| CATEGORII DOCUMENTE |
| Aeronautica | Comunicatii | Electronica electricitate | Merceologie | Tehnica mecanica |
Incercari de fiabilitate
1. Introducere
Indicatorii de fiabilitate a echipamentelor pot fi determinati daca se cunosc repartitiile timpilor de functionare fara defectiuni si de reparare (reinnoire).
Determinarea functiilor de repartitie si a parametrilor acestora pot fi facute numai prin masuratori asupra variabilelor examinate in cadrul unor incercari pe esantioane alcatuite de regula prin sondaje pur aleatoare. In cazul seriilor mici, masuratorile sunt efectuate de regula in timpul exploatarii curente, informatiile obtinute fiind utilizate pentru reglarea controlului de calitate.
In cazul echipamentelor cu timpi medii de buna functionare mari, apare o problema deosebita ce consta in durata mare a incercarilor, durata ce poate fi redusa prin marirea esantionului supus incercarii. Intrucat indicatorii de fiabilitate depind de multe solicitari (sarcina, putere disipata, tensiune aplicata, interactiuni cu factorii de mediu etc.) rezulta ca incercarile de fiabilitate sunt mari consumatoare de timp si presupun un efort considerabil, atat din punct de vedere tehnic cat si financiar. Este necesara o clasificare a incercarilor de fiabilitate dupa cateva criterii, ca mai jos.
1. Dupa scopul incercarii
1.1. Incercari de determinare a indicatorilor de fiabilitate prin care se stabilesc legile de repartitie a timpilor de functionare.
1.2. Controlul indicatorilor de fiabilitate prin care se verifica daca acestia se incadreaza in limitele prestabilite.
Incercari de cunoastere a fiabilitatii operationale.
1.4. Incercari de investigare - obtinerea intr-un timp scurt a unor informatii cu privire la indicatorii de fiabilitate.
2. Dupa marirea solicitarilor aplicate, incercarile de fiabilitate pot fi:
2.1. Incercari simple - la care solicitarile sunt constante la diferite nivele, dar sub nivelul nominal si de regula sunt solicitari de sarcina sau termice.
2.2. Incercari normale - la care solicitarile sunt aceleasi ca in exploatare.
2.3. Incercari accelerate - la care solicitarile sunt peste cele normale, in scopul reducerii timpului de incercare.
3. Dupa procedura de incercare, clasificarea se face in functie de factorul ales apriori, la atingerea caruia se adopta decizia cu privire la fiabilitatea echipamentului incercat. Daca acest factor este o durata, incercarile se numesc trunchiate, iar daca acesta este un numar prestabilit de defectari, incercarile se numesc cenzurate. Daca decizia pate fi adoptata in fiecare moment in functie de numarul de defecte si de durata cunoscuta, incercarile se numesc secventiale sau progresive (progresiv trunchiate si progresiv cenzurate).
Cele mai raspandite incercari de fiabilitate sunt urmatoarele:
incercari trunchiate sau cenzurate pentru determinarea intensitatilor defectiunilor, timpul mediu de functionare fara defectiuni, a legii de repartitie a timpului de functionare fara defectiuni;
incercari progresiv trunchiate;
incercari accelerate, pentru investigatii, in special asupra componentelor echipamentelor tehnice.
Toate incercarile se pot face cu sau fara inlocuirea echipamentelor defecte in cadrul esantionului supus testelor. Simbolizarea incercarilor este prezentata in continuare:
NCr - incercari cenzurate cu inlocuire;
NFr - incercari cenzurate fara inlocuire;
NCT - incercari trunchiate cu inlocuire;
NFT- incercari trunchiate fara inlocuire,
unde - N este volumul esantionului;
- r este numarul de echipamente la a caror defectare se opreste experimentul;
- T este timpul la care se opreste experimentul.
Oricare ar fi tipul de incercare, rezultatul obtinut este un sir de masuratori (serie statistica), t1, t2 .tn care reprezinta valorile variabilei examinate (de exemplu timpul de functionare fara defectiuni sau timpul de reparare). Pe baza acestor date se calculeaza functia empirica de repartitie si se formuleaza o ipoteza statistica asupra repartitiei variabilei, ipoteza care se verifica printr-un test de concordanta ( ex. Kolmogorov).
2. Incercari cenzurate
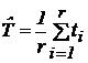
A) - Incercari cenzurate fara inlocuire - (NFr). Sunt supuse incercarii N echipamente identice, care sunt puse in functiune in acelasi moment si functioneaza simultan in acelasi regim. Se constata ca unele echipamente se defecteaza la momentele t1, t2, tr, experimentul incetand in momentul constatarii celei de-a r-a defectari. O estimatie absolut corecta pentru timpul mediu de buna functionare este:
;
(1)
B) - Incercari cenzurate cu inlocuire - (NCr). Incercarea incepe cu N echipamente identice care sunt puse in functiune in acelasi moment si functioneaza simultan. In momentul in care unul dintre echipamente se defecteaza, acesta este inlocuit cu altul nou. Incercarea se termina cand se constata a r-a defectiune. Rezulta ca in incercare se folosesc N+ (r-1) echipamente. si in acest caz un estimator al timpului mediu de functionare este:
(2)
Durata totala a experimentului este mai mica decat in cazul anterior, deoarece la incercarile fara inlocuire probabilitatea de defectare scade pe masura ce se defecteaza unele echipamente, insa costul experimentului este mai ridicat datorita numarului mai mare de echipamente supuse testatelor.
3. Incercari trunchiate (NCT, NFT)
In cazul acestor incercari experimentul inceteaza la un moment t* fixat dinainte. Sunt puse simultan in functiune N echipamente iar experimentul se opreste la momentul t*, in intervalul (0, t*) constatandu-se aparitia a r - defectiuni, unde r este o variabila aleatoare.
4. Incercari accelerate
Incercarile accelerate de determinare a indicatorilor de fiabilitate (de regula intensitatea defectarilor sau timpul mediu de buna functionare) se realizeaza prin cresterea solicitarilor peste limitele nominale, cu conditia mentinerii mecanismelor de producere a defectiunilor.
In incercarile accelerate se pleaca de la ipoteza ca viteza de desfasurare a proceselor de uzura creste odata cu cresterea solicitarilor.
Limitele impuse solicitarilor corespund regiunilor in care apar tipuri noi de defecte, care nu au nici o sansa sa apara in conditiile unor solicitari normale.
Ca parametri de solicitare se pot folosi: temperatura, tensiunea, umiditatea, puterea disipata, solicitari mecanice (socuri, vibratii etc.).
Regimul normal de functionare este regimul in care solicitarile nu depasesc valorile limita cuprinse in norma interna a echipamentului.
Regimul in care cel putin o solicitare depaseste valoarea limita prestabilita, este un regim fortat.
Chiar in conditii normale de functionare, solicitarile pot fi diferite, in consecinta si parametrii de fiabilitate sunt diferiti. Se pune in acest caz problema corespondentei dintre parametrii de fiabilitate si solicitari.
Fie x0 si
x1 doua nivele de
solicitare a unui echipament. Prin incercari se determina seria
statistica t1, t2,
., tn, de solicitare x0
si
la nivelul de
solicitare x1. Se
calculeaza functiile empirice de repartitie
pentru cele doua
nivele de solicitare si se verifica ipoteza cu privire la legea de
repartitie (test Kolmogorov). Daca testul este trecut se adopta
functia de repartitie teoretica. Corespunzator celor doua
nivele de solicitare se obtin functiile de repartitie
si
, reprezentate in figura 1.
Daca
>
pentru orice t,
atunci x1 este o
suprasolicitare in raport cu x0.
Pentru aceeasi probabilitate de defectare q, avem:
=
= q (3)
relatie care stabileste legatura intre timpii de functionare la diferite solicitari. Dand lui q diferite valori intre 0 si 1 obtinem o relatie de forma t0 = q(t1) care se numeste functie de accelerare.

Fig.1. Evolutia functiei de repartitie in raport cu nivelul solicitarilor
In particular relatia (3) stabileste legatura intre timpul mediu de buna functionare la solicitarea x0 functie de timpul mediu de buna functionare la solicitarea x1.
Din nefericire, functia de accelerare se cunoaste
in prea putine cazuri ca sa poata fi utilizata. In
aceasta situatie este necesar sa se determine direct
dependenta dintre parametrul de fiabilitate si solicitare, de exemplu
dependenta
, unde x este
nivelul de solicitare.
Acest lucru se face punct cu punct, la cateva nivele de
suprasolicitare. Se formuleaza apoi o ipoteza cu privire la
functia f(x) care se
verifica printr-un test statistic (Kolmogorov-Smirnov) pe baza
acelorasi date experimentale. Daca testul este trecut, functia
adoptata poate fi utilizata pentru determinarea parametrului de
fiabilitate la solicitarea nominala. Exista doua moduri de
realizare a incercarilor pentru determinarea dependentei
:
Metoda solicitarilor constante;
Metoda solicitarilor in trepte (la timp constant).
In primul caz se supune incercarilor un lot de echipamente
la nivelele de suprasolicitare x1,
x2,., xk. Pentru fiecare nivel de solicitare se
determina timpii la care apar defectarile iar pe baza lor se
verifica ipoteza cu privire la repartitia mediei timpului de
buna functionare si se determina timpul mediu
. Cunoscand punctele
, functia f(x)
se aproximeaza cu o functie oarecare (de regula
exponentiala sau combinatii de exponentiale), care trece
prin aceste puncte, timpul mediu de buna functionare la solicitarea
nominala fiind:
. Indiferent de metoda de incercare se pun doua
probleme:
Care este nivelul maxim admis pentru suprasolicitare?
Care este cea mai buna
functie ce aproximeaza pe
?
Dupa cum am precizat de la inceput, suprasolicitarea nu trebuie sa schimbe mecanismul de producere a defectiunilor. Este usor de intuit ca, odata cu schimbarea acestui mecanism, se modifica si legea de repartitie a timpului de functionare fara defectiuni. In consecinta se poate alege drept criteriu de limitare a suprasolicitarilor, schimbarea legii de repartitie a acestuia.
In ceea ce priveste a doua intrebare, raspunsul
este mai complicat, depinzand de natura suprasolicitarii. Daca, de
exemplu solicitarea este temperatura
, degradarea mai rapida a echipamentului odata cu cresterea
temperaturii reflecta modificarea structurii fizico-chimice, care
urmeaza de regula o lege exponentiala (asa cum in
chimie, viteza de reactie chimica creste exponential cu
temperatura - legea S. Arrhenius). In acest caz se poate adopta o lege de forma:
(4)
constantele A si B urmand a fi determinate.
Bineinteles ca legea adoptata trebuie
verificata experimental, de exemplu cu ajutorul unei retele
probabilistice logaritmice, pentru care
, punctele
trebuind sa se
plaseze sensibil pe o dreapta.
Daca se schimba factorul de solicitare, modelul
legii de degradare se schimba si in consecinta si
functia
. O alegere rationala a acestei functii se
poate face numai pe baza unei analize profunde a mecanismului de defectare,
functie de fiecare solicitare in parte. Alegerea acestei functii
constituie de fapt cheia succesului incercarilor accelerate.
Alte tipuri de legi de degradare sunt prezentate in continuare:
a) Tinand seama de reactiile care conduc la imbatranirea unui material, Bussing a determinat relatia:
(5)
A si B fiind constante de material.
b) Pentru rulmenti, la care defectarile se datoreaza incalzirilor locale si globale provenite din frecari nedorite (inclusiv cele datorate ungerii incorecte):
(6)
unde
este temperatura
absoluta, iar a, b, c sunt constante
ce depind de material si de tipul constructiv al rulmentului.
c) Degradarea termica a
materialelor izolante este descrisa de o lege de forma
, unde r = r(t)
este rezistenta materialului izolant. Degradarea se manifesta prin
scaderea in timp a rezistentei de izolatie (la solicitare
termica constanta). Pentru degradarea rezistentei de
izolatie se verifica o lege de tip Arrhenius si dupa unele
rationamente se ajunge la:
(7)
unde a si b sunt constante de material.
O lege de degradare similara este valabila si pentru echipamentele de automatizari si calcul, la care solicitarile electrice sunt mici.
Exemplu de organizare a incercarilor accelerate
Obiectul supus incercarii - conector pentru circuite integrate.
Volumul lotului - 6 grupuri a cate 65 conectori.
Conditii nominale - clasa de temperatura a conectorului este de +1250C.
Scopul incercarii - deducerea timpului mediu de buna functionare.
Factorul de accelerare - temperatura.
Criteriul de defectare - cresterea rezistentei de contact peste o valoare stabilita.
Ipoteza repartitiei timpului de functionare fara defectiuni - legea exponentiala negativa.
Modul accelerarii - solicitari in trepte de temperatura, in timp constant, in conformitate cu tabelul 1:
Criteriul solicitarii maxime - schimbarea legii de repartitie.
Ipoteza uzurii
(tip Arrhenius).
Observatii:
Precizia masuratorii rezistentei de contact 0.5%.
Precizia
mentinerii temperaturii pe palier
.
Masuratorile se fac continuu.
Tabelul 1
|
Temp. palier |
Durata palierului (ore) |
|||||
|
A |
B |
C |
||||
|
| ||||||
Grupurile de conectori A2, B2, C2 sunt supuse la doua trepte de solicitare. Aceasta grupare este necesara si pentru o analiza factoriala a defectarii, grupurile supuse probelor putand proveni din loturi diferite, de pe masini diferite etc. In general planul de incercari se alcatuieste cunoscand tehnologia de fabricatie a produsului si materialele folosite.
Rezultatele obtinute: Pentru fiecare temperatura se inregistreaza
timpii de defectare
, i = 1, Cu aceste
date, se calculeaza functiile empirice de repartitie si se
reprezinta pe o retea probabilistica exponentiala
negativa. Se constata ca pentru
legea de
repartitie difera de cea exponentiala negativa,
rezultand ca solicitarile la aceasta temperatura nu sunt
justificate si deci nu vor fi luate in considerare. Pentru fiecare nivel
de temperatura se determina apoi valoarea lui
.
|
| ||||
|
|
|
|
Fig. 2. Timpul mediu de buna functionare pentru conectorii supusi incercarilor |
Se verifica ipoteza cu privire la legea uzurii, pe cale
grafica. Se observa ca punctele sunt sensibil plasate pe o
dreapta, deci se poate accepta ipoteza exponentiala a uzurii
functie de solicitarea considerata. Din grafic se poate aprecia valoarea
lui
la temperatura de 1250C
(valoarea maxima a temperaturii la care poate fi supus conectorul in
exploatarea curenta). Rezulta o estimatie a timpului mediu de
buna functionare,
h, valoare
obtinuta intr-un timp considerabil mai scurt decat ar fi durat o
estimatie bazata pe informatiile culese in timpul
exploatarii curente a conectorilor supusi incercarii accelerate.
|
Politica de confidentialitate | Termeni si conditii de utilizare |
Vizualizari: 1592
Importanta: ![]()
Termeni si conditii de utilizare | Contact
© SCRIGROUP 2025 . All rights reserved