structura functionala a sistemului este data in figura 1.5.
Daca presupunem canalul perfect, se obtine
schema din figura 1.6, codorul si decodorul disparand, iar blocul de cuantizare
este obtinut ca urmare a cuplarii celor doua convertoare A/D si D/A, care
introduc erori de cuantizare.
Presupunand ca circuitele de esantionare si reesantionare sunt perfect sincronizate, putem renunta la unul din ele, obtinand schema din figura 1.7.
S-a obtinut astfel, plecand de la un sir de
operatii complexe, o reducere importanta a acestora, ramanand in final doar
doua: esantionarea si cuantizarea.
Pe langa aceste doua importante procese, care pot introduce erori, mai exista alte doua cauze:
zgomotele aleatoare, prezente in canal, produc erori aleatoare, ce apar foarte rar, cu frecventa corespunzatoare probabilitatii de aparitie a erorilor in sistem, care au insa efecte importante in cazul transmisiilor de date,
JITTER-ul, definit ca abaterea momentelor de esantionare de la receptie, fata de cele ideale (sincronizare imperfecta).
Semnalul esantionat xs(t) si cel reesantionat xr(t) sunt:
(1.2)
(1.3) 91.3)
unde
este abaterea in timp a fiecarui moment de reesantionare fata de momentul
corespunzator de esantionare de la emisie, luat ca referinta. Marimea
poate
fi considerata ca valoarea functiei
la momentul kT, iar
este cunoscuta sub denumirea de jitter.
Natura sa depinde de configuratia sistemului.
Efectul jitterului asupra semnalului analogic este acela de a produce o
modulatie parazita de faza, care provoaca distorsiuni. Acest efect este
important, deoarece sincronizarea este extrasa din semnalul receptionat,
degradat de canalul de transmisie si in mod inerent, nu este ideala.
Sa consideram un semnal x(t), esantionat la intervale T cu impulsuri d(t) ideale, de latime infinitezimala si suprafata T.
Semnalul esantionat
poate fi scris ca o serie de impulsuri de
acest tip, multiplicate cu semnalul original x(t).
(1.4)
Din analiza Fourier se stie ca
(1.5)
pentru impulsuri d(t) ideale, de latime infinitezimala si suprafata T . Inlocuind (1.5) in (1. 4) obtinem:
(1.6)
Spectrul
al semnalului
,
efectuand transformata Fourier:
(1.7)
sau, inversand ordinea de sumare si integrand:
(1.8)
unde X(w este spectrul lui x(t), sau, in final, obtinem:
(1.9)
Astfel, daca semnalul in banda de baza x(t) are un spectru limitat la fm, spectrul semnalului esantionat se obtine ca o suprapunere a unei serii infinite de spectre ale semnalului original pe intervalele 1/Ts, ca in figura 1.8, iar semnalul original X(f) poate fi recuperat din Xs(f) folosind un FTJ cu frecventa de taiere fm si flanc abrupt.
Daca
,
apare o limitare cunoscuta sub denumirea de suprapunere (aliasing),
componentele spectrale superioare si respectiv inferioare de la doua benzi
alaturate se suprapun si afecteaza semnalul de iesire.
Pentru a studia procesele ce au loc in
cazul unui sistem esantionat si filtrat, atacat de un semnal compus dintr-o
componenta cu banda limitata s(t) cu puterea S si un spectru bine
definit cu energia zero pentru f > fm , si o componenta
perturbatoare z(t) cu spectru nelimitat si puterea Z, care este
independenta de s(t), reprezentate in figura 1.9.
Sa consideram ec. (1.9) adaptata pentru spectrul de putere:
(1.10)
unde Ps(f) si P(f) sunt spectre de putere. Daca s(t) si z(t) sunt independente, putem efectua suma:
(1.11)
Puterea semnalului esantionat si reconstituit P0 este:
(1.12)
Daca esantionarea se face cu viteza Nyquist
, P0 este o suma de
integrale pe domenii de latime 2fm, ale caror centre se afla
la distanta 2fm, fara a exista suprapunere, iar
(1.13)
(1.14)
Ec.(1.14) ne arata ca prin esantionarea cu frecventa 2fm si reconstituirea semnalului cu FTJ cu frecventa de taiere fm, atat puterea semnalului cu banda limitata, cat si cea a semnalului cu banda nelimitata ramane neafectata. Se observa ca este esential ca semnalul de intrare, inainte de esantionare si codare, sa fie prefiltrat, astfel toate semnalele nedorite ce insotesc semnalul de intrare vor fi introduse in banda de trecere a sistemului.
Alegand viteza de esantionare mai mare decat frecventa
Nyquist:
unde r > 1, ec. (1.13) devine:
(1.15)

Aceasta situatie este reprezentata in
figura 1.10. Domeniile de integrare nu mai sunt alaturate, dar spectrul de
energie al semnalului dorit este incadrat in aceste domenii. Puterea semnalului
nedorit este redusa fata de cazul anterior la valoarea 2fm /2fm
r sau 1/r (se elimina energia zgomotului din domeniile hasurate).
Rezulta,
(1.16)
Deci, crescand viteza de esantionare peste viteza Nyquist, obtinem o imbunatatire a raportului S/Z (esantionarea cu dublul vitezei Nyquist 4fm produce o imbunatatire cu 3 dB).
Daca consideram acum semnalul cuantizat, el poate fi tratat ca suma dintre semnalul dorit si o componenta distorsionata ce rezulta in urma cuantizarii, cu un spectru foarte intins, adica obtinem exact cazul tratat anterior. O concluzie logica este ca in cazul esantionarii cu o viteza egala cu viteza Nyquist, puterea semnalului distorsionant in banda de trecere este egala cu puterea semnalului distorsionant dat de circuitul de cuantizare.

Pentru a beneficia de avantajele
transmisiilor numerice, semnalul esantionat este convertit sub forma binara,
fiecare esantion fiind prin n biti, care corespund unui numar de 2n
nivele. Astfel,
valorile esantioanelor sunt discretizate (reduse la un numar finit de valori),
operatie numita CUANTIZARE. Un exemplu de esantionare si conversie A/D a unei forme
de unda este reprezentat in figura 1.11.

Inaltimea
esantionului este rotunjita la o valoare intreaga, exprimata in exemplul
considerat printr-un numar cu 4 biti. secventa de date emisa in linie va fi
urmatoarea:
Pentru rotunjire se poate alege una din variantele:
Adoptarea valorii inferioare kq (cuantizare prin lipsa),
Adoptarea valorii superioare (k+1)q (cuantizare prin adaos),
Adoptarea valorii de mijloc a intervalului, kq+q/2.
Daca se considera un semnal de intrare
aplicat unui circuit de cuantizare avand inaltimea unei trepte de cuantizare q
si N nivele de cuantizare, daca nivelul semnalului este cuprins intre -Nq/2
si Nq/2, se obtine o functionare normala. Daca semnalul iese din acest
domeniu, la iesirea circuitului de cuantizare se obtine nivelul +Nq/2,
iar circuitul e intrat in limitare.
Daca se scade progresiv nivelul semnalului la intrare, numarul treptelor obtinute la iesire scade, iar semnalul obtinut la receptie reproduce tot mai putin pe cel de la intrare, la limita, cand excursia de semnal sinusoidal la intrare este mai mica decat q (idling) se obtin doua situatii:
1. Daca valoarea medie (cc) a semnalului este q/2, se obtine o iesire tip unda rectangulara, cu o cursa dinamica varf la varf q
2. Daca valoarea medie a sinusoidei este 0 sau q, se obtine o iesire cu valoarea constanta, reprezentata in figura 1.12.
Intre semnalul analogic original si replica
sa discreta apare o diferenta, cu caracter aleator, cunoscuta sub denumirea de
eroare de cuantizare. Datorita erorii de cuantizare de la emisie, semnalul
receptionat va diferi de cel original (analogic), aceasta diferenta
manifestandu-se sub forma unui zgomot avand infasuratoarea in dinte de
fierastrau, denumit zgomot de cuantizare (Zq), reprezentat in figura
1.13.
Acest zgomot, conform figurii 1.14, pentru un esantion oarecare este zk = x - xk iar valoarea sa medie
(1.17)
unde p(xk) este functia densitate de
probabilitate ca esantionul x sa se gaseasca in plaja
.
Presupunand ca intervalele sunt suficient de mici
pentru a putea considera
constant, atunci:
Deci zgomotul de cuantizare are valoarea medie nula, si spre a-l caracteriza vom recurge la valoarea sa medie patratica
Cele doua momente
fiind calculate, avem
EXEMPLUL I.1 Sa calculam valorile extreme ale erorii de cuantizare pentru o conversie A/D pe 8 biti (un bit pentru semn) cu cuantizare uniforma (aceeasi valoare a cuantei). In acest caz, numarul de nivele ale semnalului va fi 27=128 nivele, avand valorile intre 0 si 127.
Eroarea minima apare cand aproximam pe 126,5 prin 126 sau prin 127
iar eroarea maxima va fi cand aproximam pe 0,5 cu 1 sau cu 0.
Pentru un semnal sinusoidal, cu nivelul maxim
,
valoarea medie patratica este:
(1.21)
Raportul semnal/zgomot de cuantizare S/Zq este egal cu
(1.22)
si se observa ca depinde de numarul N de nivele.
EXEMPLUL I.2 Sa determinam numarul N de nivele astfel incat intr-un sistem PCM raportul S/Zq sa fie cel putin 40 dB. Din rel. (1.21)
Cum N = 81,65 < 128 , rezulta ca se foloseste o reprezentare cu 7 biti a semnalului, iar valoarea raportului:
sau
.
Banda canalului afecteaza numarul de nivele de
cuantizare al semnalului ce urmeaza a fi transmis. Fie doua sisteme cu numarul
de nivele
cu durata bitului t , si respectiv
cu durata bitului t si avand benzile f1 si
respectiv f2.
Lungimea cuvantului fiind aceeasi
, (1.23)
pentru a avea acelasi grad de protectie impotriva erorilor este necesar ca:
(1.24)
Rezulta ca
(1.25)
EXEMPLUL I.3 Sa determinam cu cat se reduce eroarea de cuantizare daca trecem de la un sistem de transmisie pe 6 biti la un sistem cu transmisia pe 8 biti.
Inaltimea
treptei se reduce de
ori iar varianta erorii
se reduce de 16 ori.
Daca
si ![]()
Atunci ![]()
Cresterea benzii cu 33% permite deci cresterea numarului de nivele de cuantizare la 256 si reducerea variantei erorii de 16 ori.
Vom aprecia calitatea transmisiei PCM prin raportul S/Zq. Am vazut ca varianta zgomotului de cuantizare este:
Deoarece,
(1.26)
atunci
(1.27)
Daca valoarea de varf a semnalului este Vm ,
valoarea eficace e
,
iar raportul S/Zq devine:

sau
(1.28)
care, in unitati de transmisie, devine
(1.29)
![]()
unde Pi - puterea medie a semnalului de intrare dB
Pm - puterea maxima, corespunzatoare lui Vmef dB
Deci, fiecare bit din semnalul PCM contribuie cu 6 dB la cresterea calitatii semnalului, exprimata prin raportul S/Zq.
EXEMPLUL I.4 Sa apreciem calitatea transmisiei MIC pentru un sistem cu n = 8 si Pm =0 dB. In acest caz:
relatie reprezentata in figura 1.15.
Se observa ca, in aceste conditii, calitatea transmisiei va fi cu atat mai proasta cu cat semnalul de intrare este de nivel mai mic (vezi Exemplul I.1), si, in general, variaza in functie de utilizator (dinamica vorbitorului).

Semnalele telefonice, care formeaza
obiectul transmisiunilor PCM, prezinta un domeniu dinamic intins si variatia de
putere medie pana la 40 dB, datorat atat diferentelor intre modul de a vorbi al
diferitelor persoane cat si distantelor diferite intre aparatele telefonice si
centrale, precum si caracteristicile diferite ale liniilor de legatura cu
centrala.
Am vazut anterior ca varianta erorii de cuantizare
este:
si
depinde de valoarea q a cuantei. Pana acum s-a presupus circuitul de cuantizare
liniar. Functionarea sa este adecvata
numai pentru semnale avand o functie de densitate de probabilitate uniforma si
semnale stationare.
Semnalele telefonice au insa domeniu dinamic larg, energia medie variabila si prezinta o probabilitate mare de aparitie a intervalelor caracterizate prin nivel scazut al semnalului.
Daca se utilizeaza o cuantizare uniforma, cu aceeasi valoare a cuantei, semnalele cu nivel mic vor prezenta un raport S/zq mult mai prost decat semnalele de nivel mai mare. Pentru o redare adecvata a semnalului pe un domeniu dinamic larg este necesara o cuantizare de inalta precizie (11-13 biti), care implica o banda de transmisie larga si un echipament relativ complex.
De aceea ar fi mult mai avantajos sa se lucreze nu cu o cuanta de valoare constanta si eroare de cuantizare, respectiv raport S/zq variabil, ci cu o cuanta variabila care sa conduca la o valoare aproximativ aceeasi a raportului S/zq, indiferent de nivelul semnalului. In acest caz valoarea q a cuantei ar trebui sa fie mica la nivele mici ale semnalului si mare la nivele mari. Se obtine astfel o transmisiune eficienta, utilizand o codare printr-un numar mai redus de biti.
Desi aceasta tehnica imbunatateste raportul S/Zq doar la nivele mici, semnalele de nivel mare fiind distorsionate destul de mult, totusi avand in vedere particularitatile semnalului telefonic (de exemplu amplitudinea instantanee a semnalului este mai mica decat 25% din valoarea eficace a semnalului circa 30% din timpul total de convorbire), ea este foarte eficace.

Raportul S/Zq pentru
intervalul k de cuantizare este deci:
(1.30)
unde qk este marimea cuantei pentru intervalul k.Se observa din relatia de mai sus ca daca valoarea cuantei qk creste odata cu marirea semnalului xk, obtinem un raport S/Zq constant. Aceasta se traduce deci printr-o operatie de prelucrare neliniara a semnalului, putandu-se proceda in 3 moduri:
Conversie A/D cu cuantizare neliniara,
Conversie A/D de precizie cu cuantizare liniara urmata de o prelucrare neliniara a esantioanelor codate,
Prelucrare neliniara a semnalului urmata de conversie A/D cu cuantizare liniara.
Prima metoda este ilustrata in figura 1.16, iar cea de-a treia in figura 1.17. Initial, cea de-a treia metoda era mai usor de implementat, implicand amplificatoare cu circuite neliniare (diode) montate in bucla de reactie. Caracteristicile celor doua circuite de la emisie si receptie fiind complementare (vezi figura 1.17), ca dezavantaj putem mentiona faptul ca diodele trebuie imperechiate iar sistemul necesita operatii de reglaj la instalare.

In prezent se utilizeaza primele doua
metode, fie cu codecuri integrate, fie prelucrand semnalele cu ajutorul
procesoarelor de semnal. Esentiala este respectarea caracterului complementar
al operatiilor de la emisie si de la receptie.
La emisie se realizeaza asadar o comprimare sau compresie a nivelelor, iar la receptie o expandare a lor. Efectul global este cunoscut sub denumirea de COMPANDARE. Pentru a deduce forma legii de compandare y = f(x), sa consideram situatia prezentata in figura 1.18.
Presupunand la fel ca in cazul anterior ca intervalele de crestere sunt mici, putem exprima pe:
(1.31)
dar,
(1.32)
de unde,
(1.33)
Cum intervalul de cuantizare este constant:
![]()
iar,
(1.34)
indiferent de intervalul k. Integrand obtinem:
(1.35)
unde
,
iar b este o constanta de integrare.
Legile de compandare adoptate pe baze empirice sunt: legea m (folosita in SUA) si legea A (folosita in Europa). Ele reprezinta aproximatii liniar fragmentate ale legii continue originale. Caracteristicile de compresie in domeniul 1 sunt descrise de:
(1.36)
si
(1.37)
Legea A (A = 87,6) este definita in tabelul I.1, in care:
V P = digit de polaritate PXYZABCD - cuvant binar
XYZ - digiti segment S = 4X + 2Y + Z ABCD - digiti liniari L = 8A + 4B + 2C + D
Semnalul decodat la iesire este ![]()
unde: ![]()
Tabelul I.1 Definirea legii A
|
Segment |
Domeniul marimii de intrare in decodor |
Cod de iesire |
Interval de cuantizare q |
|
0 - V/128 |
P 000 ABCD | ||
|
V/128 - V/64 |
P 001 ABCD | ||
|
V/64 - V/32 |
P 010 ABCD | ||
|
V/32 - V/16 |
P 011 ABCD | ||
|
V/16 - V/8 |
P 100 ABCD | ||
|
V/8 - V/4 |
P 101 ABCD | ||
|
V/4 - V/2 |
P 110 ABCD | ||
|
V/2 - V |
P 111 ABCD |
In figura 1.19 sunt prezentate trei caracteristici de compandare, pentru diverse valori ale lui A. Legea A este reprezentata in figura 1.20. Segmentul 0 este coliniar cu 1 si se prelungeste si in cadranul III. Se obtin in total, pentru valori pozitive si negative, un numar de 13 segmente , A fiind egal cu 87,6.
Pentru legea
,
V PXYZABCD - cuvant binar P - digit de polaritate
XYZ - digiti segment
ABCD - digiti liniari
Semnalul decodat la iesire este
![]()
unde a = 1 daca P = 1 a = -1 daca P = 0
Pentru legea m se obtin 15 segmente cu m = 255. In figura 1.21 este prezentata legea de compandare m pentru diferite valori ale lui m. Initial s-a folosit m = 100 si o codare cu 7 biti a semnalului. Legea m este definita in tabelul I.2.

In prezent, expandarea este realizata conform metodei 3, cu un convertor D/A, montat in bucla de reactia a convertorului A/D.Schema bloc a circuitului de expandare este prezentata in figura 1.22.
Tabelul
I.2 Definirea legii de
compandare ![]()
|
Segment |
Domeniul marimii de intrare |
Cod de iesire |
Cuanta q |
|
-31 - 31 V/128 |
P111ABCD |
2 |
|
|
31 - 95 V/128 |
P110 ABCD |
4 |
|
|
95 - 223 V/64 |
P101 ABCD |
8 |
|
|
223 - 479 V/32 |
P100 ABCD |
16 |
|
|
479 - 991 V/16 |
P011 ABCD |
32 |
|
|
991 - 2015 V/8 |
P010 ABCD |
64 |
|
|
2015 - 4063 V/4 |
P001 ABCD | ||
|
4063 - 8159 V/2 |
P000 ABCD |
Compandarea se poate realiza si conform metodei 2, folosind tehnici digitale, singurul dezavantaj fiind folosirea unui convertor A/D de 12 biti.
Exemplul I.5 Sǎ calculǎm puterea zgomotului de cuantizare la iesirea unui codor PCM de N biti cu legea de compandare μ, amplitudinea semnalului de intrare fiind uniform distribuitǎ in intervalul [-1, +1]V.
iar
Pentru cadranul 1 si intervalul[-1, +1]V,
![]()
Pentru legea de distributie uniformǎ a amplitudinii semnalului avem
sau 2
de unde k=1/2 si tinand cont de simetria
caracteristicii
Cuvintele de 12 biti sunt transformate in cuvinte de 8 biti conform tabelului I.3. Expandarea se realizeaza invers, fiind urmata de conversie D/A.
Tabelul I.3 Ilustrarea legii de compandare
|
Segment |
Cod de 12 biti
|
Cod de 8 biti
|
|
HI |
1 1 K L M N - - - - - - - - - - |
1 1 1 1 K L M N |
|
GH |
1 0 1 K L M N - - - - - - - - - |
1 1 1 0 K L M N |
|
FG |
1 0 0 1 K L M N - - - - - - - |
1 1 0 1 K L M N |
|
EF |
1 0 0 0 1 K L M N - - - - - - |
1 1 0 0 K L M N |
|
CD |
1 0 0 0 0 0 1 K L M N - - - |
1 0 1 0 K L M N |
|
BC |
1 0 0 0 0 0 0 1 K L M N - - |
1 0 0 1 K L M N |
|
AB |
1 0 0 0 0 0 0 0 K L M N - - |
1 0 0 0 K L M N |
|
BA |
0 0 0 0 0 0 0 0 K L M N - - |
0 0 0 0 K L M N |
EXEMPLUL I.6 Fie cuvantul binar de 8 biti 11010110. Sa decodam esantioanele, conform legilor de compandare A si m
A P =+ 1 a m P = 1 a
![]()
Dupa ce semnalul analogic a fost esantionat
si cuantizat, valoarea sa discreta este convertita binar, pentru a obtine un
semnal digital cu 2 nivele cu imunitate maxima la zgomote. Se obtine un cuvant
de n biti, corespunzator unor esantioane cu valori cuprinse intre 0
(2n-1)q
in reprezentare unipolara, sau intre -(2n-1 q) 2n-1 q in reprezentare bipolara. Alegerea codului
are o deosebita importanta pentru transmisie, ea contribuind la cresterea
performantelor transmisiei sau la degradarea lor.
Problema codarii poate fi privita si referindu-ne la usurinta realizarii tehnologice. Semnalele binare sunt mai usor de generat decat cele zecimale (BCD), pot fi mai usor convertite in alte semnale (ternare, cuaternare, cu 8 sau 16 nivele, etc.).
D.p.d.v. al structurii, codul binar nu este indicat pentru transmisie, avand in vedere faptul ca doua pozitii succesive pot diferi printr-un numar mare de biti (de exemplu 7 si 8 reprezentate ca 0111 si 1000), ceea ce e dezavantajos pentru transmisiile de tip diferential (vezi I.8), sau in situatia cand datele sunt obtinute de la codoare electro-optice, cu fotodetectori.
Se defineste distanta Hamming, ca numarul
de simboluri (biti) prin care difera cuvintele de cod succesive. Codul binar
natural are o distanta Hamming variabila, iar pentru transmisie ne-ar interesa
un cod care sa aiba aceasta distanta constanta si egala cu 1,
proprietate specifica codului Gray sau binar reflectat, ilustrata in figura
1.23b, prin rastrul codului (patratele negre reprezinta bitul 1, iar
cele albe bitul 0). Unele codoare genereaza semnale in codul binar
simetric (cu exceptia primului bit, ce indica semnul sau polaritatea, rastrul
prezentand simetrie fata de linia mediana orizontala).
Alte coduri utilizate sunt: codul CHAIN (chain code) si cel complementar fata de 2, utilizat in sistemele cu microprocesor.
Cel mai vechi tip de codor e cel utilizat
in primul sistem PCM al laboratoarelor BELL, reprezentat in figura 1.24.
Codorul este de forma unui tub catodic intalnit in osciloscop, in care pe
intrarea y se aplica semnalul esantionat, iar in locul ecranului are o
masca de codare si un colector.
Masca are forma rastrului, cu gauri in locul bitilor 1, semnalul de pe intrarea x determina baleiajul spotului electronic pe orizontala, producand succesiv la iesire bitii corespunzatori valorii esantionului (care determina pozitia pe verticala unde va fi baleiata masca), de unde necesitatea codului GRAY.
Variantele moderne fac apel la convertoare A/D, iar codorul se poate implementa cu o memorie PROM programata adecvat.
CCITT a elaborat doua recomandari pentru sistemele PCM:
una pentru transmisiile cu viteza sistemului Bell T1, de 1,544 Mb/s (recomandarea A 733),
alta pentru transmisiile PCM cu viteza de
2,048 Mb/s.
Sistemul Bell T1 asigura multiplexarea a 24 de canale
vocale, utilizand 7 biti pentru codarea inaltimii esantionului si un al 8-lea
bit pentru semn. Frecventa de esantionare este de 8000 Hz, iar durata cadrului
elementar de 125 ms, in care se vor transmite in cod esantioanele
corespunzatoare celor 24 de canale. La cei
biti se adauga inca unul, folosit pentru
sincronizare (figura 1.25). Viteza de transmisie este deci:
![]()
Pentru sincronizare, valorile atribuite
bitului al 193-lea corespund unei legi, care sa elimine posibilitatea de
a fi confundat cu variatiile intamplatoare care apar in semnalul vocal.
Practic, s-a gasit ca trebuie sa se atribuie valori conform succesiunii 01010010,
care nu apar pentru o durata mai mare in semnalul vocal, deoarece aceasta
corespunde frecventei de 4 kHz, care este atenuata de filtrele de intrare
(300- 3400 Hz).
Echipamentul terminal de receptie inspecteaza bitii si verifica aceasta alternanta 0101 a celui de-al 193-lea bit. Daca nu este gasita, se inspecteaza toti bitii aflatI la o distanta de 193 compartimente de timp, pana se gaseste. Timpul necesar pentru refacerea sincronizarii este de 0,4 ms, sau, in cel mai rau caz, de 50 ms, daca se verifica toate cele 193 pozitii.
In cazul transmisiilor de date, in semnalul de date poate sa existe fortuit succesiunea 0101 si atunci este necesara o alta metoda de sincronizare. In acest scop se grupeaza bitii din mai multe cadre, formand o secventa de aliniere - f.a.w. (frame alignment word).
In recomandarea CCITT, bitul de sincronizare este pe pozitia 1, in loc de 193, iar pentru sincronizare se foloseste un cuvant de 12 biti.
In sistemele cu 2,048 Mb/s se multiplexeaza
32 de canale, din care 30 vocale si 2 de sincronizare si semnalizare, fiecare
esantion fiind codat prin 8 biti, obtinandu-se viteza v = 32 8000 = 2048
Mb/s, sistemul avand structura din figura 1.26. CCITT propune de asemenea,
inlocuirea bitilor 1 prin 0 si invers, astfel ca pe timpul cat
canalul nu transmite semnalul receptionat sa nu contina zerouri, pentru a nu se
pierde sincronizarea (avand in vedere codul bipolar folosit pentru transmisie).
Practica recomanda folosirea sistemelor PCM cu capacitati de 24-30 canale pentru distante de 8-80 km. Pentru functionarea economica pe linii mai lungi sunt necesare viteze mai ridicate, recurgandu-se la multiplexarea mai multor sisteme de acest tip. In figura 1.27 se prezinta schema bloc a sistemului T al firmei Bell, ierarhia fiind descrisa in tabelul I.4.
Tabelul I.4 Ierarhia digitala Bell
|
Sistem |
Viteza Mbiti/s |
MUX |
Canale vocale |
Video- telefon |
TV |
Linie |
Distanta repetoare mile |
Lungime maxima mile |
Rata erori |
|
T1 |
T1 |
cs | |||||||
|
T2 |
4(T1) |
|
cc | ||||||
|
T3 |
7(T2) |
cc | |||||||
|
T4 |
6(T3) |
cc | |||||||
|
T5 |
2(T4) |
cc | |||||||
|
WT4 |
58(T4) |
gu |
Nota: ++ - functionare numai la nivel de multiplexare, nu se transmite sub aceasta forma.
cs - cablu simetric
gu - ghid de unda
cc - cablu coaxial
In alegerea structurii multiplex intervin mai multi factori de proiectare, precum caracteristicile semnalului ce urmeaza a fi transmis (vocal, videotelefon, date, TV), aspectele tehnice ale procesului de multiplexare, precum si caracteristicile SC ce vehiculeaza semnalele rezultate.
Semnalele audio sau video prezinta destul
de rar variatii abrupte de nivel. Pe de alta parte, ele sunt esantionate cu o
viteza mai mare decat viteza Nyquist, ceea ce face ca intre doua esantioane
alaturate sa existe un grad inalt de corelatie. Cu alte cuvinte, diferenta a 2
esantioane alaturate are o varianta mai mica decat varianta semnalului, iar
semnalul codat va contine deci biti redundanti. Prin inlaturarea acestora se
obtine o transmisie mai eficienta.
In figura 1.28 este ilustrata schema sistemului PCM
diferential (DPCM), care inlatura redundanta prin transmiterea nu a
esantionului curent, ci a diferentei dintre
esantionul curent si cel anterior.
Semnalul DPCM se obtine deci din codarea PCM a
diferentei
,
cum se arata in figura 1.28. Se observa ca
are o valoare cuprinsa intre q si Nq/2, N = 2n fiind numarul de nivele de
cuantizare. Tehnica DPCM reprezinta o cuantizare si codare a vitezei de
variatie a semnalului (panta) si nu a amplitudinii (PCM clasic).
Emitatorul DPCM poate fi implementat digital sub forma prezentata in figura 1.29. Se observa ca:
(1.38)
A fiind castigul comparatorului, iar la echilibru:
(1.39)
sau
(1.40)
Deci cuvantul digital In-1.. I1I0 este proportional cu dm(t)/dt, derivata semnalului m(t). Aceasta metoda sta la baza altor 2 tehnici de transmisie:
1. PCM diferential cu predictor, care realizeaza o reducere insemnata a redundantei semnalelor TV.
2. Modulatia delta (PCM diferential cu 2 nivele, N = 2, n = 1)
EXEMPLUL I.7 Fie un semnal esantionat, avand valorile din figura 1.30. In reprezentarea cu 7 biti pentru inaltimea esantionului si al 8-lea bit pentru semn, esantioanele si diferenta lor sunt codate ca:
Esantion Cod esantion Diferenta Cod diferenta
1111 1000 necunoscuta
1111 1100 +4 1100
1111 1110 +2 1010
1111 1111 +1 1001
1111 1101 -2 0010
1111 1001 -4 0100
Se observa in acest caz ca s-a putut trece de la o reprezentare cu 8 biti la una cu 4 biti, deci o reducere cu 50% a vitezei de transmisie.
Acest proces este ilustrat in figura 1.31.
Plecand de la forma de unda m(t), obtinem prin scaderea esantioanelor
adiacente, forma de unda md(t), care aproximeaza derivata lui
m(t). Se obtine astfel schema bloc DPCM din figura 1.32.
Varianta semnalului m(t) este (pentru
):
(1.41)
unde sumarea se face pe un numar mare N de esantioane alaturate.
Varianta lui md(t), pentru
este:

Primii 2 termeni din suma sunt egali cu s pentru N suficient de mare, iar (1.42) devine atunci
(1.43)
unde
(1.44)
si evident R este un coeficient de corelatie.
Intr-o forma mai generala, excluzand introducerea in formule a momentelor de esantionare, putem scrie:
(1.45)
El poate fi interpretat ca valoarea medie a
similaritatii esantioanelor lui m(t) separate de un interval de timp
.
In figura 1.33 este prezentata functia de autocorelatie R(n) pentru semnalul telefonic esantionat cu 8 kHz ; se observa ca R(0 )= 1 iar R(1) = 0,85 si atunci
![]()
![]()
Deci semnalul DPCM ocupa numai jumatate din numarul de nivele de cuantizare de la intrarea in coder, fata de PCM, si s-ar putea reduce la jumatate numarul de nivele, adica sa se renunte la un bit din cei n. Reducerea vitezei de transmisie in acest caz (n = 8) este de 1/8=12,5%, ceea ce este insuficient.
Pe baza cunoasterii unei pǎrti din semnalul redundant, de exemplu la semnalul vocal se stie cǎ R(1) = 0.85, se poate anticipa cum va evolua acesta in viitor sau macar sa se faca estimarea cea mai probabila, proces denumit predictie. In exemplul I.7 se observa ca diferenta scade lin, ca apoi sa treaca tot lin la valori negative.

Schema sistemului DPCM cu predictor
este data in figura 1.34. Pentru un semnal m(t), esantionat cu viteza
1/Ts vom obtine un set de esantioane m(kTs),
distantate cu Ts si corelate. Intrarea in circuitul de
cuantizare este un semnal de eroare
(1.46)
unde
este valoarea prezisa (iesirea din filtrul
predictor) a lui m(kTs). Iesirea din circuitul de cuantizare
este
(1.47)
iar qe(kTs) este eroarea de cuantizare. Din figura 1.35 rezulta
(1.48)
sau
(1.49)
iar
(1.50)
de unde
(1.51)
Deci,
(1.52)
Versiunea cuantizata mq(kTs) a semnalului de intrare esantionat m(kTs) la intrarea in filtrul predictor, difera deci de acesta prin eroarea de cuantizare qe(kTs). Daca predictia este corecta, varianta erorii de predictie e(kTs) va fi mai mica decat varianta semnalului m(kTs).
Aceasta inseamna ca pentru un circuit de cuantizare dat, cu un numar fix de nivele, se poate obtine o eroare de cuantizare cu o varianta mai mica decat in cazul cand semnalul de intrare m(kTs) ar fi cuantizat direct (PCM clasic). Remarcam insa ca sistemul DPCM cu predictor necesita o parte de hard-ware mai complexa si transmite eroarea de predictie (diferenta dintre semnal si varianta sa prezisǎ).
Tehnica este larg aplicata la semnalele TV, datorita redundantei mari si o intalnim in inregistrarea digitala a imaginii (videocasetofoane), sisteme TV prin cablu, tele-conferinta, transmiterea imaginilor prin satelit si videotelefon, urmarindu-se reducerea benzii semnalului.
Metodele de predictie se clasifica in:
1. Predictie in interiorul cadrului, folosind redundanta interesantioane sau interlinii.
2. Predictie intre cadre, folosita in cazul transmiterii imaginilor cvasistatice, in care nu exista diferente mari intre cadre (de exemplu videotelefon).
In general, predictia valorii m(kTs) implica cunoasterea valorilor anterioare de tipul m (k-1)Ts , m (k-2)Ts ,.etc., iar predictorul foloseste un algoritm de predictie de tipul:
(1.52)
unde
(1.53)
sau
(1.54)
unde p este ordinul filtrului
predictor.
Schema filtrului predictor este data in figura 1.35 si utilizeaza o linie de intarziere cu prize, cu iesiri ponderate.
In cel mai simplu caz,
,
iar schema sistemului DPCM cu predictor este cea din figura 1.36.
EXEMPLUL I.8 Fie sistemul DPCM cu predictor descris de
,
m(kTs) fiind semnalul de intrare m(t), de valoare medie zero, esantionat
la intervale Ts , iar a o constanta. Sa calculam:
a) varianta
a erorii
de predicttie
b) valoarea coeficientului a, la care se este minima,
c) conditia ca se 2 < s s - varianta semnalului m(kTs)
unde R(Ts) - valoarea functiei de autocorelatie a lui m(kTs) pentru o intarziere egala cu Ts.
b)
de unde ![]()
c)
sau ![]()
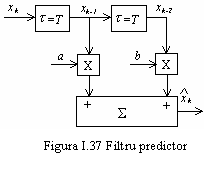
Exemplul I.9 Fie filtrul predictor reprezentat in figura I.37. Sa
calculam coeficientii a si b ai filtrului predictor care minimizeazǎ
varianta
a erorii
de predictie
sau

Rezolvand acest sistem de ecuatii rezultǎ
In cazul general filtrul predictor are p celule de intarziere si p coeficienti ce se determinǎ prin minimizarea variantei erorii de predictie
(1.55)
care se mai poate scrie ca
(1.56)
Dupǎ efectuarea derivatelor partiale in raport cu
si egalarea lor cu zero, rezultǎ sistemul
de ecuatii
(1.57)
cunoscut si ca sistemul de ecuatii Yule-Walker, ce permite determinarea coeficientilor filtrului predictor
Exemplul I.10 Fie semnalul vocal avand functia de autocorelatie normatǎ datǎ de
(1.58) 91.58()
reprezentatǎ in figura I.33. Aici
181.5 Hz
iar
475 Hz,
iar frecventa de esantionare este cea standard de 8000 Hz, cǎreia ii
corespunde o perioadǎ de 125 s. Sǎ determinǎm coeficientii a si b pentru circuitul
predictor reprezentat in figura I.37. Din rel.(1.58) rezultǎ R(0)=1,
R(1)=0.80 si R(2) = 0.55.
Conform exemplului I.10 avem
![]()
![]()
Intre valorile functiei de autocorelatie si coeficientii filtrului predictor existǎ deci relatia (1.57) care se poate scrie matricial sub forma:
(1.58)
Exemplul I.11 Sǎ verificǎm formula (1.58) cu datele din exemplul I.10. Relatia (1.58) devine
![]()
si ![]()
Fatǎ de un sistem PCM, sistemul DPCM prezintǎ performante imbunǎtǎtite, apreciate printr-un castig. Castigul introdus de circuitul de predictie optim este dat de
(1.59)
iar raportul S/Z astfel realizat este dat de
(1.60)
Sǎ apreciem imbunǎtǎtirea calitǎtii receptiei in cazul folosirii legii de compandare μ si DPCM cu predictie, fatǎ de PCM. In cazul PCM raportul S/Z este dat de
(1.61)
unde Px este puterea instantanee a semnalului de intrare discretizat. Caracteristica de compandare este
(1.36)
iar derivata ei
(1.62)
Raportul S/Z pentru cuantǎ variabilǎ (PCM cu compandare) poate fi scris ca
(1.63)
unde
(1.64)
In urma efectuǎrii calculelor rezultǎ pentru cazul general
(1.65)
In cazul particular al semnalului vocal, functia de densitate de probabilitate a acestuia poate fi modelatǎ ca o distributie Laplace de forma
(1.66)
cu
(1.67)
iar
(1.68)
Pentru valoarea standard μ = 255, ecuatia (1.65) devine
(1.69)

In figura 1.38 sunt reprezentate
rapoartele S/Z cu si fǎrǎ compandare, pentru compandare folosindu-se
legea , cu Prezenta compandǎrii introduce practic o independentǎ a
calitǎtii semnalului codat fatǎ de nivelul semnalului de intrare. In
absenta compandǎrii, dependenta este liniarǎ, calitatea crescand cu
cresterea nivelului semnalului de intrare in codec.
Influenta valorii lui μ asupra caliǎtii semnalului codat poate fi observatǎ din figura 1.39 unde este reprezentat raportul S/Z pentru trei valori ale lui μ. Cu cresterea valorii lui μ caracteristica S/Z in functie de puterea semnalului de intrare se aplatizeazǎ, iar calitatea se pǎstreazǎ intr-o zonǎ mai intinsǎ.
In practicǎ sunt numeroase situatii cand nu se
cunosc aprioric valorile functiei de autocorelatie a semnalului esantionat R(k).
Se recurge atunci la o estimare a acestora
,
pe baza unui numǎr mai mare de esantioane, fie el N, conform
relatiei
(1.70)
Pentru imbunǎtǎtirea calitǎtii
predictiei se recurge la utilizarea a douǎ filtre liniare predictoare,
unul pentru semnal si celǎlalt pentru eroarea de predictie
cuantizatǎ. Schema emitǎtorului DPCM cu dublǎ predictie este
prezentatǎ in figura I.40. Semnalul esantionat
este prezis sub forma
(1.71)
Schema decodorului DPCM cu dublǎ predictie este prezentatǎ in figura 1.41, la semnalul receptionat ce reprezintǎ eroarea de predictie adǎugandu-se atat semnalul prezis cat si replica prezisǎ a erorii de predictie.
Sistemele DPCM cu predictie au fost
dezvoltate pe baza ipotezei cǎ semnalul de intrare este stationar,
adicǎ valorile functiei de autocorelatie si varianta sa sunt constante. In
realitate multe semnale sunt cvasistationare, valorile functiei de autocorelatie
si varianta variind lent in timp.
Ca urmare au fost dezvoltate sisteme DPCM
adaptive, care recurg la ajustarea periodicǎ a coeficientilor de predictie
pe baza valorilor estimate ale functiei de autocorelatie, ce reprezintǎ
valori pe termen scurt, calculate pe un numǎr N de esantioane
recente. Tehnicile adaptive pot recurge si la o cuantizare neliniarǎ, cu
inǎltimi variabile ale cuantei, adicǎ o compandare a semnalului.
Transmisia semnalelor este insotitǎ de zgomote, cu caracter aleator, ce produc erori in fluxul de date receptionat. Ca urmare, semnalul reconstruit (decodat) va diferi de cel emis, iar diferenta dintre semnalul discretizat emis si cel receptionat o numim zgomot de decodare (decoding noise). Asadar, tehnicile PCM introduc doua tipuri de zgomote: zgomot de cuantizare si zgomot de decodare.
Sǎ presupunem cǎ erorile apar cu
probabilitatea
si cǎ transmisia se face pe cuvinte
binare de r biti de forma
.
Presupunand o reprezentare a esantioanelor discretizate in codul binar natural,
o eroare pentru bitul i implicǎ o deplasare a nivelului esantionului cu
.
Valoarea medie pǎtraticǎ a erorii de decodare se obtine mediind
valoarea lui
pentru cele r pozitii din cadrul
cuvantului de cod, erorile manifestandu-se aleator.
(1.72)
Cum
,
relatia (1.72) poate fi scrisǎ ca
![]()
iar puterea zgomotului de decodare poate fi scrisǎ ca
(1.74)
Zgomotul total, compus din zgomotul de cuantizare si zgomotul de decodare are puterea
(1.75)
iar raportul S/Z poate fi scris ca
(1.76)
Tinand cont cǎ probabilitatea de eroare pentru zgomot alb gaussian este datǎ de raportul S/Z la receptie prin intermediul relatiei
(1.77)
putem
reprezenta dependenta dintre raportul S/Z cand zgomotul include si pe cel de
decodare
si
raportul S/Z la receptie
.
Exemplul I.12 Sǎ reprezentǎm dependenta dintre raportul S/Z cand zgomotul
include si pe cel de decodare
si
raportul S/Z la receptie
pentru cazul particular
si valorile numǎrului de biti r pe care
sunt reprezentate esantioanele de 5, 6, 7 si 8.
Rezultatele sunt prezentate in figura 1.42.
Din caracteristicile
dedus in exemplul I.11 se poate observa existenta unui efect de prag, sub o
anumitǎ valoare a raportului
apǎrand
o scǎdere mai rapidǎ a raportului
.
Un caz particular de sistem DPCM, foarte
usor de implementat, este acela cu cuantizare doar pe 1 bit (doua nivele) a
semnalului diferenta, bitul indicand semnul diferentei dintre doua esantioane
succesive: aceasta tehnica este denumita modulatie delta (MD).
Imbunatatirile aduse acestei tehnici, ca MD adaptiva (cu panta
variabila), cu compandare instantanee ori silabica sau modulatia delta-sigma,
au facut-o un concurent serios al sistemelor telefonice PCM, fiind chiar
preferata in sistemele militare.
Avantajul principal al MD este deci cel al implementarii foarte simple (ea fiind cea mai simpla metoda, cunoscuta pana acum, de conversie analog-digitala), care se obtine pe seama cresterii benzii de transmisie, in raport cu sistemele PCM.
MD, ca si DPCM, se bazeaza pe utilizarea proprietatilor de corelatie ale semnalului, asantionat cu o viteza mult mai mare decat cea Nyquist (pentru a creste corelatia intre esantioanele alaturate), in scopul simplificarii procedurii de cuantizare.
Cu aceasta tehnica, cea mai simpla, obtinem o
aproximatie in trepte mq(t) a semnalului analogic m(t),
cu conditia esantionarii sale cu o viteza mult superioara celei Nyquist, asa
cum se arata in figura 1.43. Diferenta dintre semnalul de intrare m(t)
si replica sa cuantizata mq(t) este cuantizata cu doua nivele
D, care indica
semnul acesteia. Daca la momentul de esantionare
,
se creste
cu D; in caz contrar, se scade cu D
Conditia de esantionare cu viteza superioara celei date de teorema esantionarii, face ca semnalul sa nu varieze rapid de la un esantion la altul, iar mq(t) sa aproximeze pe m(t) in limitele D. Schema sistemului este prezentata in figura 1.44.

Procesele ce au loc in sistemul de transmisie cu MD pot
fi descrise de relatiile:
(1.78)
(1.79)
(1.80)
unde Ts - intervalul de esantionare,
e(kTs) - semnal de eroare egal cu diferenta dintre mq(kTs)
si ultima aproximare a acesteia ![]()
eq(kTs) - valoarea cuantizata a lui e(kTs).
Circuitele de codare si decodare asigura adaptarea semnalului digital la linie. Formele de unda implicate sunt ilustrate in figura 1.43. Practic, sistemul este realizat ca in figura 1.45.
Diferenta fata de PCM este aceea ca se esantioneaza nu semnalul m(t), ci un semnal diferenta bipolar (cuantizat binar). De aici si denumirea de modulatie delta.
Schema deriva din cea a emitatorului DPCM
(figura 1.29). Deoarece viteza de esantionare este egala cu cea a datelor de
iesire (n = 1), schema se simplifica, contorul de n biti devine un
simplu bistabil D, iar convertorul A/D un comutator analogic care
aplica integratorului nivelele de referinta Uref.
Demodulatorul utili-zeaza un integrator pentru decodarea semnalului. Implementarea sistemului este foarte simpla, in locul integratorului fiind suficient un simplu filtru RC, atat la emisie cat si la receptie (viteza de esantionare este mare in comparatie cu cea Nyquist). MD prezinta insa si dezavantaje ca:
Sistemul nu poate transmite componenta de c.c. si frecventele joase (deci nu este indicat pentru transmiterea semnalelor TV), datorita diferentierii produse asupra semnalului;
MD liniara este limitata de viteza de urmarire (slew-rate) si conduce la supradepasiri in cazul semnalelor cu variatii rapide de amplitudine sau de frecventa ridicata;
Notand cu D valoarea cuantei si cu
- frecventa de esantionare, viteza maxima de
variatie a tensiunii la iesirea integratorului va fi Dfs V/s . Pentru un semnal m(t) sinusoidal,
(1.81)
panta maxima este 2pAf, obtinuta pentru ![]()
Atunci
,
iar
(1.82)
Domeniul dinamic al semnalului este dat de
raportul A/D si este cu atat mai mare cu cat frecventa
de esantionare este mai mare, in raport cu frecventa semnalului. Aceasta ne
arata ca semnalele de joasa frecventa vor fi redate mai bine decat cele de
frecventa mai ridicata.
In semnalul vocal (f1 = 300Hz, f2 = 3400Hz; f2 10f1), majoritatea energiei este concentrata la frecvente joase, iar domeniul dinamic poate fi considerat numai in functie de acestea. Presupunand A/D=256 ca la un sistem PCM de 8 biti,
iar
,

ceea ce contrasteaza cu
dat de teorema Nyquist.
Functionarea modulatorului delta poate fi urmarita cu
ajutorul figurii 1.46. La inceput,
si
primul impuls transmis va fi +D; procesul continua pana cand
, cand se va produce un impuls -D, aceasta
etapa initiala a functionarii MD fiind denumita intrare in regim (start-up).
Se evidentiaza apoi o regiune in care m(t) =constant, iar
oscileaza cu D in jurul lui m(t),
iesirea MD fiind o succesiune alternanta de biti 0 si 1, regim denumit
granularitate. Urmeaza apoi o regiune de urmarire, in care MD
functioneaza corect. Depasirea de panta apare datorita limitarii slew-rate
- ului MD, in situatia cand m(t) creste prea rapid (figura 1.47).
Conform rel. (1.59), valoarea de varf a semnalului la care apare depasire de panta este:
(1.83)
S-a determinat experimental ca prin MD se pot transmite semnale vocale fara distorsiuni observabile, datorita depasirii de panta, daca A satisface ec. (1.60) cu f0 = 800 Hz. Aceasta deoarece spectrul semnalului vocal M(f) satisface relatia:
(1.84)
adica scade cu o viteza mai mare ca 1/f2 (6 dB/octava) pentru frecvente mai mari ca f0.
Pentru reducerea raportului fs / f0 in cazul MD, s-au propus mai multe metode, bazate pe folosirea unei duble integrari in bucla de reactie, a integrarii cu predictie sau cu castig variabil al buclei.
I.11.2 Modulatia delta
adaptiv a Limitarile MD liniare se manifesta atunci cand semnalul variaza foarte lent (granularitate) sau foarte rapid (depasire de panta). Ele pot fi inlaturate folosind o MD adaptiva, cu valoare variabila a cuantei D, in functie de semnal. In principiu, pentru a evita granularitatea, cuanta trebuie sa fie mica, iar pentru evitarea depasirii de panta este necesara o cuanta mare.
Schema MD adaptiv este prezentata in
figura 1.48. Valoarea cuantei este ajustata prin castigul amplificatorului,
care variaza liniar cu tensiunea de comanda de pe condensatorul C. Vom
obtine astfel o valoare mica a cuantei la Uc = 0 si o valoare mare
pentru Uc mare.
In regim de granularitate, iesirea circuitului este o succesiune alternanta de biti 0 si 1 ( D), de valoare medie zero si Uc
In cazul depasirii de panta, iesirea MD este o succesiune de biti 0 sau 1 (+D sau -D), ceea ce da nastere unei tensiuni de control Uc pozitive, indiferent de polaritatea impulsurilor (de aici necesitatea circuitului cu caracteristica de transfer patratica).
O varianta digitala a implementarii MD adaptive, care mai este denumita si CVSD (Continuously Variable Slope Delta) este prezentata in figura 1.49.
Schema trebuie sa detecteze situatia depasirii de panta (secvente lungi de 0 sau 1, cu lungimea de cel putin 3) si, in acest caz, sa mareasca amplificarea buclei pentru un interval de timp adecvat T, astfel incat iesirea MD sa poata urmari semnalul de intrare. Acest lucru se realizeaza cu ajutorul unor sumatoare modulo-2 si al unui registru de deplasare cu doua celule.
In cazul semnalelor vocale, filtrul RC, folosit pentru reglajul amplificarii (controlul cuantei) este un estimator silabic, avand un raspuns in timp adecvat fluctuatiilor puterii aemnalului vocal. S-a stabilit experimental ca cele mai bune rezultate se obtin pentru o constanta de timp RC = 4 10 ms. Pentru filtrul silabic digital, T este de 4 10 ms, valoare mare in comparatie cu perioada de esantionare Ts. Cu cat secventa de biti 1 sau 0 succesivi este mai lunga, cu atat mai mare va fi semnalul de iesire din filtrul silabic.
Integratorul din MD este realizat sub forma digitala, fiind un numarator reversibil, bitul 1 crescandu-i continutul, iar bitul 0 scazandu-l. Semnalul de iesire din integrator, ponderat prin iesirea filtrului silabic, este aplicat unui convertor D/A de 10 biti, pentru a genera versiunea cuantizata a semnalului m(t). La receptie, demodulatorul va contine un circuit similar cu cel de la emisie (cu amplificare variabila).
In aceasta varianta se realizeaza si CODEC-uri pentru compandare, avand aceeasi structura si circuoitul de integrare comun, in situatia de decodor bucla fiind deschisa intre comparator si bistabilul D. De semnalat ca ele realizeaza o compandare care nu respecta nici legea A, nici legea m
Calitatea semnalului obtinut cu un codec CVSD lucrand cu fs = 32kbiti/s e similara cu cea obtinuta cu un sistem PCM cu 8 biti cu compandare (64 kbiti/s). O calitate mai slaba a semnalului vocal, care ramane perfect inteligibil, poate fi obtinuta pentru viteze mai coborate (9,6 kbiti/s).
MD adaptiva cu compandare silabica, este tot un sistem DPCM cu un singur bit, care prezinta un raspuns slab in c.c. si la frecvente joase; ea nu este indicata pentru transmisia semnalelor cu componenta de c.c. (T.V.). Aceste dezavantaje sunt inlaturate folosind o alta tehnica, denumita delta-sigma, care insa nu mai este diferentiala (figura 1.44).
In MD clasica, integratorul montat in bucla realizeaza functia inversa, de diferentiere a semnalului, suprimand componentele de joasa frecventa din spectrul semnalului. Introducand un integrator inaintea MD, semnalul de intrare in integratorul din bucla aproximeaza semnalul de intrare m(t). Evident,
(1.85)
In aceasta varianta, integratorul de la intrarea buclei este atacat de semnale cu domeniul dinamic mare (dinamica medie a vorbirii este de 30 dB), iar schema necesita deci un integrator suplimentar. O imbunatatire a modulatorului delta-sigma este data in figura 1.51, comparatorul fiind inlocuit printr-un amplificator diferential cu castig unitar urmat de un detector de treceri prin zero.
Deoarece amplificatorul diferential, spre deosebire de comparatorul clasic, are o functie de transfer liniara, se poate aplica teorema superpozitiei si inlocui cele doua operatii de integrare da la intrarea sa cu o singura integrare a semnalului diferenta (la iesirea sa), semnalul diferenta avand evident un domeniu dinamic mic.
Se poate afirma ca detectorul de treceri prin zero, impreuna cu bistabilul D se comporta ca un modulator in impulsuri, atacat de semnalul analogic diferenta integrat. La receptie, efectul integrarii este inlaturat cu ajutorul unui circuit de diferentiere montat la iesire, care anuleaza efectul integratorului din demodulatorul delta clasic, deci se obtine schema din figura 1.51d.
![]() |
Conversia MD-PCM poate fi efectuata
cel mai simplu cu ajutorul schemei prezentate in figura 1.52. Contorul
reversibil de n biti functioneaza ca un integrator, memorand un cuvant
de n biti, care este variat cu 1 pentru fiecare impuls la intrare,
valoarea sa variind in ritmul frecventei de esantionare delta
.
Latchul de n biti selecteaza cuvintele cu viteza
,
de R ori mai mica. Din experimente s-a gasit ca
R 200.
EXEMPLUL
I.12 Sa calculam viteza de lucru a codecului PCM bazat pe modulatorul delta,
care sa poata fi folosit in telefonie pentru multiplexarea a N canale
telefonice (N = 32). Evident
.
Pentru R=200
viteza mare, ce conduce la cresterea puterii disipate.
Frecventa de esantionare poate fi scazuta folosind o MD cu interpolare, schema de conversie fiind data in figura 1.53.
Circuitul utilizeaza un numarator reversibil de n -
k biti, ceea ce permite reducerea in MD a frecventei de esantionare
la valoarea
,
unde evident R' < R. Restul de k biti, care asigura
precizia sistemului, sunt extrasi din semnalul cu MD prin INTERPOLARE
- operatie echivalenta cu o mediere pe viteza de codare delta.
Aceasta tehnica se bazeaza pe faptul ca in
codarea delta semnalul este esantionat cu o viteza de R ori mai mare
(100 - 200) decat cea rezultata din teorema esantionarii. Ca urmare, lobii
spectrali ai semnalului esantionat vor fi separati de intervale mari in
comparatie cu latimea lor (vezi figura 1.10).
Interpolarea este echivalenta cu o filtrare digitala cu frecventa mica de taiere, care va reduce latimea lobilor. Prin reducerea vitezei de esantionare, lobii vor fi adusi mai aproape unul de altul, micsorandu-se intervalul ce-i separa. Fenomenul de suprapunere a lobilor (aliasing) nu apare nici pentru reduceri semnificative ale vitezei de esantionare, avand in vedere valoarea initiala mare a lui R si constanta mare de timp a interpolarii.
Prin interpolare se executa o mediere (suma ponderata) pe un grup de L biti de la iesirea MD, circuitul de interpolare fiind un filtru digital cu raspuns finit la impuls (FIR), avand structura din figura 1.54. Datorita intarzierii cu LTs, pe care o sufera semnalul, este necesar un circuit de intarziere cu LTs in schema din figura 1.54.
Daca se foloseste o modulatie delta-sigma, se poate renunta la integratorul digital, circuitul de conversie continand doar un FTJ digital, care prelucreaza semnalul de iesire din codorul delta-sigma.
Sistemele cu multiplexare in frecventa au fost bine dezvoltate si standardizate. Pe masura dezvoltarii transmisiilor digitale apar situatii cand un sistem cu multiplexare in frecventa trebuie inlocuit cu unul cu multiplexare in timp.
Datorita faptului ca echipamentul de demultiplexare pentru sistemele cu multiplexare in frecventa e mai scump de 2 3 ori decat pentru cele cu multiplexare in timp, nu este convenabil sa se faca demultiplexarea pana la canalele de transmisie (banda de baza) si apoi sa se faca o codare PCM. In acest caz se recurge la codarea PCM a intregului ansamblu cu multiplexare in frecventa, folosind coduri speciale.
In tabelul I.5 sunt recapitulate grupele intalnite in sistemele cu multiplexare in frecventa.
Tabelul I.5 Grupuri in multiplexarea canalelor in frecventa
|
Ansamblu |
Frecventa kHz |
Banda kHz |
Nr. de canale |
Nivel de incarcare |
Alocare zgomot pW |
Grup primar | |||||
|
Grup secundar | |||||
|
Grup tertiar | |||||
|
16 gr.secundare |
Pentru esantionarea ansamblurilor, avand in vedere caracterul trece-banda al canalelor de transmisie, vom alege frecventa de esantionare astfel ca in spectrul semnalului rezultant sa nu avem o suprapunere a benzilor laterale (non-aliasing).
Astfel, presupunand spectrul semnalului
translat cuprins intre f1 si f2, de banda
,
viteza de esantionare fs = 2f2 rezulta mult
mai mare decat 2B; de aceea alegem fs astfel ca sa
localizam spectrul semnalului translat intre douǎ armonici succesive ale
lui fs /2, de exemplu nfs
/2 si (n+1)fs/2, unde n =0, 1, 2, 3, ,
situatie ilustrata in figura 1.55. Va rezulta deci:
![]()
(1.64)
Daca in plus spectrul semnalului este plasat simetric intre armonicile alaturate ale lui fs/2, atunci obtinem si distante egale de separare intre benzile laterale, conditie data de
(1.65)
iar separarea intre benzile laterale devine:
(1.66)
Deoarece distanta intre canale este de 4 kHz, se alege fs un multiplu de 4 kHz, ceea ce asigura eliminarea componentelor incoerente de intermodulatie produse de frecventele de esantionare si purtatoare. Cel mai convenabil ar fi ca fs sa se aleaga egala cu una din frecventele purtatoare.
a. Grupul primar (60-108 kHz)
Pentru n = 0

![]()
Aceasta valoare depaseste cu mult fs = 2 48 kHz care rezulta din teorema esantionarii.
Pentru n = 1 ![]()
![]()
Pentru aceeasi separare intre benzile laterale:
![]()
![]()
Separarea intre benzi este:
![]()
b. Pentru grupul secundar rezulta,
,
,
separarea intre benzile laterale fiind Df = 48 kHz.
c. Pentru cele 16 grupuri secundare, evident n = 0 si rezulta valoarea minima fs =8056 kHz. Se alege insa fs = 8432 kHz, cea mai apropiata frecventa purtatoare.
d. Pentru grupul tertiar (812-2044 kHz), intrucat cuprinde mai mult de o octava, poate fi esantionat cu 2 fs = 4088 kHz, prea mare in comparatie cu (2044-812) 2 = 2464 kHz.
1.1 Un semnal cu banda limitata la 3,6 kHz este transmis pe un canal PCM, avand viteza maxima de 40.000 biti/s. Determinati viteza de esantionare fs, n si N.
1.2 Un semnal s(t) cu banda limitata la fM este esantionat cu un gard de impulsuri triunghiulare cu inaltimea l si durata t t < T = 1/fs). Calculati si reprezentati spectrul semnalului astfel esantionat.
1.3 Fie semnalul x(t)=cos2p 90t+cos2p 230t, ce este esantionat ideal, cu frecventa fs=300 Hz, iar xs(t) este trecut printr-un FTJ ideal, de banda B = 150Hz. Ce frecvente se obtin la iesirea FTJ?
1.4 Un semnal x(t) are spectrul limitat de un FTB ideal cu f1 = 20 kHz si f2 = 82 kHz. In ce domeniu se poate alege frecventa de esantionare fs?
1.5 Semnalul x(t) =cos2p 10fot + cos2p 11 fot + cos2p 12 fot este esantionat ideal cu frecventa fs = 8f0 si apoi filtrat cu un FTJ ideal de banda Bt = 2fo. Scrieti expresia semnalului obtinut la iesire.
1.6 Un semnal x(t), cu banda limitata la fM = 4 kHz, moduleaza MA o purtatoare f0.. Semnalul MA astfel obtinut este esantionat cu fs = 25 kHz. Daca f0 variaza intre 5 si 50 kHz determinati limitele sale de variatie, astfel incat sa nu apara suprapunerea benzilor (aliasing).

1.7 Fie semnalul x(t) =14 sin2pt, ce se
transmite printr-un sistem PCM cu n =5 biti. Daca circuitul de
cuantizare e liniar, q = 1V si aproximatia se face prin mijlocul valorii
intervalului de cuantizare, desenati forma de unda PCM corespunzatoare unei
perioade a semnalului. Se presupune fs
= 4 Hz, esantioanele fiind luate la 5/8 secunde.
1.8 Fie semnalul x(t) cu spectrul X(f) reprezentat in figura 1.50. Reprezentati spectrul semnalului esantionat pentru fs = 0, 30 si 40 kHz. In ce cazuri se poate recupera semnalul din banda de baza?

1.9 Fie forma de unda PCM
reprezentata in figura 1.51. Decodati-o si reprezentati semnalul decodat pentru
n = 3 si n = 4.
1.10 Fie semnalul
,
de banda nelimitata. Determinati viteza minima de esantionare, in functie de
banda semnalului x(t), definita la 3dB, astfel incat marimea celei mai
mari componente spectrale introdusa prin suprapunerea benzilor (aliasing),
sa fie cu 10 dB sub valoarea celei mai mari componente spectrale a lui x(t).
1.11 Un semnal cu banda 100 - 4000 Hz si amplitudinea limitata la 3V, este esantionat uniform cu frecventa fs = 8 kHz si cuantizat liniar cu n = 6 biti. Calculati si comparati benzile si rapoartele Sm/Zq, unde Sm este puterea de varf a semnalului (valoare eficace).
1.12 Reprezentati caracteristica de compresie si expandare pentru legea m, cu m = 100 si 225.
a. Daca puterea semnalului x este uniform distribuita intre -1 si +1, aratati ca factorul de imbunatatire al compandarii este:

unde C este definit ca raportul dintre puterea zgomotului de cuantizare fara compandare si cea cu compandare.
b. Deduceti o expresie simplificata a factorului C pentru nivele mici ale semnalului.
I.1 Modelul unui system PCM ..........................
I.2 Esantionarea semnalelor. Efecte .......................
I.2.1 Esantionarea la viteze superioare lui 2fm
I.3 Cuantizarea semnalelor
I.4 Calitatea transmisiei PCM
I.5 Compandare
I.6 Codare si decodare
I.7 Sisteme de transmisiuni PCM
I.8 PCM diferential
I.9 Modulatia delta
I.9.1 Modulatia delta liniara
I.9.2 Modulatia delta adaptiva
I.9.3 Modulatia delta-sigma
I.9.4 Conversia MD-PCM
I.10 Esantionarea sistemelor cu multiplexare in frecventa
I.11 Probleme
|
Politica de confidentialitate | Termeni si conditii de utilizare |
Vizualizari: 3268
Importanta: ![]()
Termeni si conditii de utilizare | Contact
© SCRIGROUP 2026 . All rights reserved