| CATEGORII DOCUMENTE |
| Astronomie | Biofizica | Biologie | Botanica | Carti | Chimie | Copii |
| Educatie civica | Fabule ghicitori | Fizica | Gramatica | Joc | Literatura romana | Logica |
| Matematica | Poezii | Psihologie psihiatrie | Sociologie |
ELEMENTE DE ALGEBRA BOOLEANA
1.1. FUNCTII LOGICE
Modul de lucru al circuitelor digitale este studiat cu
ajutorul algebrei
Boole (introdusa de George Boole in jurul anului 1850
si aplicata de
Claude
Shannon in 1938
la functiile logice binare). Aceasta algebra opereaza cu
sistemul de numeratie binar, simbolurile folosite fiind 0 si 1
Variabilele logice pot lua una din cele
doua valori (0 sau 1), iar
operatorii
fundamentali sunt SI, SAU si NU.
in definirea operatorilor logici vom
nota cu X, Y, Z variabilele logice.
Operatorul logic SI (notat cu . semn
care uneori poate lipsi) se
scrie X.Y=Z si semnifica:
daca X=1 SI Y=1 atunci Z=1;
altfel Z=0
Operatorul logic SAU (notat cu +) se scrie
X+Y=Z si semnifica:
daca X=1 SAU Y=1 atunci Z=1;
altfel Z=0
Operatorul logic NU (notat cu o bara
deasupra variabilei careia
i se aplica) se scrie
=Y. Daca X=1
atunci Y=0; altfel Y=1.
Acesti operatori logici se utilizeaza in
schemele logice, sub forma
simbolurilor grafice date in figura 1.1.
Simbolurile din figura 1.1a si
1.1b
se mai numesc porti logice SI respectiv SAU iar
simbolul din figura
1.1c
se numeste inversor. De mentionat ca portile pot avea
si mai mult
de doua intrari.
Pornind de la definitiile de mai sus s-au dedus teoremele algebrei
Boole date in tabelul 1.1.

Fig. 1.1. Principalele porti logice.
Cu ajutorul operatorilor SI, SAU si NU
se obtin functiile logice binare care au
domeniul de definitie si al valorilor multimea . Circuitele pentru care expresia functiei logice depinde numai de
variabilele de
intrare se numesc circuite combinationale
Pentru studiul acestui tip de functii logice se folosesc tabelele de adevar, care cuprind toate combinatiile posibile ale variabilelor componente. De exemplu, in figura 1.2 se da expresia unei functii logice, reprezentarea grafica si tabela de adevar.
Combinatiile de variabile in stare normala sau
negata care dau, in
tabela de adevar, valoarea 1 pentru functia logica se
numesc mintermeni.
Expresia functiei logice, sub forma
canonica disjunctiva, se obtine aplicand operatorul SAU acestor mintermeni. Pentru exemplul din figura 1.2
rezulta expresia functiei logice:
F=X
+
Z+X
Z+
YZ+ZYZ
Teoremele algebrei Boole Tabelul 1.1

Trecerea de la aceasta expresie, la expresia mai
simpla din figura
2 se face prin simplificarea functiei.
In practica proiectarii circuitelor digitale
combinationale se porneste
de la tabela de adevar (dictata de
datele de proiectare), se deduce expresia
functiei logice, se simplifica aceasta expresie si se
organizeaza sub o
forma care permite implementarea cu
circuite integrate.

Fig. 1.2. Exemplu de reprezentare simbolica si cu tabela
de adevar pentru o functie
logica.
Simplificarea functiilor logice. Simplificarea functiilor logice se poate
face fie utilizand teoremele din tabelul 1,
fie utilizand diverse metode
grafice (diagramele Venn, Veitch, Karnaugh) sau metode special destinate (Quine-McClusky).
Pentru necesitati obisnuite (mai putin
de 5 variabile) cea mai adecvata metoda de simplificare este cea a
diagramelor Karnaugh, in care
se face uz de teorema 23 din tabelul 1.1:
XY+
Y=Y.
Tocmai utilizarea acestei teoreme face necesara ordonarea casutelor in diagrame, astfel incat sa nu avem, la trecerea de la un rand la altul sau de la o coloana la alta decat o singura schimbare a uneia dintre variabile. Diagrama se obtine punand in fiecare casuta corespunzatoare 0 sau 1 in functie de continutul tabelei de adevar a functiei de minimizat.
In figura 1.3 se da diagrama Karnaugh a functiei data de expresia (1).
Se observa incercuirea pozitiilor cu valoarea 1. Aceste incercuiri pot cuprinde un numar 2n (2, 4, 8 etc.),de casute adiacente ale diagramei, evidentiind eliminarea uneia sau mai multor variabile. Se constata ca o incercuire de doua casute elimina o variabila, de 4 casute doua variabile, avand ca regula: o incercuire de 2n casute elimina n variabile.

Fig. 1.3. Exemplu de diagrama Karnaugh pentru trei variabile.
Trebuie adaugat
ca in diagrama, casutele aflate la extremele randurilor sau
coloanelor se considera adiacente si pot
participa la o incercuire de eliminare,in figura 1.4 se da un exemplu de
minimizare a unei functii de patru variabile. De
remarcat ca simplificarea nu este unica, in practica alegand
expresia cea mai convenabila pentru
implementare.
In anume situatii practice nu intereseaza
valoarea functiei decat pentru o parte din
combinatiile variabilelor de intrare, unele combinatii neavand sens. in aceste cazuri valorile care se introduc in
diagrama sunt
indiferente (termeni redondanti), si
se noteaza cu X. Acesti termeni pot
fi considerati 1 si inclusi in incercuirile de eliminare, pentru a
mari suprafata incercuirii cat mai mult
si deci a elimina cat mai multe variabile.
In cazul lucrului ulterior cu diagrama Karnaugh se va putea urmari
aceasta facilitate.

Fig. 1.4. Exemplu de diagrama Karnaugh pentru patru variabile.
Pentru functii cu mai mult de cinci variabile
utilizarea diagramei
Karnaugh devine dificila si se
prefera metode de simplificare ce pot face
uz de calculator. O astfel de metoda este
metoda Quine-McClusky .
ELEMENTELE DE BAZA ALE CIRCUITELOR LOGICE
Realizarea practica a functiilor logice se
poate face in diverse tehnici: cu comutatoare
(relee), cu circuite pneumatice sau circuite electronice. Ultima posibilitate este cea de care ne vom ocupa avand in vedere
ca in radiocomunicatii constituie
singura modalitate uzitata.
PORTI LOGICE
Operatorii logici, ca si unele functii logice simple
capata dupa cum
am vazut (in figura 1.1) forme grafice
specifice si sunt tratate ca entitati
distincte in circuitele digitale. Aceste
entitati poarta numele de porti
logice
Pentru realizarea portilor logice se folosesc
circuite care lucreaza
atat la intrare cat si la iesire cu
doua nivele de tensiune. Alocarea acestor
nivele de tensiune starilor logice 0 sau 1, determina tipul de logica utilizata.
Astfel, daca nivelul superior (S) de tensiune se considera starea logica 1 se lucreaza in logica pozitiva, iar daca nivelul inferior (I) de tensiune se considera starea logica 1 se lucreaza in logica negativa. De exemplu, in fig. 1.5 se arata realizarea cu acelasi circuit a doua functii logice diferite in functie de tipul de logica adoptat.
Desi in general se lucreaza in logica
pozitiva producatorii de circuite
digitale specifica functionarea
acestora cu nivelele de tensiune (S si I) ramanand la latitudinea
utilizatorului sa aleaga tipul de logica folosit. In cele ce
urmeaza vom considera numai lucrul in logica pozitiva si se vor
utiliza numai simbolurile 0 si 1.
Pe langa portile logice din figura 1.1 mai se
utilizeaza si portile
logice ale caror simboluri grafice
si tabele de adevar se dau in figura 6.

Fig. 1.5. Poarta logica cu diode si tabelele de adevar in logica pozitiva
si negativa.
Fig. 1.6. Portile SI-NU, SAU-NU si SAU EXCLUSIV.
Reprezentare simbolica si tabele de adevar.
Cu ajutorul teoremelor 17 sau 18 din tabelul 1.1,
teoremele lui De Morgan, orice functie logica se poate implementa cu
ajutorul functiilor
SAU
- NU si SI - NU la care se adauga
inversoare (executa negarea).
De exemplu functia logica din figura 1.2 se poate transforma astfel:
F=X
+Z=
=![]()
F=X
+Z=
+Z=![]()
+Z=
In figura 1.7a se
da implementarea functiei conforma cu (2) cu
porti logice SI-NU si
inversoare, iar in figura 1.7b cu
forma (3) cu porti logice SAU-NU si
inversoare.

Fig. 1.7. Exemplu de implementare a functiei logice F =
+Z
cu porti SI-NU si cu porti SAU-NU.
Pe langa circuitele combinationale, realizate
cu porti logice, exista
circuitele logice secventiale, ale
caror stari, la un moment oarecare de
timp, depind atat de valoarea variabilelor de la intrare, cat si de starea
logica anterioara a circuitelor
(circuite cu memorie). Circuitele logice secventiale se realizeaza cu ajutorul circuitelor bistabile de
diverse tipuri.
DEFINIREA AXIOMATICA A ALGEBREI BOOLEENE
Axiomele algebrei booleene sunt urmatoarele:
Fie o
multime M compusa din elementele x1; x2,.. . xn
impreuna cu
operatiile . si +, ce vor fi definite ulterior.
Aceasta multime formeaza
o
algebra daca: .
Multimea M contine cel putin doua elemente distincte x1≠x2,
x1
M si x2
M;
Pentru orice x1
M si
x2
M
avem:
![]()
Operatiile . si
+ au urmatoarele proprietati:
3.a) sunt comutative:

3.b) sunt asociative:

3.c) sunt distributive una fata de cealalta:

Ambele operatii admit cate un element neutru cu proprietatea:

unde 0 este elementul
nul al multimii iar 1 este elementul unitate al
multimii.
Daca multimea M nu contine decat
doua elemente, acestea trebuie
sa fie in mod obligatoriu elementul nul (0) si elementul unitate (1),
atunci pentru orice x
M va exista un
element unic notat cu
cu proprietatile:
![]()
proprietate cunoscuta si sub numele de principiul contradictiei;
![]()
proprietate
cunoscuta si sub numele de principiul tertului exclus.
Elementul
este inversul
elementului x.
In
definitia axiomatica a algebrei s-au folosit doua legi de compozitie
notate cu simbolurile +, respectiv . , precum si notatia
pentru
elementul invers. In logica, respectiv
tehnica, pentru aceste legi de compozitie se folosesc
denumiri si notatii specifice, asa cum rezulta din tabelul
2.1.
Tabelul
2.1
Denumirea operatiilor

2.1. Interpretarea operatiilor algebrei booleene
Semnificatia
legilor de compozitie poate fi ilustrata in mai multe
moduri:
Prin diagrama Venn (fig. 2.1)

Fig. 2.1. Ilustrarea semnificatiei legilor de compozitie
prin diagrame Venn.
Cu ajutorul tabelelor de adevar.
Prin
tabelul de adevar se stabileste o corespondenta intre
valorile
de adevar ale variabilelor si valoarea de
adevar a functiei.
Tabelul
2.2
Tabelul
de adevar al operatiilor de baza

Pentru o
mai buna intelegere a sensului acestor operatii, ele vor fi
ilustrate si cu ajutorul unor scheme simple
realizate cu o baterie E, doua
intrerupatoare K1
K2 si un bec B. intrerupatorul Ki se
asociaza cu variabila xi astfel:

Becul B
va indica rezultatul operatiei astfel: daca rezultatul operatiei
este zero becul B ramine stins iar in caz contrar se aprinde. Cu aceste
precizari se poate urmari usor
functionarea circuitelor din fig. 2.2., ce
realizeaza operatiile SI, SAU, NU.

Fig 2.2. Ilustrarea semnificatiei legilor de compozitie
prin circuite simple:
a) circuit SI; b) circuit SAU; c) circuit NU.
In
cazul circuitului inversor din fig. 2.2. c intrerupatorul K este normal
inchis (becul B este aprins). La aplicarea semnalului de comanda x
intrerupatorul K se deschide si becul se stinge.
2.2. Reguli de calcul in algebra booleana
Plecand
de la axiome se deduc o serie de teoreme care vor forma
reguli de calcul in cadrul algebrei. Vom prezenta in
continuare principalele teoreme fara demonstratii:
Principiul dublei negatii:
![]()
Dubla negatie conduce la o afirmatie.
Legile de idempotenta

Legile de absorbtie

Legile elementelor neutre

Formulele lui De Morgan

Cu
ajutorul acestor formule se poate transforma produsul logic in
suma logica si invers (prin trecerea
negatiei de la termeni la argumente
si
invers).
Verificarea
acestor teoreme se poate face foarte usor cu ajutorul
tabelelor de adevar si cu observatia
ca doua functii sunt egale daca iau
aceleasi
valori in toate punctele domeniului de definitie. Pentru exemplificare
sa verificam prima teorema a lui De Morgan. Notam: f1(x1,x2)=
si f2(x1,x2)=
. Vom scrie valorile de adevar ale celor doua
functii in toate punctele
domeniului de definitie, asa cum este indicat
in tabelul 2.3.
Tabelul
2.3
Verificarea
egalitatii a doua functii

Din
tabelul 2.3 se observa ca functiile f1 si
f2 iau aceleasi
valori in
toate punctele domeniului de definitie deci sunt
egale.
2.3. FUNCTII BOOLEENE
2.3.1. Generalitati
O functie
se numeste functie booleana.
Cu alte cuvinte, o functie de n variabile y=f(x1 x2.. . xn) ce se va caracteriza prin faptul ca atat variabilele cat si functia nu pot lua decat doua valori distincte.
Functia va pune in corespondenta fiecarui element al produsului cartezian n dimensional valorile zero sau unu.
Asemenea
functii vor fi utile pentru caracterizarea functionarii unor
circuite construite cu elemente de circuit avand doua
stari, cum ar fi
de exemplu: un intrerupator inchis sau deschis, un
tranzistor blocat sau
in conductie etc. Functionarea unui astfel de element de circuit va
fi
descrisa
de o variabila booleana xi asa cum se indica in
fig. 1.3.

Fig. 2.3. Functionarea unui intrerupator simplu.
Daca consideram acum un ansamblu de intrerupatoare interconectate intre ele intr-un mod oarecare, unele inchise altele deschise, ele se reprezinta ca in Fig .1.4.

Fig. 2.4. Asocierea unei functii booleene cu o retea de intrerupatoare.
Existenta
sau inexistenta unei cai de curent intre bornele terminale
ale ansamblului va depinde de modul de interconectare al
acestora, precum si de starea fiecaruia in parte. Aceasta
dependenta se exprima din
punct de vedere matematic cu o functie booleana
de forma:
![]()
2.3.2. Reprezentarea functiilor booleene
Pentru
reprezentarea functiilor booleene se folosesc in mod frecvent
doua modalitati:
a) tabela de adevar;
b) diagrama Karnaugh.
a) Reprezentarea cu tabela de adevar inseamna practic a marca intr-o tabela corespondenta intre valorile de adevar ale variabilelor de intrare si valoarea de adevar a functiei in fiecare punct al domeniului de definitie.
Tabelul 2.4
Tabelul de adevar al functiei SI
Exemplu: fie functia SI y=x1 ∙x2. Fiind o functie de doua variabile, domeniul de definitie este format din 22=4 puncte, corespunzator tuturor combinatiilor variabilelor de la intrare.
b)
Reprezentarea cu ajutorul diagramelor Karnaugh
consta in a marca punctele domeniului
de definitie intr-o diagrama plana si precizarea
valorilor functiei in fiecare din aceste puncte.
Exemplu. Pentru functia SI definita prin tabelul 2.4 domeniul de definitie il reprezinta varfurile unui patrat de latura unu, asa cum este indicat in fig. 2.5 a.
Diagrama Karnaugh, reprezentand functia SI este desenata in fig. 2.5 c. Diagrama Karnaugh din fig. 2.5 c se mai poate redesena si sub forma prezentata in fig. 2.5 d. In legatura cu aceasta din urma reprezentare, trebuie remarcat faptul ca succesiunea combinatiilor corespunzatoare variabilelor x1 si x2 trebuie scrisa in codul binar reflectat pentru a se pastra vecinatatile din diagrama originala.

Fig. 2.5. Reprezentarea unei functii de doua variabile:
a) domeniul de definitie; b) tabelul de adevar;
c) si d) diagrame Karnaugh.
In cazul unei functii de trei variabile y=f(x1, x2, x3), domeniul de definitie este format din 23=8 puncte si reprezinta varfurile unui cub cu latura unu (fig. 2.6 a). Pentru functii de trei variabile diagramele Karnaugh corespunzatoare pot fi prezentate fie sub forma din fig. 2.6 b, fie asa cum este indicat in fig. 2.6 c.

Fig. 2.6. Reprezentarea domeniului de definitie al unei functii de trei variabile: a) cub cu latura unu; b si c) diagrame Karnaugh.
In fig. 2.6
b coordonatele punctelor domeniului de definitie au fost inscrise
in binar, ceea ce ne va permite sa analizam mai usor
vecinatatile.
Daca
luam in considerare varful cubului caracterizat prin coordonatele 010
constatam, din reprezentarea din fig. 2.6 a, ca acest varf este vecin
cu urmatoarele varfuri: 000, 110 si 011. in
diagrama Karnaugh din fig. 2.6 b constatam ca varful
010 este vecin doar cu varfurile 011 si 000.
Pentru
ca diagrama din fig. 2.6 b sa fie echivalenta cu reprezentarea
din fig. 2.6 a, va trebui sa pastreze aceleasi
vecinatati, lucru ce devine
posibil doar daca ne imaginam ca latura din
stanga a diagramei Karnaugh
din fig. 2.6 b este identica cu cea din dreapta
si cea de sus cu cea
de jos.
In fig.
2.6 c combinatiile corespunzatoare variabilelor x2 x1 s-au scris
in cod binar reflectat, iar coordonatele varfurilor in
zecimal. Cu aceste
precizari cu privire la domeniul de definitie in
fig. 2.7 am dat un exemplu de functie de trei variabile
reprezentata in trei moduri diferite.

Fig. 2.7. Reprezentarea unei functii de trei variabile:
a) pe cubul cu latura unu; b) si c) prin diagrame Karnaugh.
In fig.
2.8 este reprezentata diagrama Karnaugh pentru o functie
de patru variabile, unde prin sageti s-au
marcat vecinatatile punctului
de coordonate 0010.
Fig.
2.8. Diagrama Karnaugh corespunzatoare
unei functii de patru variabile.
2.3.3. Functii booleene elementare
Forma generala a unei functii booleene de n variabile este:
![]()
Domeniul de definitie al acestei functii este
format din m=2n puncte.
Cum in fiecare din aceste puncte functia poate lua numai valorile 0,1, rezulta ca numarul total al
functiilor booleene de n
variabile este N=
.
Se vor
considera in cele ce urmeaza functiile booleene elementare
de una si de doua variabile. Pentru n=1 functia
este de forma y=f(x) si numarul acestora este N=
=4, iar cele patru functii sunt trecute
in tabelul 2.5.
Tabelul
2.5
Functii
booleene de o variabila

Pentru
n=2 rezulta N=
=16 functii de doua variabile, adica de
forma
y=f(x1, x2) reprezentate in tabelul 2.6.
Tabelul
2.6
Functii booleene de doua variabile



Din examinarea tabelului 2.6 observam ca:
f0 si f1 nu sunt functii, ci constante;
f2,f3,f4 si f5 nu sunt functii de doua variabile, ci doar de una singura;
functiile apar in perechi (functia si inversa ei).
Definitia
axiomatica a algebrei booleene prezentata apeleaza
la doua legi de compozitie notate cu . respectiv +. In cazul in care
multimea
M contine doar doua elemente, fiecarui element x i se
asociaza un
unic element
numit inversul
elementului x. Acest lucru inseamna ca
in expresia oricarei functii booleene de n variabile vor aparea numai
aceste trei operatii elementare. Din punct de vedere practic acest
lucru
inseamna ca un sistem fizic al
carui functionare este descrisa de o functie
booleana se va putea realiza prin
interconectare unui numar de trei
tipuri de circuite elementare
si anume: circuitul SI (realizeaza operatia .),
circuitul SAU (realizeaza
operatia +) si circuitul INVERSOR (realizeaza
inversarea). Se demonstreaza /11/,
ca acelasi sistem fizic poate fi realizat practic utilizand un singur tip de circuit
elementar de exemplu circuitul
SI-NU (NAND) sau circuitul
SAU-NU (NOR).
Aceste
posibilitati de sinteza se bazeaza pe scrierea
functiilor booleene .
sub forma disjunctiva respectiv conjunctiva canonica .
Utilizarea
circuitelor NAND sau NOR la realizarea unui sistem sunt
echivalente din punct de vedere teoretic insa din
punct de vedere practic
alegerea este dictata de familia de circuite
integrate cu care se lucreaza. De exemplu in familia de
circuite integrate TTL Circuitul NAND se realizeaza usor motiv
pentru care se prefera sinteza cu astfel de circuite pe cand in familia de
circuite ECL circuitul NOR se realizeaza
mai usor si deci se va prefera sinteza cu acesta.
2.3.4. Forma canonica a functiilor booleene
In
numeroase aplicatii apare necesitatea reprezentarii analitice a func-
tiilor booleene. In acest scop se recurge la asa numitele formule
de dez-
voltare, in algebra booleana se folosesc
doua asemenea forme de dez-
voltare.
forma disjunctiva canonica (FDC), care presupune utilizarea unor
functii elementare numite
constituenti ai unitatii;
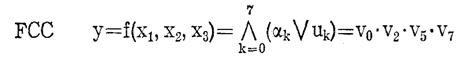
forma conjunctiva canonica (FCC), care presupune utilizarea unor
functii elementare numite
constituenti ai lui zero.
Pentru o tratare sistematica a problemei, se introduc urmatoarele notatii :

Definitia 1. Se numeste constituent al unitatii functia elementara uk, caracterizata prin aceea ca ia valoarea unu intr-un singur punct al domeniului de definitie. in cazul unei functii de n variabile, constituentul unitatii va fi produsul logic (conjunctia) tuturor variabilelor negate sau nenegate, dupa urmatoarea regula:

Pentru
ca acest produs sa fie unu intr-un anume punct al domeniului de
definitie, este necesar ca toti termenii produsului sa fie egali
cu unu. Pentru ca un termen de forma
sa fie unu este
necesar ca ij=xj.
De aici rezulta urmatoarea regula de scriere
a functiei elementare uk:
in conjunctia variabilelor, variabilele care iau in
respectivul punct al
domeniului
de definitie valoarea zero se vor lua negate iar celelalte nenegate.
Definitia
2. Se numeste constituent
al lui zero functia
elementara
v1 care ia valoarea zero intr-un singur punct
al domeniului de definitie,
in cazul unei functii de n variabile, expresia constituentului se va scrie
ca disjunctia tuturor variabilelor negate sau
nenegate.

Conditia
de constituent al lui zero impuNE
=0 pentru orice j ceea ce implica iJ=
. Rezulta ca in scrierea constituentului lui zero v1,
intr-un anume punct al domeniului de definitie, se vor lua negate
variabilele care iau valoarea unu in acel
punct si nenegate cele care iau valoarea zero.
Constituentii
unitatii uk se mai numesc si termeni minimali (minterm)
ai functiei, iar constituentii v1 ai lui zero se mai
numesc si termeni
maximali
(maxterm) ai functiei.
De
exemplu in tabelul 2.7 s-au indicat constituentii unitatii
si ai lui
zero in
fiecare punct al domeniului de definitie pentru o functie de trei
variabile.
Tabelul 2.7
Tabel cu constituentii lui zero si ai lui unu
pentru o functie de trei variabile

In coloana a doua a tabelului 2.7 am notat prin αi valorile nespecificate ale functiei booleene de trei variabile. In ultima coloana prin specificarea acestor valori am dat un exemplu de functie.
Formele
canonice ale unei functii booleene de trei variabile sunt
urmatoarele :
(2.1)
(2.2)
In
cazul general al unei functii de n variabile, forma disjunctiva
canonica reprezinta disjunctia tuturor
constituentilor unitatii pe care
ii are functia:
Forma conjunctiva canonica a unei functii de n variabile va reprezenta conjunctia tuturor constituentilor lui zero pe care ii are functia:
Daca
se revine la exemplul functiei de trei variabile prezentat in
ultima coloana a tabelului 2.7 vor rezulta
urmatoarele forme canonice:
sau
Se
observa ca din expresia generala data de relatia 2.1
dispar termenii pentru care
=0 (deoarece 0∙ui=0 si 0 V uk=uk)
sau
In cazul
FCC din expresia generala
data de relatia 2.2 dispar termenii pentru care
=l (deoarece 1Vvk=l
si l∙v1=v1).
2.3.5. Forma minima a functiilor booleene
Avand in
vedere faptul ca algebra booleana se va folosi la analiza
si sinteza circuitelor de comutatie, nu este
greu de anticipat ca intre
gradul de complexitate al circuitului si cel al
functiei pe care il descrie
exista o legatura directa. Acesta este
motivul pentru care in etapa de
sinteza a circuitelor de comutatie, dupa definirea acestora,
urmeaza in
mod obligatoriu etapa de minimizare a
functiei, avand drept scop obtinerea unei forme echivalente mai simple (forma minima). Realizarea practica a circuitului urmeaza a se face
pe baza acestei forme simple
Avand in vedere importanta practica a
minimizarii, in literatura de specialitate se gasesc
descrise numeroase metode /11/, /13/. Dintre acestea
se vor prezenta pe scurt numai doua, si anume:
metoda analitica; ,
metoda diagramelor Karnaugh.
Metoda analitica
Aceasta
metoda de obtinere a formei minime se bazeaza pe folosirea
teoremelor algebrei booleene. Principiul metodei se va
ilustra pe exemplul anterior al functiei de trei variabile. Se va pleca de
la forma disjunctiva canonica (2.5) a functiei:
Avand in vedere proprietatea de distributivitate care se aplica termenilor u1 si u3 respectiv u4 si u6 rezulta:
Tinand
seama si de proprietatea tertului exclus (xVx=l) si de
faptul ca 1 este elementul unitate (x∙l=x),
rezulta forma disjunctiva
minima a functiei:
FDM
Procedand similar se poate gasi si forma conjunctiva minima a functiei.
Metoda diagramelor Karnaugh
Aceasta
metoda nu reprezinta altceva decat transpunerea operatiilor
facute la metoda analitica pe reprezentarea
functiei prin diagrame
Karnaugh, rezultand astfel in final o metoda
expeditiva de minimizare.
O
diagrama Karnaugh poate fi privita, daca se ia in
consideratie
produsul logic al coordonatelor, ca o reprezentare a
functiei booleene
prin termeni minimali (constituenti ai
unitatii). Vom ilustra aceasta in
cazul unei functii de trei variabile cu tabelul 2.8.
Tabelul
2.8
Termenii
minimali pentru o functie de trei variabile

Fiecare
celula din diagrama Karnaugh reprezentata in tabelul 2.8
contine un termen minimal. Doua celule vecine
contin termeni minimali, care difera prin valoarea
unei singure variabile. Daca termenilor minimali
din doua celule vecine li se aplica proprietatea de distributivitate
si cea a tertului exclus, se elimina
variabila care isi schimba valoarea.
Pe diagrama Karnaugh acest lucru revine la a scrie
coordonatele comune
ale ansamblului celor doua celule vecine. Acest
proces poate fi urmarit
pe exemplul prezentat in 2.3.5.1, ilustrat in tabelul
2.9.
Tabelul
2.9
Exemple de minimizare

De
exemplu: gruparea celulelor vecine care contin
constituentii u1 si
u3 ne conduce la expresia
x3, iar gruparea celulelor vecine care contin
constituentii u4 si u6 conduce la expresia x1∙
. Forma disjunctiva minima
a functiei rezulta prin scrierea
disjunctiei grupurilor de coordonate
comune ale gruparilor formate astfel:
Metoda poate fi generalizata astfel:
1.
Daca grupul initial de doua celule vecine este vecin la randul
sau
cu un alt grup de doua celule vecine, acestea se pot contopi intr-un singur
grup de 4 celule vecine, ceea ce va permite eliminarea a doua variabile.

Fig. 2.9. Exemple de minimizari pentru functie de
trei si
patru variabile (forma disjunctiva
minima).
Un grup de 2m celule vecine ocupate de unitati permite eliminarea a m variabile.
Fiecare
celula ocupata de unitati trebuie sa faca parte
cel putin
dintr-o grupare, dar poate fi
inclusa in mai multe.
Cel
mai avansat grad de simplificare se obtine daca unitatile
dintr-o diagrama Karnaugh sunt
grupate intr-un numar minim de grupuri
fiecare grup la randul sau continand un numar maxim de
unitati.
Observatie.
Pentru a putea aplica in mod succesiv proprietatea de
distributivitate si teorema tertului exclus
numarul unitatilor din gruparile formate
trebuie sa fie o putere intreaga a lui 2.
In fig.
2.9 sunt date cateva exemple de minimizari ale unor functii
booleene de trei si patru variabile.
Reguli
similare pot fi deduse si pentru obtinerea formei conjunctive
minime. in
acest caz, in diagrama Karnaugh se vor grupa zerourile.
Se va
scrie disjunctia coordonatelor grupului de zerouri vecine, iar
forma minima va fi conjunctia acestor grupuri
de coordonate.
La
scrierea coordonatelor grupurile de zerouri se va avea in vedere
faptul ca acestea reprezinta termeni maximali.
In fig.
2.10 se dau doua exemple de minimizare pentru obtinerea
formei conjunctive minime.

Fig. 2.10.
Exemple de minimizari pentru
functii de patru
variabile (forma conjunctiva minima).
Fig. 2.11. Exemplu de minimizare pentru obtinerea
formei disjunctive minime a functiei negate.
In
matricea Karnaugh se pot grupa zerourile ca si cand ar fi
unitati,
obtinandu-se FDM
a functiei negate
(valabil si
invers). Un astfel de
exemplu este dat in fig. 2.11.
2.3.5.3. Minimizarea functiilor incomplet definite
Se spune
despre o functie ca este incomplet definita daca in anumite
puncte ale domeniului poate lua valoarea unu sau zero.
Aceste puncte
in diagrama Karnaugh vor fi notate cu simbolul x. Atunci cand
vom
minimiza functia vom lua in considerare valoarea unu
sau zero a functiei
booleene din aceste puncte astfel ca aceasta alegere
sa ne conduca la o
forma minima mai simpla.

Fig. 2.12. Exemple de minimizari pe functii incomplet definite:
a) atribuire optima a valorilor functiei; 6) atribuire neoptimala
a valorilor functiei.
De
exemplu, atribuirea facuta in fig.2.12 a ne conduce la forma
minima cea mai simpla a functiei, pe cand cea facuta
in fig. 2.12 b ne va conduce la o expresie mai
complicata a formei minime
corespunzatoare functiei booleene respective.
/21/, /11/.
3.CIRCUITE LOGICE ECL
3.1. REPREZENTAREA FIZICA A VARIABILELOR BOOLEENE
Pentru
realizarea cu circuite electronice a functiilor booleene este
necesara
atribuirea valorilor unei marimi fizice electrice (tensiune sau
curent) multimii de doua elemente
*, care reprezinta valorile variabilelor
booleene. Cele doua valori 0 si 1 sunt puse in
corespondenta cu
doua domenii disjuncte ale marimii fizice alese
(v. fig. 3.1).
Fig. 3.1. Reprezentarea variabilelor booleene prin tensiuni.
Stabilirea
unor valori precise pentru cele doua nivele logice nu este
convenabila intrucat circuitul care trebuie sa
realizeze acest lucru devine
mai complicat. Este absolut necesara
conditia disjunctiei celor doua
domenii de valori (S1∩S2=)
intrucat elementele comune ar crea confuzii de interpretare in
domeniul valorilor functiilor booleene.
Reprezentarea
valorilor functiilor booleene prin nivele de tensiune
este mai raspandita si in cele ce
urmeaza ne vom referi la aceasta reprezentare.
Nivelele
de tensiune din cele doua domenii de valori Sx si S2
respecta relatia:
pentru
orice v1
S1 si v2
S2, avem v1>v2.
Datorita acestui fapt tensiunile din intervalul S1 se mai numesc nivele H (High) iar cele din intervalul S2 se numesc nivele L (Low). Deoarece intre multimea valorilor functiilor booleene si multimea domeniilor de tensiune se pot stabili corespondentele din fig. 3.2 si 3.3 este necesara stabilirea unei conventii de asociere pentru a defini functia logica realizata de un anumit circuit.
Situatia
in care valorile maxime de tensiune corespund la 1 logic iar
cele minime la 0 logic defineste ceea ce se
numeste logica pozitiva (fig.3.2 a), iar
situatia in care valorile maxime de tensiune corespund la 0 logic iar cele minime la 1 logic defineste logica
negativa (fig. 3.2 b).
Fig. 3.2. Nivele logice si tensiuni:
a) logica pozitiva); b) logica negativa.
In
practica se intalnesc ambele tipuri de corespondente. Trebuie
observat ca schimbarea conventiei este echivalenta
cu o negatie a variabilei booleene.
Stabilirea
nivelelor de tensiune corespunzatoare domeniilor S1 si
S2
depinde de modul de realizare al circuitului, de felul transistoarelor
folosite, de tehnologia utilizata in cazul circuitelor
integrate, de tensiunile
de alimentare intrebuintate.
Evolutia
circuitelor logice a dus in timp la dezvoltarea unor familii
de circuite in care se incearca realizarea unui
compromis optim intre
diversele performante si cost.
3.2. PARAMETRII CIRCUITELOR LOGICE
Parametrii
circuitelor logice se pot impartii in doua categorii: carac-
teristici electrice statice si caracteristici
electrice dinamice.
Caracteristicile electrice statice descriu comportarea circuitelor logice in curent continuu sau la variatii lente in timp ale tensiunilor si curentilor prin circuit.
Caracteristicile electrice dinamice descriu comportarea circuitelor logice la tranzitii rapide ale semnalelor.
Vom
prezenta in continuare principalii parametrii statici si dinamici
ai circuitelor logice fara a particulariza
pentru circuitele logice ECL.
Particularizarea pentru circuitele ECL este data in paragraful 3.7.
Caracteristici electrice statice
Nivelele logice de intrare reprezinta
intervalele de tensiune pen-
tru care se atribuie nivel logic 0 si nivel logic 1
la intrarea unui circuit.
Nivelele logice de iesire
reprezinta intervalele de tensiuni pentru
care se atribuie nivel logic 0 si nivel logic 1 la
iesirea unui circuit.
Nivelele
logice de intrare si iesire sunt in general diferite dar pen-
tru a exista intotdeauna posibilitatea de cuplare a unei iesiri de
circuit
cu o intrare trebuie ca
urmatoarele relatii de incluziune sa fie adevarate:
domeniul de tensiuni de intrare VIH
domeniul de tensiuni de iesire VOH
domeniul de tensiuni de intrare VIL
domeniul de tensiuni de iesire VOL.
Aceste relatii sunt reprezentate si in fig. 3.3.
. Curentii de intrare reprezinta
curentii care se pot inchide prin intrarea circuitului logic
(intra sau ies din circuit) pentru nivelele logice
de intrare VIL si V1H. Curentii corespunzatori nivelelor V1L si
V1H, notati I1L si I1H sunt
in general diferiti, putand avea si sensuri diferite,
depinzand de structura circuitului logic.

Fig.
3.3. Nivele de tensiuni pentru intrare si iesire asociate
variabilelor booleene.
. Curentii de iesire reprezinta curentii care se pot inchide
prin
iesirea circuitului logic
(intra sau ies din circuit) pentru nivelele logice
de iesire VOL si VOH.
Un
exemplu este dat in fig. 3.4, unde s-a reprezentat curentul de
intrare IIH si curentul de iesire IOH
Fig. 3.4. Curentii de intrare si iesire.
. Capacitatea de intrare
este un parametru care caracterizeaza in-
trarile in circuite logice cu transistoare MOS
si reprezinta capacitatea
masurata intre intrarea circuitului si
borna comuna (masa).
Caracteristici electrice dinamice
Timpul de propagare reprezinta
intervalul de timp scurs intre
aplicarea semnalului la intrare si obtinerea raspunsului la
iesirea circui-
tului logic. Timpul de propagare pentru tranzitiile
de la nivel L la nivel
H difera in general de cel pentru tranzitiile
de la nivel H la nivel L.
in fig. 3.5 sunt reprezentati timpii tpHL si
tpLH pentru un inversor logic.
Timpul de tranzitie al
semnalului de la iesire pentru tranzitii de
la nivel logic L la nivel H si invers. In fig. 3.5 sunt
reprezentati timpii
de tranzitie pentru tranzitii H-L (tTLH) si pentru tranzitii L-H (tTLH).
Timpul de pregatire (setup
time) reprezinta intervalul de timp
cu care trebuie sa preceada semnalul de pe o
intrare a unui circuit logic, semnalul prezent pe o alta intrare, considerata ca referinta de timp,
astfel ca functionarea circuitului sa fie
corecta.
Timpul de
mentinere (hold time) reprezinta intervalul de timp
cat trebuie mentinut neschimbat
semnalul pe o intrare a unui circuit logic
in comparatie cu o alta intrare considerata ca
referinta de timp, astfel incat
functionarea circuitului sa fie corecta.

Fig. 3.5. Timpii de propagare si tranzitie.
In fig.
3.6 este dat un exemplu pentru un circuit basculant bistabil
de tip D declansat pe front, timpii de
pregatire tos si mentinere tDH referindu-se
la intrarea de date a bistabilului in comparatie cu intrarea
de ceas.
Fig. 3.6. Timpii de pregatire si mentinere.
Timpii de
comutare din regim de mare
impedanta in regim activ
la iesire si din regim
activ in regim de mare impedanta, pentru circuitele
logice cu iesiri trei stari (vezi 3.6.2).
In fig.
3.7 sunt reprezentati timpii de comutare din regim de mare
impedanta in nivele logice L(tpZL) si
H(tpZH) la iesire si timpii de comutare
din nivele logice L(tpLZ) si H(tpHZ) in regim de
mare impedanta la iesire.
Fig. 3.7. Timpii de comutare in sta rea de mare impedanta.
In general acesti timpi difera intre ei.
Toti
acesti parametrii se determina in anumite conditii de
masura,
specificate in cataloage odata cu valorile lor.
Cunoasterea acestor
marimi este necesara, intru-cat pe baza lor se
poate stabili daca un circuit satisface conditiile
impuse de o anumita aplicatie.
3.3. FAMILIA DE CIRCUITE LOGICE ECL STANDARD
Pentru
intelegerea modului de functionare a circuitelor logice este
necesara o buna cunoastere atat a regimurilor de
functionare ale dispozitivelor semiconductoare (diode, transistoare
bipolare, si transistoare MOS)
cat si a polarizarilor necesare a fi aplicate
acestora pentru a obtine
functiunile dorite.
Familia
de circuite logice ECL standard impreuna cu variantele
H (High speed)), S (Shottky), L (Low Power - mica
putere) si LS (Low
Power Shottky) reprezinta o categorie foarte raspandita de
circuite logice
integrate pe scara mica si medie.
Performantele acestor circuite realizeaza un compromis
intre viteza de lucru si puterea consumata dupa
cum se vede in tabelul 3.1.
Tabelul
3.1
Comparatie
intre circuitele ECL
3.3.1. Poarta elementara Sl-NU
Schema unei porti logice SI-NU este data in fig. 3.8.

Fig. 3.3. Schema unei porti ECL Sl-NU.
Pentru a explica functionarea circuitului sa analizam pentru inceput gamele de variatie ale tensiunilor vBl, vB2 si vB3 (notatia folosita inseamna tensiunea intre punctul respectiv si referinta).
Datorita
alimentarii cu tensiune pozitiva (V+>0), toate
tensiunile
din circuit sunt pozitive fata de masa.
Tensiunea vBS fiind de fapt tensiunea pe
jonctiunea BE a tranzistorului T3 va putea avea valori cuprinse
intre 0 si tensiunea de conductie a unei diode, respectiv vB3
[0, VBE]
unde VBE
0,6 V0,7 V. Pentru tensiunea vB2 putem
scrie:
Ca urmare gama de variatie pentru vB2 va fi:

Baza
tranzistorului T1 este legata prin rezistenta R1
la V+ cel mai
pozitiv potential din circuit. Tranzistorul fiind de
tipul npn rezulta posibilitatea ca jonctiunile BE si BC sa fie polarizate direct. Din circuit putem
scrie:
Considerand jonctiunea BC polarizata direct rezulta valoarea maxima a tensiunii Vb1
Starea jonctiunilor BE ale tranzistorului T1 depinde de tensiunile aplicate pe intrarile circuitului. Vom presupune ca v1A si v1B au valori cuprinse in domeniul [0, V+]. Pentru polarizarea directa a unei jonctiuni BE (de ex. jonctiunea BEA) trebuie ca:
Rezulta deci:
![]()
respectiv
Deci
pentru tensiuni
jonctiunea
BEA este blocata iar pentru vlA<l,65V
jonctiunea BEA intra in conductie. Similar
putem scrie si pentru jonctiunea BEB.
Daca ambele jonctiuni BEA si BEB
sunt blocate atunci tensiunea vBl va avea
valoarea maxima jonctiunile
BC1 BE2,
si BE3 formand un lant de diode polarizate direct prin
rezistenta
R1 de la sursa de alimentare V+.
Tranzistorul T1 lucreaza in acest caz
in regiunea activa inversa (RAI).
Daca
una din jonctiunile BEA sau BEB este deschisa
atunci tranzistorul este saturat avand vCE1
Vcesat
si
potentialul bazei tranzistorului
T2 urmareste variatiile
tensiunii de intrare. De exemplu, daca jonctiunea
BEA este deschisa:
In
rezumat putem corela valorile tensiunilor de intrare cu regimul
de functionare al tranzistorului Tt
si tensiunea vBl ca in
tabelul 3.2.
Tabelul
3.2
Regimul
de conductie al tranzistorului T1

Pentru
a analiza in continuare functionarea, sa consideram partea
de
circuit formata de transistoarele T2, T3 si T4.
In functie de valorile
tensiunii Vb2
se pot distinge urmatoarele situatii:


Fig. 3.9. Circuite echivalente pentru analiza portii ECL.
In
acest caz T2 este blocat, curentii de colector si emitor sunt
zero.
Ca urmare T3 este blocat, neavand polarizare
in baza.
Din schema simplificata corespunzatoare, din fig. 3.9..a rezulta:
unde
este tensiunea pe o dioda in conductie si

Daca se neglijeaza termenul

rezulta:
Tensiunea
de iesire este deci practic constanta pentru orice
valoare
vB2 din intervalul
considerat.
![]()
In
aceasta situatie T, este deschis, functionand in regiunea
activa
normala
(RAN), in timp ce T3 ramine in continuare blocat. T4
va fi in
conductie (RAN). Schema
simplificata corespunzatoare acestei situatii
este data in fig. 3.9. b. Se pot scrie relatiile:

Expresia tensiunii de iesire este:
![]()
relatie in care s-a neglijat ca si in cazul precedent termenul R3 iB4.
Rezulta deci dependenta:
Tensiunea de iesire scade liniar odata cu cresterea tensiunii vB2.

In
aceasta situatie jonctiunea BE a tranzistorului T3 se
deschide si
cele doua tensiuni VBe2 si Vbe3 se limiteaza la valoarea de
0,6 V. Tensiunea vB2 practic nu mai poate creste
peste aceasta valoare. Rezistenta R2,
din emitorul lui T2, nu mai are efectul de limitare a curentului lui
T2, conductia curentului fiind preluata de jonctiunea
BE2. Curentii de colector ai lui T2 si T3
variaza exponential cu tensiunile baza - emitor respective ceea ce face ca pentru un interval
foarte mic de variatie a lui vB2
(zeci de mV), curentii de colector ai lui T2 si T3
sa creasca brusc aducand in
saturatie cele doua transistoare. Tensiunea de iesire va
fi in acest caz tensiunea de saturatie a lui T3

Observatie:
In situatia
in care T3 conduce la saturatie este necesar ca
tranzistorul T4 sa fie blocat. In
caz contrar un curent de valoare mare
se poate inchide de la sursa de alimentare prin calea de
curent formata
de T3 si T4. Blocarea lui T4
este realizata de partea de circuit reprezentata
in fig. 3.9. c. Pentru ochiul de circuit format
se poate scrie relatia:
![]()
(jonctiunea BC3 polarizata direct - T3 saturat;
(dioda deschisa);
Dar avem:
![]()
Rezulta
deci ca vBE4
VCEsat, tensiune insuficienta pentru a
deschide
tranzistorul T4. Din aceasta relatie
se observa si motivul pentru care a
fost introdusa dioda - blocarea lui T4.
In timpul procesului de comutare, cand tranzistorul T2 nu este saturat si VCE2>VCEsat este posibila conductia simultana a transistoarelor T3 si T4. Tranzitiile fiind rapide, pulsuri de curent de scurta durata (zeci ns) se vor inchide de la sursa de alimentare prin calea de curent formata de T3 si T4.
Din
cele expuse se poate deduce caracteristica de transfer a unei
porti ECL reprezentata de
dependenta vo(vIA) | Vib =
Vjh sau v0(vIB) |vIA=viH
Aceasta
dependenta, cat si regimurile de lucru ale transistoarelor sunt
date in tabelul 3.3. in fig, 3.10 este
reprezentata caracteristica de transfer. Zonele hasurate (ale caror limite sunt precizate in axele
de coordonate) reprezinta
portiuni interzise pentru caracteristica de transfer a unui circuit cu o functionare corecta.
Functia logica
realizata de circuit este F=
.
Tabelul 3.3


Fig. 3.10. Caracteristica de transfer a portii ECL..
3.3.2. Poarta SAU-NU
Schema portii este
data in fig. 3.11. Functionarea circuitului este
asemanatoare cu aceea a portii
SI-NU.

Fig. 3.11. Schema unei porti ECL SAU-NU.
Grupurile
de transistoare T1T2 si ![]()
constituie doua
etaje de intrare conectate in paralel pe rezistentele
R2 si R3. Daca unul din transistoarele T2
sau
este saturat
atunci nivelul logic de iesire va fi 0. Rezulta ca
pentru a avea nivel logic 1 la iesire trebuie ca ambele transistoare
T2 si T'2 sa fie blocate, ceea ce inseamna
ca via=ViB=ViL.
Functia
logica realizata va fi deci: F=
.
3.4. PARAMETRII CIRCUITELOR LOGICE ECL STANDARD
Printre
principalii parametri ai portilor ECL se pot cita: nivelele
logice ECL,
curentii de intrare si iesire, posibilitati de
intercuplare intre
diferite porti, timpii de propagare a
semnalelor logice .
Fig. 3.16. Nivele logice ECL.
. Nivele logice
Nivelele
logice corespunzatoare circuitelor ECL sunt precizate in
fig. 3.16. Limitele domeniilor de tensiune
corespunzatoare iesirilor din
circuit
(VOH si VOL) si intrarilor
din circuit (VIH si Vil)
sunt astfel alese incat sa fie
posibila intotdeauna cuplarea a doua circuite cu o rezerva de
tensiune numita margine de
zgomot.
Marginile de zgomot la nivel H si L sunt egale in acest caz si VNH=Vnl=0,4 V. Aceasta inseamna ca la un nivel logic de iesire L care are valoarea maxima de +0,4 V, chiar daca se suprapune un impuls parazit de inca + 0,4 V, intrarea va fi considerata tot nivel logic L de circuitul urmator pentru care VILmax=0,8 V.
Curenti de intrare
Curentul
de intrare in poarta depinde de nivelul logic aplicat la in-
trare, in fig. 3.17 a, b sunt prezentati curentii de intrare
cu sensurile si
valorile lor pentru o intrare definita ca fiind unitate (standard). Se de-
fineste ca fiind "fan in'-ul unei intrari numarul N(N^1)
de intrari
standard cu care este echivalenta intrarea
respectiva. Exista intrari in
circuite
logice (ex. intrarile R, S la bistabile J-K) unde fan in-ul este 2,
echivalent cu conectarea a doua
intrari standard (fig. 3.17 c).

Fig. 3.17. Masurarea curentilor de intrare:
a) nivel logic L; b) nivel logic H; c) calcul fan out.
Dupa
cum se vede curentul de intrare are sensuri diferite pentru
nivel logic L si H. Acesti curenti sunt
asigurati de orice iesire capabila
sa comande o intrare ECL.
Curenti de iesire
La
poarta ECL standard orice iesire trebuie sa poata comanda pana
la 10 intrari ECL. Numarul de intrari ECL
standard ce poate fi comandat de o iesire se
numeste 'fan out'. Deci, pentru o poarta
standard fan
out-ul este 10. in fig. 3.18 sunt prezentate nivelele de
tensiune si con-
ditiile in care sunt masurate pentru cele doua valori logice L
si H.

Fig. 3.18. Masurarea curentilor de iesire:
a) nivel logic L; b) nivel logic H; c) calcul fan out.
In fig.
3.18 a se precizeaza nivelul maxim al tensiunii de iesire in
starea logica L la iesire pentru un curent de iesire
corespunzator unui
fan out de 10, iar in fig. 3.18 b se
precizeaza nivelul minim al tensiunii
de iesire in starea logica H pentru un curent
de iesire corespunzator unui
fan out de 10. in fig. 3.18 c se poate observa modul de calcul al cuplarii
intre o iesire si mai multe intrari ECL.
Pentru o cuplare corecta trebuie ca:
![]()
Timpul de propagare
Timpii
de propagare reprezinta decalajele de timp ce apar intre in-
trare si iesire masurate la nivelul de
1,5 V (in general la 50% din amplitudinea semnalului). Timpii
de propagare difera in general pentru tranzitii
HL sau LH la iesire. Conditiile de masura pentru
acesti timpi sunt precizate in cataloage atat referitor la
generatorul folosit pentru comanda circuitului cit si la
sarcina ce trebuie conectata la iesire.
Cunoasterea
timpilor de propagare este necesara la determinarea
intirzierii totale ce apare la propagarea unui semnal
printr-un lant de
circuite logice. Timpul total se obtine prin
cumularea timpilor de propagare individuali ai
fiecarui circuit din lantul respectiv.
CARACTERISTICI DE TIMP
Aceste
caracteristici se refera la capacitatea circuitelor digitale de a
raspunde unor schimbari ale intrarilor sau
ale impulsului de tact.
In
cazul portilor se poate vorbi numai despre asa-numitul timp de
propagare intre schimbarea unei intrari si
aparitia schimbarii corespunzatoare la iesire. Acesti
timpi pot fi diferiti la trecerea iesirii din starea "Jos'
in starea "Sus' si invers. Dupa cum se vede in figura 3.19.

Fig. 3.19. Reprezentarea timpilor de propagare pentru porti logice.
Pentru bistabili se definesc mai multe marimi temporale caracteristice:
- timpii de propagare (tp) (intre frontul activ al tactului si iesiri)
timpii de stabilire (ts) (intre momentul stabilirii intrarilor si frontul activ al tactului)
timpii de retinere (tr) (intre frontul activ al tactului si momentul in care se accepta schimbarea intrarilor).
Acesti timpi sunt ilustrati in figura 3.20.

Fig. 25.14. Reprezentarea timpilor de propagare,
de stabilire si retinere pentru bistabili.
Pe langa
acesti timpi se mai definesc frecventa maxima si durata
minima a impulsurilor de tact.
Producatorii
de circuite integrate digitale furnizeaza date despre
toti
acesti timpi in gama temperaturilor de functionare.
FAMILIILE DE CIRCUITE LOGICE INTEGRATE
In
prezent datorita versatilitatii, a fiabilitatii
ridicate si a consumu-
lui redus de putere, circuitele digitale se
utilizeaza practic numai sub
forma circuitelor integrate. in decursul timpului, pe
masura dezvoltarii
tehnologiei
si in functie de necesitatile de viteza si consum
de putere, au
fost elaborate mai multe familii de circuite
digitale integrate. Se pot
enumera familiile RTL
(resistor-transistor-logic), RCTL (resistor-capaci-
tor-transistor-logic), DTL (diode-transistor-logic), TTL (transistor-transis-
tor-logic), ECL (emiter-coupled-logic), pMOS (MOS cu canal p), nMOS
(MOS cu canal n) si CMOS
(complementary MOS).
In
momentul de fata, interes practic pentru circuitele digitale utili-
zate in radiocomunicatii,' prezinta familiile
TTL, ECL si CMOS. Familia
nMOS avand
o utilizare restransa la familiile de microprocesoare si me-
morii, dar iesiri si intrari
compatibile TTL, nu ne vom ocupa de ea se-
parat.
FAMILIA LOGICA TTL
Schema electrica a unei porti SI-NU cu doua intrari este data in fig. 4.1.

Fig. 4.1. Poarta logica SI-NU TTL, schema si simbol.
Daca
una din intrarile X sau Y este pusa la un
potential apropiat
de masa, T1
va conduce curent prin jonctiunea BE determinand blocarea lui
T2, care antreneaza saturarea lui T3 si
blocarea lui T4. Daca ambele
intrari X si Y sunt la un
potential superior lui 2 V, tranzistorul Tl functioneaza
invers, (EC) determinand conductia lui T2 si a lui T4,
T3, fiind
blocat.
O
importanta deficienta a acestei familii o constituie viteza
relativ
redusa, datorita intrarii puternice in
saturatie a tranzistorilor T2, T3 sau
T4. Pentru a evita aceasta, in paralel pe jonctiunea
colector-baza a tuturor tranzistorilor a fost pusa o dioda
Schottky, ca in figura 4.2.

Fig. 4.2.Montarea diodei Schottky in STTL si LSTTL.
Datorita tensiunii de deschidere redusa (0,4 V) si a functionarii cu purtatori majoritari, dioda Schottky preintampina intrarea in saturatie a transistoarelor, fapt ce determina reducerea de aproximativ doua ori a timpilor de propagare.
Utilizarea
diodelor Schottky a facut ca pe langa familia logica TTL,
sa apara familiile derivate STTL si LSTTL.
Familia LSTTL (low-power
Schottky) are un consum similar cu familia TTL la
performante de viteza superioara, iar familia STTL
(Schottky) la un consum superior fata
de familia TTL, are si o viteza mult mai mare.
FAMILIA LOGICA ECL
Pentru a
elimina total efectele negative ale logicii saturate (TTL)
se utilizeaza familia ECL, in figura 4.3, dandu-se
schema unei porti
SAU/SAU-NU. Transistoarele T1 T2 si
T3 formeaza un amplificator diferential.
Cand una
din intrarile X sau Y este la un nivel superior bazei lui
T3 (aflata la un potential fix),
tranzistorul corespunzator T1 sau T2, va
conduce determinand o conductie slaba a lui T5,
iar T3 fiind blocat T4 va
conduce puternic. Astfel, pe iesirea F se
obtine nivelul superior de ten-
siune iar pe iesirea F nivelul inferior.

Fig. 4.3. Poarta logica SAU/SAU-NU ECL, schema si simbol.
Daca
ambele intrari X si Y se afla la un potential
inferior fata de
cel al bazei lui T3, aceasta va conduce iar T1 si T2 vor fi blocate, determinand
conductia slaba a lui T4 si conductia
puternica a lui T5. In aceste
conditii iesirea F va fi la nivelul inferior de
tensiune iar F la nivelul
superior.
FAMILIA LOGICA CMOS.
Aceasta
familie a fost introdusa in scopul reducerii consumului de
putere, pentru aplicatii care nu necesita
viteza mare de lucru. Schema
unei porti SI-NU, de tip CMOS, este data in figura 4.4.

Fig. 4.4. Poarta logica SI-NU CMOS, schema si simbol.
Se
utilizeaza transistoare MOSFET cu imbogatire. Daca una din
intrari, X
sau Y, este la un nivel inferior de tensiune astfel incat se depaseste
tensiunea de prag pentru T1 sau T2 (MOSFET cu canal p)
si nu depaseste tensiunea de prag pentru T3
si T4 (MOSFET cu canal n) iesirea
F va fi la un nivel de tensiune practic VDD, pentru
ca Tt sau T2 va conduce
iar T3 si T4 vor fi blocate. Daca
ambele intrari, X si Y, vor fi lao
tensiune suficient de mare, incat se depaseste tensiunea de prag
pentru T3, si T4 si nu se
depaseste tensiunea de prag pentru Tt si T2,
nivelul de tensiune pe iesirea F va fi practic Vss,
T3 si T4 fiind in conductie iar T1
si T2 blocate.
COMPARATIA FAMILIILOR LOGICE INTEGRATE
Pentru a putea face o comparatie intre familiile logice de mai sus, este necesar sa definim cativa parametrii importanti:
ViLmax - tensiunea de intrare maxima admisa pentru starea "jos'
ViHmax - tensiunea de intrare minima admisa in starea "sus'
VoLmax/IoL - tensiunea de iesire maxim admisa in starea "jos'/la
un curent de iesire dat
VoHmin/IoH
- tensiunea de iesire
minima admisa in starea "sus'/la un
curent de iesire dat
MH - marginea de zgomot superioara
(MH = VoHmax -ViHmax)
ML - marginea de zgomot inferioara
(ML =VoLmax-ViLma.)
"Fan-out' - nr. de intrari standard din aceeasi familie pe care le poate ataca o iesire mentinandu-se in parametri
tp - timpul de propagare a semnalului printr-o poarta
fT - frecventa maxima de tact pentru bistabili
P - puterea disipata de o poarta.
Comparatie intre familiile logice TTL, ECL si CMOS
Tabelul 4.1


Fig. 4.5. Interfatarea intre familiile logice.
Odata
definiti, acesti parametri se poate face o comparatie sintetica
a celor trei familii logice prezentate. Aceasta comparatie se face in
tabelul 4.1. In acest tabel se analizeaza si posibilitatea de
realizare pentru SAU cablat, prin punerea in paralel a mai
multor iesiri. Aceasta posibilitate tipica
pentru familia ECL este foarte utila mai ales cand e necesara
realizarea unor porti SAU cu multe intrari.
Circuitele
logice integrate sunt in prezent un domeniu in plina expansiune,
iar imbunatatirile tehnologice sunt la baza sporirii continue a
performantelor electrice.
In
echipamentele de radiocomunicatii este deseori necesara, utilizarea
mai multor familii logice, care se interconecteaza intre ele fie prin
intermediul unor circuite integrate speciale, fie prin
intermediul unor
circuite simple de tipul celor din figura 4.5.
BIBLIOGRAFIE
1.De la poarta TTL la MICROPROCESOR I.Sztojanov,E.Borcoci,s.a.
2.Manualul Inginerului Electronist vol.III Edmon Nicolau,s.a.
3.Numaratoare Electronice R.M.M.Oberman prof.Universitatea
Tehnica Delf
4.Componente si Circuite Electronice-manual ptr. Cls.a XI-a si a XII-a Theodor Danila, Monica Ionescu-Vaida
|
Politica de confidentialitate | Termeni si conditii de utilizare |
Vizualizari: 10361
Importanta: ![]()
Termeni si conditii de utilizare | Contact
© SCRIGROUP 2026 . All rights reserved