| CATEGORII DOCUMENTE |
| Astronomie | Biofizica | Biologie | Botanica | Carti | Chimie | Copii |
| Educatie civica | Fabule ghicitori | Fizica | Gramatica | Joc | Literatura romana | Logica |
| Matematica | Poezii | Psihologie psihiatrie | Sociologie |
TESTE STATISTICE PENTRU DATE ORDINALE
Testele statistice pentru date ordinale se utilizeaza in urmatoarele situatii:
a) Atunci cand variabila dependenta este exprimata pe scala de tip ordinal. In acest caz valorile nu au proprietati de interval, dar exprima pozitia fiecareia in raport cu cealalta.
b) Atunci cand variabila dependenta este masurata pe scala de interval/raport, dar distributia ei nu respecta conditiile impuse de testele parametrice. In aceasta situatie se efectueaza transformare de rang, adica inlocuieste fiecare valoare a distributiei cu pozitia pe care o are in cadrul distributiei, sub aspectul ordinii de marime. Noua distributie rezultata poate fi supusa analizei statistice cu teste neparametrice ordinale.
Avand in vedere modelele de cercetare la care ne-am raportat pana acum, vom regasi, pentru fiecare dintre ele, teste statistice pentru date ordinale, dupa cum urmeaza:
Testul Mann-Whitney (U) pentru doua esantioane independente1
Sa luam in considerare urmatoarea problema: un psiholog care lucreaza intr-o mare banca doreste sa vada daca exista o diferenta intre premiile banesti anuale primite de femeile si barbatii angajati ai bancii. In tabelele de mai jos se afla nivelurile primelor si rangurile acestora in raport cu intreaga distributie a primelor, indiferent de sex.
Problema este una tipica pentru a fi rezolvata cu testul t al diferentei dintre mediile a doua esantioane independente. Avem o variabila independenta de tip nominal-dihotomic si una dependenta, de tip interval/raport. Din pacate, analiza preliminara a variabilei dependente ("prima") releva abateri mari de la conditiile de normalitate (un indice de boltire, kurtosys, de peste 7) precum si o slaba reprezentativitate a mediei, ambele datorate, mai ales, prezentei unei valori extreme (o prima de 200 mil. lei). Dupa ce verificam corectitudinea valorii respective, ajungem la concluzia ca ea nu poate fi eliminata si, ca urmare, nu este recomandabila utilizarea unui test parametric.
Intr-o situatie de acest gen este aplicabil testul "Mann-Whitney U" pentru date ordinale. Pe ultima coloana a fiecarui tabel gasim transformarea in ranguri a valorilor variabilei dependente. Atribuirea rangurilor in mod descrescator sau crescator este nerelevanta. Daca toate valorile sunt distincte, fiecare valoare primeste un rang distinct. Atunci cand exista valori identice, valorile respective primesc un rang egal cu media aritmetica a rangurilor cuvenite. Se poate alege si solutia atribuirii tuturor valorilor identice primul rang cuvenit (ranguri ex aequo).
Desemnat uneori si sub numele "Wilcoxon-Mann-Withney", sau "testul U"
|
Masculin2 |
"Premiu" (mil. lei) |
Rang "premiu" |
|
|
|
|
|
|
|
|
|
|
|
|
|
|
|
|
|
|
|
|
|
|
|
|
|
|
|
|
|
|
|
|
|
|
|
|
|
|
|
|
|
|
|
|
|
|
|
|
|
|
|
|
|
|
|
|
|
|
|
|
|
|
|
|
|
|
|
|
|
nA=17 |
|
ΣRA=180.5 |
|
Feminin |
"Premiu" (mil. lei) |
Rang "premiu" |
|
|
|
|
|
|
|
|
|
|
|
|
|
|
|
|
|
|
|
|
|
|
|
|
|
|
|
|
|
|
|
|
|
|
|
|
|
|
|
|
|
nB=10 |
|
ΣRb= 198.5 |
astfel:
Procedura de calcul:
Se calculeaza doua valori U, corespunzatoare grupurilor A (masculin) si B (feminin),
|
|
|
respectiv, |

unde:
nA si nB reprezinta volumul celor doua grupuri independente care compun esantionul
ΣRA si ΣRB reprezinta suma rangurilor pentru fiecare din cele doua grupuri
Vom observa ca expresia din mijlocul formulei exprima chiar suma rangurilor de la 1 la nA, respectiv, de la 1 la nB. Daca, de exemplu, toate rangurile grupului A ar fi mai mici decat ale grupului B (fara nici o suprapunere intre valorile celor doua grupuri), atunci acest termen al formulei ar fi egal cu ΣRA, iar UA ar fi egal cu nA*nB. In acest caz UB ar fi egal cu 0, deoarece
Valoarea "1" este un cod numeric conventional asociat genului masculine, iar "2" un cod conventional pentru genul feminine. Utilizarea lor aici are doar scopul de a sugera ca "genul" este variabila independenta a cercetarii si primeste doua valori. Atunci cand se va utiliza un program statistic pentru calcularea testului, variabila independenta va trebui sa fie creata, cu valorile aferente, ca in acest exemplu.
UA+UB=nA*nB. Daca insa rangurile unui grup tind sa se grupeze spre zona superioara (sau inferioara), atunci valoarea U a acelui grup va fi cu atat mai mare (sau mai mica) decat nA*nB. Pe aceasta particularitate se bazeaza evaluarea semnificatiei diferentei dintre rangurile celor doua grupuri.
|
|
|
respectiv, |
Pentru exemplu nostru:
![]()
Valoarea testului Mann-Whitney este data de valoarea U cea mai mica, in cazul nostru UB
Decizia statistica se ia prin compararea valorii U celei mai mici cu valoarea citita in tabelul valorilor critice pentru testul Mann-Whitney U, in functie de nivelul alfa, nA si nB (Anexa 7).
Practic, in cazul testului U decizia statistica se ia astfel:
Se respinge ipoteza de nul daca valoarea U calculata este mai mica sau egala cu valoarea critica tabelara.
Se accepta ipoteza de nul daca valoarea U calculata este mai mare decat valoarea critica tabelara.
Logica acestei decizii pare sa fie contrara rationamentului aplicat in cazul altor teste statistice, unde, pentru a respinge ipoteza de nul, trebuie sa avem o valoare calculata mai mare decat cea critica. Sa ne gandim insa ca in cazul testului Mann-Whitney consideram drept valoare calculata una dintre cele dintre doua valori U, si anume pe aceea care este mai mica. Ipoteza de nul afirma ca cele doua sume ar trebui sa fie egale, daca diferenta dintre suma rangurilor celor doua esantioane comparate ar fi nesemnificativa. Cu cat una dintre valorile U calculate, este mai mica, cu atat cealalta suma este mai mare. In consecinta, o valoare U calculata mai mica sau egala cu U critic, justifica respingerea ipotezei de nul.
In general, tabelele de decizie pentru testul Mann-Whitney nu acopera decat partial situatiile posibile si nu trec de valori ale lui nA si nB mai mari de 20. Pentru exemplul nostru valoarea critica corespunzatoare pentru U0.05;17:10=48 (daca preferam aproximarea, mai conservatoare, nA=18).
Deoarece UB<U0.05;17:10 ipoteza de nul se respinge si se accepta ipoteza cercetarii. Ca urmare, concluzia cercetarii este aceea ca nivelul primelor anuale este semnificativ diferit pentru barbati fata de femei3.
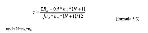
Afirmam mai sus ca tabelele statistice pentru testul Mann-Whitney U nu se refera la grupuri mai mari de 20. Aceasta deoarece, de la acest volum in sus, distributia valorilor testului poate fi aproximata de curba normala z, iar testul poate fi calculat cu formula urmatoare:
Desigur, nu se poate invoca neaparat o discriminare de sex in acordarea primelor daca pozitiile profesionale ocupate de subiectii cercetarii sunt diferite. Rezultatul poate sugera, insa, ca barbatii ocupa pozitii profesionale mai inalte decat femeile.
|
|
Valoarea lui z astfel obtinuta este comparata cu valorile critice tabelare de pe curba normala, corespunzatoare nivelului alfa ales, unilateral sau bilateral.
Publicarea rezultatului
La publicarea rezultatului pentru testul Mann-Whitney U se vor indica:
volumul grupurilor comparate (nA si nB)
valoarea testului (U)
pragul de semnificatie (p).
EXERCITII
Un cercetator doreste sa verifice daca baietii crescuti de catre mame singure manifesta un nivel mai ridicat al trasaturii "feminitate" decat baietii crescuti in familii bi-parentale. Primul grup (A) cuprinde 10 subiecti, al doilea, (B) este format din 8 subiecti.
Evaluarea "feminitatii" s-a facut pe baza unui chestionar specializat, cotat cu un scor numeric. Numarul subiectilor nu permite aplicarea unui test t pentru esantioane independente, motiv pentru care se decide utilizarea testului Mann-Whitney (U).
Datele cercetarii:
(valorile exprima scorul la trasatura 'feminitate')
|
Provenienta |
Scor "feminitate" |
|
A |
|
|
A |
|
|
A |
|
|
A |
|
|
A |
|
|
A |
|
|
A |
|
|
A |
|
|
A |
|
|
A |
|
|
B |
|
|
B |
|
|
B |
|
|
B |
|
|
B |
|
|
B |
|
|
B |
|
|
B |
|
Care este valoarea testului Mann-Whitney (U)? Care este decizia statistica si ce concluzie trage cercetatorul?
Testul Kruskal-Wallis pentru mai mult de doua esantioane independente
Pentru evaluarea diferentei la nivel de ranguri intre mai mult de doua esantioane independente se utilizeaza testul Kruskal-Wallis. Acesta poate fi asimilat unei analize de varianta pentru date ordinale.
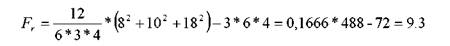
Sa presupunem ca dorim sa vedem daca exista diferente in abilitatea de a rezolva o sarcina de reprezentare spatiala la trei categorii profesionale aeronautice, piloti (grup 1), controlori de trafic aerian (grup 2) si navigatori de bord (grup 3). In acest scop a fost aplicat un test de reprezentare spatiala unui numar de sase piloti, trei controlori de trafic si patru navigatori de bord. Rezultatul este unul numeric (scorul la test), dar, dat fiind numarul foarte mic al subiectilor, aplicarea testului ANOVA este nepotrivita. Ca urmare, alegem solutia conversiei rezultatelor in valori de rang (pentru toate grupurile luate impreuna) si utilizam un test pentru date ordinale. Datele pentru acest exemplu sunt prezentate in tabelul urmator:
|
Grup profesional |
Scor reprez, spatiala |
rang |
|
|
2 |
|
|
|
6 |
|
|
|
7 |
|
|
|
11 |
|
|
|
12 |
|
|
|
3 |
|
|
|
5 |
|
|
|
8 |
|
|
|
10 |
|
|
|
1 |
|
|
|
4 |
|
|
|
9 |
|
|
|
13 |
|
Tabelul prezinta datele cercetarii. Variabila "grup" este una de tip nominal, fiecare din cele trei grupuri fiind codificat cu o valoare conventionala (1=pilot, 2=controlor de trafic, 3=navigator de bord). Variabila "scor reprez.spatiala", este de tip numeric si reprezinta scorul la test. Variabila "rang" contine pozitia a fiecarui subiect sub aspectul reprezentarii spatiale, in raport cu toate valorile inregistrate.
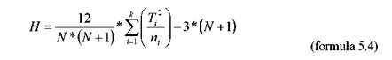
Formula de calcul pentru testul Kruskal-Wallis (notat cu H) este urmatoarea:
|
|
unde:
H este valoarea calculata a testului K-W
N este volumul total al esantionului
n este volumul grupurilor (N=n1+n2+n3++nk)
K este numarul grupurilor independente
T este suma rangurilor care va fi calculata pentru fiecare grup
|
|
|
Inlocuind valorile corespunzatoare exemplului, obtinem: |
Valorile distributiei de nul ale lui H urmeaza forma distributiei chi-patrat care, ne amintim, are originea in valoarea 0. Cu cat sumele rangurilor pentru cele k grupuri sunt mai diferite intre ele, cu atat valoarea testului este mai mare si, potential, mai aproape de o variatie semnificativa. Diferentele mici dintre rangurile grupurilor conduc spre valori ale testului care tind spre 0 si, implicit, nesemnificative. Valoarea critica a testului se citeste din tabelul distributiei chi-patrat pentru df=k-1. Exista totusi o exceptie, atunci cand nici unul din grupurile comparate nu este mai mare de 6, situatie in care decizia se ia cu ajutorul unei tabele speciale. In cazul nostru exista un grup cu mai mult de cinci subiecti. Ca urmare, scorul critic pentru alfa=0.05 si 2 grade de libertate este 5.99. Deoarece H calculat este mai mic decat H critic, suntem nevoiti sa acceptam ipoteza de nul si sa concluzionam ca cele trei categorii de subiecti nu sunt diferite sub aspectul capacitatii de reprezentare spatiala.
EXERCITII
Avand in vedere faptul ca volumul foarte redus al esantionului (N=6), analizati prin intermediul testului Kruskal-Wallis datele temei pe care ati avut-o la testul ANOVA.
Un psiholog trebuie sa recomande unui patiser culoarea glazurii pentru un nou tip de prajitura, avand de ales intre verde, rosu si galben. In acest scop alege 18 subiecti, carora le cere sa efectueze o sarcina plictisitoare avand la indemana platouri cu prajituri glazurate. Subiectii sunt impartiti in trei grupe, fiecare primind prajituri de o singura culoare. Dupa un timp, numara cate prajituri a mancat fiecare subiect din cele trei grupuri si construieste tabelul urmator.
|
Verde |
Rosu |
Galben |
|
|
|
|
|
|
|
|
|
|
|
|
|
|
|
|
|
|
|
|
|
|
|
|
Care este valoarea testului si ce decizie ia cercetatorul?
Testul Wilcoxon pentru doua esantioane perechi
Daca avem subiecti evaluati de doua ori, pe o scala de interval, iar variabilele nu intrunesc conditiile pentru utilizarea testului t al diferentelor pentru esantioane dependente, se poate apela la testul Wilcoxon. Acesta este un test care, desi se aplica pe scale de interval/raport, utilizeaza proceduri de tip neparametric, apeland la diferentele dintre valorile perechi si la ordonarea lor. Este, din acest punct de vedere, un test de date ordinale.
Exemplu
Un psiholog evalueaza frecventa conduitelor agresive dupa prezentarea unui film care are inclusi stimuli subliminali cu semnificatie agresiva. Frecventa conduitelor agresive este masurata inainte si dupa vizionarea filmului. Rezultatele sunt sintetizate in tabelul urmator.
|
Cod Subiect |
"Inainte" |
"Dupa" |
"dupa"-"inainte" |
Modulul diferentei |
Rangul diferentei |
Semnul Diferentei |
|
|
|
|
|
|
|
|
|
|
|
|
|
|
|
|
|
|
|
|
|
|
|
|
|
|
|
|
|
|
|
|
|
|
|
|
|
|
|
|
|
|
|
|
|
|
|
|
|
|
|
|
|
|
|
|
|
|
|
|
|
|
|
|
Coloanele tabelului prezinta etapele procedurii de calcul:
se calculeaza diferenta dintre variabilele supuse testarii
daca sunt diferente nule, se elimina
se iau in considerare diferentele in valoare absoluta
se construiesc rangurile pentru diferentele in valoare absoluta
se marcheaza semnul diferentelor pentru fiecare pereche de valori
Din acest punct calcularea valorilor testului este simpla. Se calculeaza doua valori T, astfel: T(-), prin insumarea rangurilor diferentelor negative, si T(+), prin insumarea rangurilor diferentelor pozitive. Valoarea cea mai mica dintre ele este rezultatul testului Wilcoxon, al carui nivel de semnificatie se afla prin compararea cu valorile critice dintr-o tabela speciala (Anexa 8), in functie de nivelul alfa ales si de volumul esantionului (N). Testul se fundamenteaza pe ideea ca atunci cand ipoteza nula este adevarata, ar trebui ca suma rangurilor pentru diferentele pozitive sa fie egala cu suma rangurilor pentru diferentele negative. Pe masura ce diferenta dintre cele doua sume este mai mare, ne indepartam de conditia ipotezei de nul.
Decizia statistica pentru acest test se ia in felul urmator:
atunci cand valoarea calculata este mai mica sau egala decat valoarea critica tabelara, ipoteza de nul se respinge, iar ipoteza cercetarii se confirma;
atunci cand valoarea calculata este mai mare decat valoarea critica tabelara, ipoteza de nul se accepta, iar ipoteza cercetarii nu se confirma.
Logica acestei decizii este similara celei aplicate in cazul testului Mann-Whitney. Valoarea calculata a testului este valoarea T cea mai mica, fie cea pozitiva, fie cea negativa. Ipoteza de nul afirma ca cele doua sume ar trebui sa fie egale, daca diferenta dintre prima si a doua masurare ar fi nesemnificativa. Cu cat una dintre valorile T calculate, fie cea cu plus, fie cea
cu minus, este mai mica, cu atat cealalta suma este mai mare. In consecinta, un T calculat mai mic sau egal cu T critic justifica respingerea ipotezei de nul.
Pentru exemplul nostru, T(+)=28.5 iar T(-)=8.5. Acesta din urma devine rezultatul testului. Valoarea calculata (8.5) este mai mare decat valoarea critica (4) pentru N=8 si alfa=0.5 bilateral. Ca urmare, suntem nevoiti sa acceptam ipoteza de nul, considerand neconfirmata ipoteza cercetarii. Concluzia cercetarii, pentru exemplul dat, este aceea ca datele studiului nu confirma existenta unei relatii intre prezenta stimulilor subliminali si frecventa conduitelor agresive, dupa vizionarea filmului.
Aproximarea normala a distributiei testului Mann-Whitney
Ca si in cazul testului Mann-Whitney, pentru esantioane mai mari de 20 distributia de nul a testului Wilcoxon poate fi aproximata prin distributia normala. Formula de calcul pentru acest caz este urmatoarea:

Exceptand situatiile in care se opereaza pe esantioane mici, ca in exemplul de mai sus, calculele sunt destul de laborioase. Din fericire, toate programele avansate de statistica ofera proceduri pentru calcularea automata a acestor teste statistice.
Consideratii finale
Atunci cand rezultatul testului este semnificativ, enuntarea concluziei si interpretarea rezultatului vor tine cont de modul de atribuire a rangurilor, cu alte cuvinte, daca rangul 1 a fost atribuit valorii celei mai mari, sau celei mai mici.
O problema apare atunci cand exista diferente egale cu zero intre rangurile perechi (valori de rang egal). Unii statisticieni recomanda eliminarea cazurilor care dau diferente egale cu zero si, implicit, reducerea volumului esantionului cu aceste cazuri. O abordare mai riguroasa este aceea de a pastra valorile zero, dar atribuind arbitrar semnul + la jumatate dintre ele si semnul - la cealalta jumatate. In situatia in care exista un numar impar de diferente egale cu zero intre rangurile celor doua evaluari, se va elimina una dintre ele (reducand N cu 1), dupa care se aplica regula enuntata anterior.
EXERCITII
Avand in vedere numarul mic al subiectilor cercetarii din tema pentru acasa de la testul t pentru esantioane dependente, refaceti calculele utilizand testul Wilcoxon:
Ne propunem sa scoatem in evidenta efectul stresului temporal (criza de timp) asupra performantei de operare numerica. In acest scop, selectam un esantion de subiecti carora le cerem sa efectueze un test de calcule aritmetice in doua conditii experimentale diferite: prima, in conditii de timp nelimitat, cu recomandarea de a lucra cat mai corect; a doua, in conditii de timp limitat, cu conditia de a lucra cat mai repede si mai corect in acelasi timp.
Rezultatele celor doua reprize sunt cele din tabelul alaturat. Sa se rezolve urmatoarele sarcini:
|
Fara criza de timp |
Cu criza de timp |
|
|
|
|
|
|
|
|
|
|
|
|
|
|
|
|
|
|
|
|
|
|
|
|
Care sunt valoarea testului, decizia statistica si concluzia cercetarii in acest caz?
Testul Friedman pentru masurari repetate
Sa presupunem ca un psiholog doreste sa studieze relatia dintre stilurile de conducere (laissez-faire, democratic si autoritar) asupra nivelului de satisfactie profesionala. In acest scop el poate constitui un grup de cercetare pe care sa il supuna, in momente succesive, celor trei tipuri de conducere. Un alt model ar putea fi constituirea a trei esantioane perechi, astfel constituite incat fiecarui subiect dintr-un esantion sa ii corespunda cate un subiect "echivalent" din fiecare dintre celelalte doua esantioane (criteriile de echivalenta pot fi: sexul, varsta, nivelul de inteligenta, gardul de motivare, etc.).
Dar, oricare dintre variantele pe care l-ar alege cercetatorul, din punct de vedere statistic el ar obtine o structura de date identica: trei serii de evaluari ale satisfactiei (variabila dependenta), pentru aceiasi subiecti (sau perechi de subiecti) corespunzatoare celor trei stiluri de conducere. Daca variabila dependenta ar fi masurata pe o scala de interval/raport, testul parametric adecvat este unul pe care nu l-am tratat pana acum, "ANOVA pentru masurari repetate". In lipsa lui, si presupunand ca variabila dependenta nu intruneste conditiile unui test parametric, solutia problemei este testul Friedman pentru date ordinale. Pentru aplicarea lui este suficient ca valorile variabilei dependente sa fie ordonate dupa rang, ca in tabelul alaturat. Facem precizarea ca, in acest caz, ordonarea dupa rang se face la nivelul fiecarui set de evaluari perechi:
|
|
Democratic |
Laissez-faire |
Autocratic |
|
|
|
|
|
|
|
|
|
|
|
|
|
|
|
|
|
|
|
|
|
|
|
|
|
|
|
|
|
|
|
N=6 |
T1=8 |
T2=10 |
T3=18 |
Testul Friedman (Fr) pune in evidenta in ce masura rangurile evaluarilor repetate difera cu adevarat (statistic semnificativ) unele de altele, dupa formula:

unde:
c este numarul masurarilor repetate
N este volumul seturilor de evaluari perechi
Ti este suma rangurilor corespunzatoare fiecarui moment de masurare
La fel ca si in cazul testului H (Kruskal-Wallis), distributia de nul a testului Friedman urmeaza forma distributiei chi-patrat pentru df=c-1. Introducem valorile cercetarii in formula:
|
|
Valoarea critica tabelara (chi-patrat) pentru df=3-1=2, este 5.99. Valoarea calculata fiind mai mare, se respinge ipoteza de nul si se considera confirmata ipoteza cercetarii: nivelul satisfactiei profesionale variaza semnificativ in functie de stilul de conducere.
Testul Friedman poate fi aplicat si in cazul a doar doua masurari, situatie in care devine similar testului semnului. La fel ca si celelalte teste pentru date ordinale, el este afectat de existenta rangurilor atribuite ex-aequo, pentru valori identice. In astfel de cazuri este recomandabila aplicarea unei corectii in formula de calcul, pe care nu o vom prezenta aici, in speranta ca utilizarea programelor specializate va face, oricum, corectiile necesare.
EXERCITII
Un neurofiziolog doreste sa verifice daca exista o relatie intre leziunea cerebrala stanga si tipul de deficit de memorie de scurta durata, in trei tipuri de sarcina diferite: cifre, litere, litere si cifre amestecate.
Un numar de cinci subiecti cu leziune cerebrala stanga au efectuat teste de memorie distincte, pe siruri de cifre, litere si combinatii de cifre si litere. Performanta inregistrata marcheaza sirul cel mai lung memorat pentru fiecare test in parte.
Datele cercetarii:
(valorile semnifica lungimea sirului memorat)
|
Subiectul |
Cifre |
Litere |
Cifre/Litere |
|
A |
|
|
|
|
B |
|
|
|
|
C |
|
|
|
|
D |
|
|
|
|
E |
|
|
|
|
F |
|
|
|
Care este valoarea testului Friedman?
Care este decizia statistica si ce concluzie trage cercetatorul?
Coeficientul de corelatie pentru date ordinale (Spearman)
Testele Wilcoxon si Friedman sunt utilizate pentru a pune in evidenta diferentele dintre doua sau mai multe esantioane perechi (situatie care, de regula, se refera la masurari repetate pe aceiasi subiecti). Atunci cand avem doua variabile ordinale si suntem interesati in evaluarea gradului de asociere intre ele, vom utiliza un test similar coeficientului de corelatie pentru date de interval care este coeficientul de corelatie a rangurilor (Spearman).
Asa cum ne amintim, coeficientul de corelatie Pearson (r) ne da masura intensitatii legaturii dintre doua variabile exprimate pe scale de tip interval/raport. Mecanismul de calcul se bazeaza pe transformarea valorilor ambelor variabile in scoruri z, adica pe convertirea acestora in "distanta standard" fata de medie. Pentru datele de tip ordinal, modalitatea de calcul a coeficientului de corelatie se bazeaza pe pozitia relativa a unei valori fata de celelalte. Coeficientul de corelatie a rangurilor Spearman (rS) are acelasi domeniu de variatie (-1/+1) si se interpreteaza in acelasi mod ca si coeficientul de corelatie pentru date parametrice Pearson.
Exemplu:
Problema cercetarii. Intr-un studiu cu privire la ameliorarea sistemului de evaluare a personalului, doi instructori urmeaza un program special de armonizare a evaluarii. La sfarsitul programului ei sunt pusi sa ierarhizeze personalul unui compartiment de munca (N=10) din punctul de vedere al performantei profesionale.
Ipoteza cercetarii. (pentru test bilateral) Evaluarile celor doi instructori vor fi concordante.
Ipoteza de nul. Intre evaluarile celor doi instructori nu exista nici o legatura
Criteriile deciziei statistice:
alfa= 0.05
rS critic se citeste intr-un tabel special pentru coeficientul Spearman (Anexa 9). Valoarea se citeste la intersectia dintre linia corespunzatoare lui N (in acest caz nu se
folosesc gradele de libertate) cu coloana corespunzatoare tipului de test (unilateral, bilateral) si a nivelului α. Inregistram rS critic =0.648
Datele cercetarii:
|
Angajati |
RANG Instructor I |
RANG Instructor II |
Diferenta (D) (R1-R2) |
D2 |
|
A |
|
|
|
|
|
B |
|
|
|
|
|
C |
|
|
|
|
|
D |
|
|
|
|
|
E |
|
|
|
|
|
F |
|
|
|
|
|
G |
|
|
|
|
|
H |
|
|
|
|
|
I |
|
|
|
|
|
J |
|
|
|
|
|
|
åD2=32 |
|||
|
|
|
Formula de calcul pentru coeficientul de corelatie a rangurilor Spearman este: |
|
In care, prin inlocuirea cu valorile cercetarii, obtinem: |
![]()
Decizia statistica: rS calculat (0.81)≥ rS critic (0.684). Ipoteza de nul se respinge. Concluzia cercetarii: Evaluarile celor doi instructori sunt semnificativ concordante. Programul de instruire a avut efectul scontat.
Interpretarea coeficientului de corelatie Spearman
In principiu, acesta se interpreteaza la fel ca si coeficientul Pearson.
|
rS= 0 |
Cele doua variabile nu variaza concomitent, deloc |
|
0 > rS > 1 |
Cele doua variabile tind sa creasca sau sa scada concomitent, intr-o anumita masura |
|
rS = 1.0 |
Corelatie pozitiva perfecta |
|
-1 > rS > 0 |
In timp ce o variabila tinde sa creasca, cealalta tinde sa descreasca |
|
rS = -1.0 |
Corelatie negativa perfecta |
Daca probabilitatea aferenta valorii calculate a testului este mai mare decat 0.05, coeficientul de corelatie va fi considerat nesemnificativ (are sanse prea mari sa rezulte din intamplare). Aceasta nu inseamna ca nu exista o corelatie intre cele doua variabile, ci doar ca datele noastre nu au putut sa o puna in evidenta.
Calcularea coeficientului de determinare (rS2) in cazul corelatiei Spearman nu este uzuala, desi exista autori care o accepta.
Cand se utilizeaza coeficientul de corelatie Spearman:
Atunci cand ambele variabile sunt de tip ordinal
Atunci cand una dintre variabile este de tip ordinal si cealalta este de tip interval/raport. In acest caz, variabila interval/raport se transforma mai intai in valori de ordine de rang
Atunci cand ambele variabile sunt de tip interval/raport dar una sau ambele, prezinta valori extreme. In acest caz, prin transformarea in ordine de rang a celor doua distributii, valorile extreme sunt anihilate, ele urmand sa participe la corelatie prin simpla pozitie in distributie si nu prin nivelul lor absolut.
Formula 5.7 nu este considerata adecvata pentru situatiile in care variabilele supuse corelatiei prezinta multe ranguri ex-aequo. De aceea, un test alternativ pentru asocierea variabilelor ordinale este coeficientul de corelatie a rangurilor Kendall tau. La fel ca si coeficientul Spearman, Kendal tau ia valori intre -1 si +1. Similaritatile se opresc insa aici, deoarece coeficientul Kendall se calculeaza pe o cale diferita si se fundamenteaza pe o estimare a parametrului populatiei. Aceasta estimare se calculeaza ca probabilitatea concordantei minus probabilitatea discordantei dintre
rangurile perechi. Nu vom analiza in amanunt procedura de calcul, dar vom prezenta modul de obtinere a coeficientului Kendall cu ajutorul programului SPSS in sectiunea urmatoare.
Ambii coeficienti sunt larg utilizati in studiile statistice, facand, in acelasi timp, si obiectul unor dispute intre statisticieni. Adesea, coeficientul Kendall este considerat mai adecvat datorita faptului ca distributia acestuia se apropie de forma normala incepand de la volume mai mici ale esantioanelor. Chiar daca, in calcule, pe aceleasi date, cu cei doi coeficienti se obtin valori usor diferite, decizia statistica nu este, de obicei, diferita.
EXERCITII
Intr-o scoala de pilotaj a fost organizat un curs de optimizare a evaluarii elevilor de catre instructori, cu scopul de a se uniformiza criteriile de evaluare.
Dupa terminarea cursului, doi instructori sunt pusi sa efectueze, fiecare, un numar de ore de zbor cu aceiasi 10 elevi, dupa care li se cere sa faca o ierarhie a lor.
Datele cercetarii:
(valorile din tabel exprima pozitia de rang atribuita de instructori fiecarui elev)
|
Elev |
Instructor 1 |
Instructor 2 |
|
A |
|
|
|
B |
|
|
|
C |
|
|
|
D |
|
|
|
E |
|
|
|
F |
|
|
|
G |
|
|
|
H |
|
|
|
I |
|
|
|
J |
|
|
Care este valoarea corelatiei dintre evaluarile celor doi instructori? Care este decizia statistica si concluzia cercetarii in acest caz?
ANEXE
Anexa 7. Tabelul valorilor critice pentru testul Mann-Whitney U
|
nA/nB |
|
|
|
|
|
|
|
|
|
|
|
|
|
|
|
|
|
|
|
|
|
|
|
|
|
|
|
|
|
|
|
|
|
|
|
|
|
|
|
|
|
|
|
|
|
|
|
|
|
|
|
|
|
|
|
|
|
|
|
|
|
|
|
|
|
|
|
|
|
|
|
|
|
|
|
|
|
|
|
|
|
|
|
|
|
|
|
|
|
|
|
|
|
|
|
|
|
|
|
|
|
|
|
|
|
|
|
|
|
|
|
|
|
|
|
|
|
|
|
|
|
|
|
|
|
|
|
|
|
|
|
|
|
|
|
|
|
|
|
|
|
|
|
|
|
|
|
|
|
|
|
|
|
|
|
|
|
|
|
|
|
|
|
|
|
|
|
|
|
|
|
|
|
|
|
|
|
|
|
|
|
|
|
|
|
|
|
|
|
|
|
|
|
|
|
|
|
|
|
|
|
|
|
|
|
|
|
|
|
|
|
|
|
|
|
|
|
|
|
|
|
|
|
|
|
|
|
|
|
|
|
|
|
|
|
|
|
|
|
|
|
|
|
|
|
|
|
|
|
|
|
|
|
|
|
|
|
|
|
|
|
|
|
|
|
|
|
|
|
|
|
|
|
(sursa: Clocotici V., Stan A., 2000, Statistica aplicata in psihologie, Polirom)
Anexa 8. Valorile critice pentru testul Wilcoxon
|
N |
Nivel de semnificatie pentru test unilateral e semnificatie pentru test un ilateral |
||
|
|
|
|
|
|
Nivel de semnificatie pentru test bilateral |
|||
|
|
|
|
|
|
|
|
|
|
|
|
|
|
|
|
|
|
|
|
|
|
|
|
|
|
|
|
|
|
|
|
|
|
|
|
|
|
|
|
|
|
|
|
|
|
|
|
|
|
|
|
|
|
|
|
|
|
|
|
|
|
|
|
|
|
|
|
|
|
|
|
|
|
|
|
|
|
|
|
|
|
|
|
|
|
|
|
|
|
|
|
|
|
|
|
|
|
|
|
|
|
|
|
|
(sursa : Clocotici V., Stan A., 2000, Statistica aplicata in psihologie, Polirom)
Anexa 9. Valorile critice pentru testul de corelatie a rangurilor (Spearman)
|
N |
test unilateral |
|||
|
alfa=0.05 |
alfa=0.025 alfa=0.01 Alfa=0.005 test bilateral |
alfa= 0,01 |
alfa=0.005 |
|
|
test bilateral |
||||
|
alfa=0.10 |
alfa=0.05 |
alfa=0.02 |
alfa=0.01 |
|
|
|
|
|
|
|
|
|
|
|
|
|
|
|
|
|
|
|
|
|
|
|
|
|
|
|
|
|
|
|
|
|
|
|
|
|
|
|
|
|
|
|
|
|
|
|
|
|
|
|
|
|
|
|
|
|
|
|
|
|
|
|
|
|
|
|
|
|
|
|
|
|
|
|
|
|
|
|
|
|
|
|
|
|
|
|
|
|
|
|
|
|
|
|
|
|
|
|
|
|
|
|
|
|
|
|
|
|
|
|
|
|
|
|
|
|
|
|
|
|
|
|
|
|
|
|
|
|
|
|
|
|
|
|
|
|
|
|
|
|
|
|
|
|
|
|
|
|
|
|
|
|
|
|
|
|
(sursa: https://www.netnam.vn/unescocourse/index.htm)
|
Politica de confidentialitate | Termeni si conditii de utilizare |
Vizualizari: 2236
Importanta: ![]()
Termeni si conditii de utilizare | Contact
© SCRIGROUP 2026 . All rights reserved