| CATEGORII DOCUMENTE |
| Aeronautica | Comunicatii | Electronica electricitate | Merceologie | Tehnica mecanica |
Formula (110) cu r = 3,5 N/cm2; sa = 12,8 N/m2; j = 1, devine:
![]()
Adaosul care tine seama de subtierea reala a tubulaturii la curbare:
(113)
unde,
R = 1,5b; b = S0 - 0,270
Conform R.N.R. pentru tubulaturile de fabricatie cu toleranta negativa, grosimea peretelui se determina cu formula:
(114)
unde,
a = -15%
.
Se adopta urmatoarele grosimi ale peretelui tubulaturii conform tabelului urmator:
Tabel nr. 19
|
d | ||||||||
|
So | ||||||||
|
b | ||||||||
|
c | ||||||||
|
S | ||||||||
|
S1 | ||||||||
|
St | ||||||||
|
Sa |
Observatie:
Pentru tubulatura de balast instalata in magazia de marfa nr. 7 conform regulii RNR, tubulaturile vor fi cu peretii ingrosati.
Pentru tubulatura instalata in magazia nr. 7 se adopta tubulatura 406x10, respectiv 219 x 8.
Determinarea pierderilor hidraulice pe traseu (pe aspiratie si pe refulare)
Pierderile hidraulice sunt impartite in doua categorii:
> pierderi de sarcina liniare (apar datorita frecarii fluidului de peretii conductei);
> pierderi de sarcina locale (sunt datorate numarului de armaturi pe conducte, numarul coturilor, racordurilor, ce opun rezistenta la trecerea fluidului, obligand viteza sa-si modifice directia sau marimea). Ecuatia generala de calcul pentru pierderile de sarcina este:
(115)
![]()
unde, l - coeficientul de pierdere de sarcina liniara;
d - diametrul conductei;
I lungimea conductei;
- coeficienti de
rezistenta locala;
v - viteza apei in conducta;
g - acceleratia gravitationala;
h - diferenta de cota piezometrica.
Calculul hidraulic al instalatiei de balast se executa atat pentru aspiratia pompei din tancul cel mai indepartat, cat si pe refulare pentru tancul cel mai indepartat si cel mai sus.
I. Pe aspiratie: din tancul peak-prova pana la pompa :
a. Criteriul Reynolds:
(116)
unde,
v - viteza in tubulatura;
d - diametrul tubulaturii;
- coeficient de
viscozitate cinematica a apei de mare la temperatura de 20C.
|
|
|
Pentru calculul pierderilor hidraulice am ales viteza in tubulatura v = 1,7 m/s si |
b. Determinarea rugozitatii relative
Am ales pentru tubulatura tevi din otel zincate la cald avand inaltimea asperitatilor interioare (rugozitatea absoluta) K =0,15 mm.
(117)
c. Coeficientul hidraulic al pierderilor liniare: este functie de criteriul Reynolds si rugozitatea relativa. Din diagrama lui Moody am obtinut
=
d. Determinarea lungimii conductei
In afara CM conducta are lungimea egala cu distanta de la coasta 46 la coasta 234. Distanta dintre doua coaste este egala cu 0,9 m in CM, lungimea conductei pana la pompa este de 10,2 m.
L = (234-46)-0.9+ 10.2
L = 179.4 m.
|
|
|
|
Pe aspiratie, pierderile de sarcina liniara vor fi:

Figura nr.8 Schema izometrica a instalatiei (aspiratie)
Pentru a calcula pierderile locale se iau in considerare corurile, teurile,
valvulele, sorbul si compensatoarele de dilatatie ce se afla pe traseu.
>
valvule fluture:
2 cu
= 0,15
>
valvula cu sertar: 1 cu
>
teuri: 4 cu
>
coruri la 90: 4
cu
>
compensatoare de
dilatatie: 2 cu
>
sorb: 1 cu
|
|
|
Pierderile locale vor fi: |
|
|
|
|
Suma coeficientilor de pierdere locala este:
Diferenta de cota piezometrica este:
h = 2m (120)
Pierderile de sarcina pe aspiratie sunt:
H = Hlin + Hloc + h (121)
H = 1.58 + 0.85 + 2 = 4.43 mCA

Figura nr.9 Schema izometrica a instalatiei (refulare)
II. Pe refulare ( atentie schema izometrica pe refulare)
Acest calcul este facut pentru situatiile cele mai dezavantajoase si anume balastarea tancurilor din babord cu ajutorul pompei din tribord. Vom imparti conducta in doua tronsoane:
Tronsonul 1: de la pompa la valvula fluture.
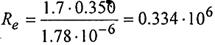
a. Criteriul Reynolds
(122)
unde,
v = 1,7 m/s
d = 0,350 m
= 1.78 x10-6 m2/s
![]()
b. Determinarea rugozitatii relative K=0.15
(123)
c. Coeficientul hidraulic al pierderilor liniare:
d. Lungimea conductei
l = 21m
|
|
|
Hlin = 0.2 mCA |
Pierderile de sarcina liniare:
(124)
Pentru a calcula pierderile locale se iau in considerare coturile si armaturile ce se afla pe traseu.
>
valvula de
colt cu retinere: 1 cu
= 2,4
>
valvula
fluture: 1 cu
= 0,15
>
coturi la 90: 4
cu
>
reductii: 1
cu
Suma coeficientilor de pierdere locala este:
![]()
|
Pierderile locale pe acest tronson vor fi |
|
|
![]()
Hloc = 0.54 mCA .
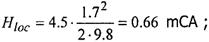
Tronsonul 2: de la valvula fluture la tancul lateral superior nr. 1 babord.
Lungimea conductei: I = 147,2 m.
Diametrul conductei: d = 400mm.
|
|
|
Hlin = 1.3 Mca |
Coeficientul pierderii de sarcina liniara:
Pierderile de sarcina liniare pe tronsonul 2:
(126)
Pe tronsonul 2 avem:
>
coturi la 90: 2
cu
= 0,175
>
compensatoare de
dilatatie: 2 cu
>
teuri: 7 cu
> reductii 2 cu ξ = 0,33 si ξ = 0,39
|
Pierderile locale pe tronsonul 2 |
(127)
![]()
Suma coeficientilor de pierdere locala este:
Hloc = 0.66 mCA
Diferenta de cota piezometrica pe refulare este:
h = D-3.5m.
D = 17 m
h=13,5 m.
Pierderile de sarcina totale pe refulare sunt:
Href = Hlin1 + Hloc1 + Hlin2 + Hloc2 + h [mCA]; (128)
Href= 0.2 + 0.54 + 1.3 + 0.66 + 13.5 = 16.2 mCA.
Avand in vedere ca inaltimea de refulare a pompei este de 50 mCA se observa ca nu exista probleme de balastare. Eventualele inclinari ale navei in borduri nu prezinta nici un pericol in acest caz.
Alegerea pompei de balast
Un parametru important in calculul instalatiei de balast este debitul pompelor de balast, care se calculeaza cu formula:
(129)
unde,
V - volumul total al tancurilor de balast ale navei, in m3;
n - numarul de pompe ale instalatiei de balast;
T - timpul de balastare - debalastare in ore.
Se alege pentru deservirea instalatiei de balast un numar de doua pompe, iar timpul de balastare - debalastare conform Registrului Naval Roman este cuprins intre 8 -10 ore. Volumul total al tancurilor de balst ale navei este de: 18449,5 m3. Cu aceste date se calculeaza debitul pompelor:
Q = 922,47 m3/h
Se aleg in consecinta doua electropompe centrifuge verticale de 400 cu:
> debitul pompei: Q = 1000 m3/h;
> inaltimea de pompare: H = 50 mCA;
> turatia: n = 1450 rot/min;
> greutatea specifica a apei: p = 1025 Kg/m3
|
Calculul de dimensionare al pompei |
|
9.4.1. Calculul rotorului |
|
1. Turatia caracteristica: |
|
2. Puterea utila: |
|
Rapiditatea turbomasinilor |
(130)
[rot/min].
(131)
[kW]
(132)
![]()
Din [8] se alege in functie de ns un rotor centrifug lent:
ns = (80150) cu D2/D0 = (215)
Randamentul global:
= f(Q,nq)
din [8]:
Coeficientul de presiune:
= f(nS)
nS = 80 50=> Ψ
Se adopta: Ψ = 0,95
Energia specifica (lucrul mecanic
este transmis de pompa lichidului vehiculat raportat)
Y =g H
|
Y = 490J/Kg |
|
Diametrul median al muchiei de iesire rezulta din: |
D = 0,536 m.
Se adopta D = 540 mm.
|
|
|
Ku= |
|
Puterea de antrenare a motorului electric este: |
|
|
|
P = 169,6 KW. |
|
Momentul de torsiune al motorului electric este: |
|
|
|
|
Coeficientul de mers in gol:
Mt =1117.5 Nm
10. Diametrul arborelui pompei (d).
Se alege pentru arbore otel obisnuit OLC cu tensiunea admisibila la torsiune
s at = 40 + 60 N/ mm2

Tinand cont de canalul de pana adoptam
d = 55 mm
11. Diametrul butucului (db)
db=(1.2 + 1.4 x d [mm]; (138)
db x d x [mm];db =71.5 [mm].
Alegerea vitezei la intrarea in pompa:
Viteza la intrarea in pompa se alege intre limitele νa = (1.5 4.5) m/s.
Alegem va = 3,372 m/s.
Determinarea elementelor geometrice de la intrare:
|
|
|
Do = 270 [mm]. Latimea palei la intrare in rotor : |
|
|
|
bl = 0.05 [m]; Latimea palei la iesirea din motor : |
|
|
Diametrul Do se determina din ecuatia de continuitate.
bl = 0.025 [m];
unde,
Kb2 = 5.2 se alege in functie de ns.
Se va adopta b2 25 mm.
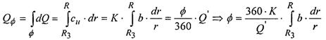
Calculul statorului
In carcasa de refulare se continua procesul energetic al pompei centrifuge unde are loc transformarea energiei cinetice a fluidului in energie de presiune. In mod curent se folosesc trei tipuri constructive:
> stator fara palete de conducere numit uneori inel de conducere sau difuzor fara palete;
> stator cu palete de conducere, roata de conducere sau difuzor cu palete;
> stator tip camera spirala, care este de altfel si tipul cel mai des intalnit.
Calculul statorului tip melc se bazeaza pe ipoteza echirepartitiei debitului de fluid in jurul statorului masinii.
Daca Q' este debitul total de calcul al statorului, atunci debitul pe deschiderea a statorului va fi:
(141)
Printr-o sectiune elementara a spiralei melcului trece un debit
d = cu x b x dr
Tinand seama de ecuatia sectiunilor r3 x c3u = r x cu ct. atunci rezulta ca debitul realizat pe deschiderea este:
(142)
Admitand o lege de variatie b = f(r) se poate determina prin puncte succesive forma spiralei, folosind pentru aceasta sistemul de coordonate polare.
Astfel impartim carcasa spiralei in opt parti simetrice si admitand ca vitezele cu sunt egale in toate sectiunile se poate scrie:

cu = ce = 4 6 [m/s].
Se adopta cu = 5 [m/s].
Impunem viteza de iesire ce
= 5 [m/s] si
unghiul б
+12, rezultand
astfel dimensiunile constructive ale statorului.
Sectiunile statorului tip melc sunt:
|
|
Figura nr.10 Carcasa spirala
9.4.3. Puterea la axul pompei
Puterea de antrenare a motorului se determina cu relatia:
(143)
unde ,
Pu = 139.12 [kW] - puterea utila ;
ηm = 0.92 - randamentul mecanic ;
![]()
Actionarea de la distanta a valvulelor de balast
Exploatarea navelor moderne este legata de necesitatea efectuarii a numeroase comenzi si reglari, atat in timpul navigatiei, cat si in timpul stationarii, cand se efectueaza operatiuni de incarcare/descarcare. Comanda manuala necesitand un numar mare de operatori, iar in unele cazuri, comenzile nu pot fi efectuate datorita rapiditatii cu care organelor de comanda, s-a recurs la automatizarea instalatiilor.
Costul ridicat al exploatarii navei in cazul comenzii manuale se explica nu numai prin cheltuielile legate de personalul de intretinere, ci si prin calitatea redusa a comenzilor efectuate de catre operatori. Prin introducerea automatizarii pe nave s-a rezolvat si problema eficientei economice. Aceasta permite:
> interconectarea tuturor mijloacelor tehnice cu indici economici ridicati prin comanda proceselor de functionare la un regim optim in toate conditiile de exploatare;
> eliminarea participarii directe a omului la comanda si deservirea mecanismelor si instalatiilor;
> ridicarea randamentului instalatiei.
Printre avantajele automatizarii instalatiilor se pot enumera:
a) avantaje de ordin economic:
> cresterea randamentului si marirea productivitatii;
> economisirea energiei electrice si a combustibilului prin functionarea instalatiei la regimuri optime;
> reducerea
cheltuielilor de intretinere si reparatii prin marirea
fiabilitatii;
> reducerea numarului de oameni ce
deservesc instalatia.
b) avantaje de ordin tehnic:
> cresterea calitatii supravegherii instalatiei prin eliminarea interpretarilor subiective si a oboselii operatorului;
> reducerea solicitarilor la care sunt supuse diversele agregate si instalatii;
> cresterea fiabilitatii instalatiei.
c) avantaje de ordin social:
> cresterea securitatii muncii in supravegherea si manevrarea instalatiei;
> asigurarea conditiilor ergonomice si tehnice de desfasurare a proceselor;
> imbunatatirea conditiilor de munca prin eliberarea operatorului de operatiile dificile sau monotone de supraveghere a instalatiei.
Sistemul de automatizare are mai multe functii in cadrul instalatiei. Astfel, el are rolul de a masura diferiti parametri, de a semnaliza, de a comanda, de a regla, de a conduce procesul, de a controla si de a proteja instalatia.
In cadrul functiei de masurare, sistemul de automatizare asigura informarea cantitativa asupra parametrilor instalatiei, prin masuratori continue sau discrete (cand valoarea masurata a parametrului este transmisa la anumite intervale de timp).
Functia de semnalizare asigura informarea calitativa asupra parametrilor si elementelor instalatiei. Astfel, se indica situatia de stare, de pozitie si de functionare a sistemului. Sistemul de semnalizare emite semnale la iesirea din limitele admise ale parametrilor masurati, la functionarea fiecarui dispozitiv de protectie, la intreruperea alimentarii unor dispozitive de automatizare sau atunci cand se conecteaza sursele de energie de avarie.
Functia de comanda reprezinta actiunea cu caracteristica cantitativa si calitativa asupra sistemului de stare sau de pozitie ale unor elemente din instalatia de automatizare cu scopul modificarii valorilor unor parametri. in cazurile comandarii de la distanta trebuie sa se transmita la postul de comanda informatia despre executarea completa a comenzii. Sistemul de comanda automat trebuie realizat astfel incat la o succesiune rapida a comenzilor sa se execute intotdeauna numai ultima comanda. Defectiunile sistemului de comanda nu trebuie sa determine actionari nerecomandate ce pot crea pericole pentru nava, instalatie sau personal.
Functia de reglare realizeaza modificarea unor marimi aferente proceselor tehnologice in scopul mentinerii unuia sau mai multor parametri la anumite valori prescrise.
Functia de control asigura masurarea continua in scopul sesizarii depasirii anumitor limite ale parametrilor procesului.
Functia de protectie consta in masurarea continua a unor parametri in scopul sesizarii momentului in care instalatia s-a defectat. In momentul avarierii se transmite comanda de oprire a instalatiei.
Functia de conducere are rolul de preluare, transmitere si prelucrare a informatiilor in vederea adoptarii unor decizii pentru dirijarea cat mai eficienta a unui proces.
Sistemul de automatizare poate fi: electric, hidraulic, pneumatic, mecanic sau magnetic. In componenta sistemelor de automatizare intra ca elemente de automatizare: comparatoare, regulatoare, presostate, elemente de actionare electrice, cu membrana, cu piston, amplificatoare, distribuitoare, supape de siguranta etc.
Ca sistem de automatizare pentru instalatia de balast se foloseste automatizarea hidraulica. In componenta acestei instalatii de automatizare intra o statie de pompare a uleiului, cu tubulaturile de distributie a uleiului, tabloul de comanda, distribuitoarele de ulei, supapele limitatoare de presiune, valvule comandate hidraulic, precum si instalatia electrica de semnalizare.
Statia de pompare a uleiului are rolul de a crea presiunea necesara comandarii valvulelor. In componenta sa intra un tanc de azot dotat cu un piston mobil si contactoare de nivel, un tanc de depozitare a uleiului si doua pompe cu roti dintate antrenate de motoare electrice. Pompele ridica presiunea, deplasand in sus sau in jos pistonul mobil din tancul cu azot si astfel se realizeaza inchiderea sau deschiderea contactoarelor de nivel.
Supapa limitatoare de presiune are rolul de a limita presiunea in instalatie. In cazul cresterii peste limita a presiunii, supapa se deschide, permitand refularea uleiului in tancul de depozit. Din statia de pompare a uleiului, acesta ajunge in tabloul de comanda, la distribuitoarele de ulei. Acestea au rolul de a distribui uleiul fie spre valvula comandata, fie de la valvula spre statia de pompare. Distribuitoarele sunt de tipul trei orificii si doua sensuri. De la distribuitoarele de ulei, acesta ajunge prin tubulaturile instalatiei la valvulele comandate. Acestea au in componenta lor, fixat pe axul ventilului, un piston care este deplasat in sus sau in jos in interiorul unui cilindru.
Pistonul valvulei este comandat de catre presiunea uleiului. Prin aceasta deplasare, tija ventilului inchide sau deschide doua contacte electrice, care fac parte din sistemul electric de semnalizare.
Pe instalatia hidraulica de automatizare se mai pot monta si debitmetre si presostate, care au scopul de a indica prezenta scurgerii, respectiv a presiunii in instalatie.
Contactoarele de nivel au rolul de a da comanda de umplere a tancului de ulei, prin alimentarea sau nealimentarea pompelor din componenta statiei de pompare. Aceasta comanda se face la nivelul minim sau maxim al uleiului in tanc, Pe statia de pompare mai exista si o pompa manuala, care se foloseste atunci cand pompele statiei de pompare nu functioneaza din diferite motive.
Principalele avantaje ale automatizarii unei instalatii sunt:
> eliminarea posibilitatii efectuarii de manevre gresite in timpul functionarii, element care devine foarte important in special la agregatele de puteri mari;
> protectia pompelor, motoarelor electrice este asigurata in mod automat in timpul functionarii instalatiei.
In principiu, aparatele de automatizare trebuie sa semnalizeze si sa intrerupa functionarea pompelor in urmatoarele situatii:
> dezamorsarea pompei;
> scaderea presiunii pe refulare sub limita pentru care s-a reglat functionarea;
> depasirea temperaturii uleiului din
lagarul pompei, peste limita admisa;
> supraincarcarea
masinii de antrenare.
In practica, in automatizarea instalatiilor de pompare, procedeele folosite se bazeaza pe:
> principiul variatiei parametrilor energetici ai agregatelor;
> depresiunea in conducta de aspiratie, utilizata pentru oprirea pompei;
> presiunea in conducta de refulare utilizata pentru oprirea pompei;
> debitul refulat;
> intensitatea curentului electric de alimentare a masinii de antrenare;
> nivelele limita ale lichidului in tancul de aspiratie sau de refulare (utilizate pentru pornirea sau oprirea pompei);
> temperatura lagarelor, utilizata pentru oprirea pompei.
Figura nr.11 Schema de principiu a instalatiei hidraulice de automatizare
Statia de pompare
Actionarea valvulelor se face prin intermediul unui grup de pompare. Acest grup de pompare poate functiona la temperatura mediului ambiant de maxim 45C, intr-un compartiment etans la apa si in afara zonei periculoase la explozii.
Grupul de pompare trebuie sa functioneze la inclinarile transversale si longitudinale ale navei, astfel :
> banda permanenta in orice bord la 15 ;
> asieta de durata de 5 ;
> ruliu +22.5 cu perioada de 7-9 secunde ;
>
tangajul +7.5 ;
precum si in cazul simultaneitatii rutului si tangajului.
Caracteristicile principale :
■ capacitatea rezervorului de ulei :
> volumul total 275 litri;
> volumul minim 125 litri;
> volumul util 180 litri;
> volumul maxim de ulei 230 litri ;
Nivelul maxim al rezervorului se verifica pe nava dupa umplerea instalatiei cu ulei. Nivelul minim reprezinta nivelul minim de alarma semnalat de catre semnalizatorul de nivel de tip SHEN :
> debit pompare hidraulice 2x13.5 l/min ;
> presiune de lucru 100 bar;
> turatia pompelor 1000 rotmin ;
> supapa de siguranta se deschide la 110 bar;
> capacitatea acumularilor hidraulice 1.6 l
> conector de presiune :
presiunea de lucru max. 110 bar;
diferenta de :
□ minim 15 bar;
□ maxim 24 bar;
> racordarea in instalatie :
■ tubulatura Ф25 - pompa si retur;
tubulatura Ф12- drenaj;
> fluid de lucru -ulei hidraulic ;
> temperatura fluidului de lucru max. +80C ;
> masa grupului de pompare 60 Kg.
Grupul de pompare mai este prevazut cu un filtru magnetic pentru filtrarea uleiului de pe retur, trei robinete cu biela aflati in pozitie normal inchis care se deschid atunci cand se doreste depresurizarea instalatiei, un filtru de aerisire pentru aerisirea rezervorului de gaze rezultate la incalzirea uleiului, doua semnalizatoare de nivel minim care trimit semnalul la pupitrul de comanda in momentul in care nivelul de ulei a scazut sub limitele prescrise.
Valvula unghiulara KFCV
Aceasta serie de cilindri a fost proiectata pentru instalarea unor valvule conice in sistemele hidraulice cu comanda de la distanta.
Cilindrii sunt actionati intr-un singur sens in directia de deschidere a valvulelor, astfel incat este nevoie de un sistem hidraulic de control de la distanta intr-o singura directie.
In partile inferioare ale cilindrilor sunt doua orificii filetate intre ele. Un orificiu este prevazut cu un surub de purjare, iar prin celalalt orificiu presiunea de circulatie este condusa spre cilindri.
Cilindrii sunt prevazuti cu arc-discuri care produc forta necesara in directia de inchidere a valvulelor.
In afara de controlul hidraulic de la distanta, cilindrii pot fi operati si manual (opera de urgenta) daca functionarea arcului este suspendata cu ajutorul unei manete de transmisie a arcului; pistonul este conectat la ax, legatura dintre parghie si ax este facuta printr-un filet, iar axul este strans legat de axul valvulei. Intre valvule si cilindru se gaseste un grup de inele prevazute cu mansoane de cauciuc.
Deoarece aceste mansoane nu pot fi spalate, a fost facuta o gaura in grupul de inele cu scopul de a facilita scurgerea uleiului care ar putea exista in sistemul hidraulic, astfel incat lichidele din cele doua sisteme sa nu se amestece.
Toti cilindrii sunt prevazuti cu echipament pentru indicarea pozitiei. Pentru control de la distanta a valvulei, cilindrul este conectat cu o valvula centrala in trei directii printr-un singur tub de ulei.
Reprezentarea grafica a componentelor din cadrul acestei instalatii este prezentata in figura urmatoare:
Figura
nr. 12
9.6. Exploatarea instalatiei de balast
9.6.1. Punerea in functiune si probarea instalatiei de balast
Punerea in functiune a unei instalatiei poate fi definita ca fiind totalitatea operatiilor ce se executa in faza de trecere de la starea de repaus la cea de functionare . Aceasta reprezinta pentru beneficiar un moment important in care trebuie sa verifice cerintele pentru care a fost construita.
Inainte de a incepe exploatarea instalatiei, dupa confectionarea elementelor si montajul lor la nava sau reparatie capitala se procedeaza la :
A. verificari in stare de repaus;
B. verificari ia punerea in functiune;
C. oprirea instalatiei.
A. Verificarile in stare de repaus au ca scop eliminarea cauzelor care ar produce defectarea mecanismelor in functionare , deci o masura prin care se dovedeste corectitudinea montajului elementelor instalatiei . Verificari pentru pompa:
1. Fixarea pompei pe postament si racordarea cu conductele de aspiratie si refulare . Operatiunile care se executa la verificare sunt:
> se verifica centrajul intre pompa si electromotor pe acelasi postament;
> se slabesc atat suruburile de fixare ale pompei de postamentul ei, cat si suruburile de la flansele de cuplare cu instalatia;
> se verifica cu sonda (spionul ) de 0,5 mm distantele dintre postament si pompa; daca sonda nu intra, montajul este corect;
> se strang suruburile de fixare ale pompei pe postament ; strangerea se efectueaza in orice si se verifica permanent rotirea rotorului;
> cu aceiasi sonda plus grosimea garniturii din marsit unit' (klingherit) se verifica paralelismul flansei pompei si ale flansei tubulaturii de cuplare, precum si distanta dintre ele ; daca se constata paralelismul si distanta corecta dintre flansele de cuplare, se introduce garnitura si se strang suruburile in orice.
Dupa strangerea pompei pe postament si cu flansele instalatiei , se verifica centrajul electromotorului cu pompa , urmarindu-se daca exista dezaxari sau frangeri la semicuple de cuplare ale electromotorului . Verificarea centrarii se face cu rigla si trusa de calibre . Procedeul de verificare cu rigla este urmatorul : se aseza rigla paralel cu axa celor doi arbori, astfel incat sa se sprijine pe generatoarea unei semicuple . Se executa masuratori in patru puncte decalate la 90 pe circumferinta cuplajului rotind cu mana ansamblul . Se considera ca centrarea este corecta daca:
> rigla este in contact pe toata lungimea generatoarelor in toate punctele circumferintelor;
> distanta dintre cele doua semicuple sa fie aceeasi masurandu-se cu ajutorul trusei de calibre .
2. Rotirea libera a rotorului
Este prima operatie care se executa dupa verificarea strangerii si centrarii si are ca scop verificarea corectitudinii montajului pieselor rotitoare . Pentru aceasta se slabeste strangerea presetupei si apoi se roteste cuplajul cu mana . Rotirea trebuie sa se faca usor si continuu , daca pe anumite portiuni se intampina rezistente sau intepeniri, se va verifica centrarea cuplajului sau fixarea pompei pe postament.
Prin acesta verificare se previne pornirea unei pompe blocate din anumite motive, care, fortata, poate conduce la defectarea unor piese .
3.Sensul de rotatie al pompei
Este obligatorie verificarea sensului de rotatie a electromotorului de antrenare, daca acesta corespunde cu cel indicat de sageata de sens a pompei, asezata intotdeauna in loc vizibil, realizata direct din turnarea carcasei sau atasata prin nituri. Pentru a atrage atentia, sageata de sens se coloreaza deosebit de pompa (in rosu sau galben).
Operatia de verificare se executa pornind motorul, o perioada foarte scurta de timp, astfel incat sa se poata observa sensul de rotire .
4.Sistemul de ungere
Lagarele pompei sunt unse cu ulei sau cu unsoare consistenta . inainte de pornire se verifica sistemul de ungere .
5.Sistemul de etansare
Etansarea arborilor pompelor se realizeaza cu :
> garnituri moi , unde se vor strange piulitele presetupei cat mai uniform, strangerea fiind moderata
> etansarea mecanica, unde se va verifica daca in locasul presetupei exista lichid de ungere.
>
6.Amorsarea
Este cea mai importanta operatie de care este conditionata buna functionare a instalatiei . Proba de etanseitate a instalatiei se executa introducandu-se flanse oarbe in ultimele flanse ale instalatie si prin intermediul unui stut la care se cupleaza o pompa hidraulica cu ajutorul careia se ridica presiunea la 1,25 pn.
Se verifica toate cuplarile daca apa picura (se strang suruburile de cuplare sau se schimba garniturile de etansare)
Se scot flansele oarbe (blindele) si se monteaza sorbul pe aspiratia pompei.
B. Verificarea la punerea in functiune
Reguli pentru pornirea pompelor:
> se deschid valvulele de pe aspiratie si refulare realizand linia de conducere a fluidului de la aspiratie la refulare;
> se porneste electromotorul pompei;
> se citeste indicatia ampermetrului, avandu-se in vedere ca sarcina respectiva sa nu depaseasca curentul nominal inscris pe motorul electric;
> dupa atingerea turatiei de regim se urmaresc indicatiile manometrului pe conducta de refulare si a manovacumetrului montat pe conducta de aspiratie, daca acesta indica o valoare stabila , in zona marcata pe cadran , rezultand ca pompa este amorsata si poate functiona .
Daca presiunea pe refulare creste foarte mult, rezulta ca pe traseul aceste exista o flansa oarba sau o valvula inchisa .
Daca manometrul pe refulare nu indica presiunea de refulare , acesta este un indiciu ca pompa nu este amorsata in acesta situatie, se va opri si se va verifica din nou starea de amorsare .
Se urmareste functionarea etansarii : presetupa cu garnituri moi se va strange astfel incat sa permita o picurare necesara racirii si ungerii garniturilor.
Se asculta zgomotul produs de motorul de antrenare si pompa care trebuie sa fie uniform , fara zgomote anormale si vibratii puternice . Daca zgomotul este uniform si redus , acesta indica o efectuare corecta a montajului.
Dupa un timp se palpeaza lagarele pompei care ar trebui sa se incalzeasca la o temperatura mai mare decat cea pe care palma o poate suporta , aproximativ 40-50C. Verificarea se face la 1/2 ore de functionare deoarece regimul termic se stabilizeaza in aceasta perioada.
Oprirea instalatiei de balast
Se va proceda astfel:
> se deconecteaza masina de antrenare ( se intrerupe alimentarea cu curent electric);
> se inchide valvulele de pe traseul de refulare si de aspiratie. Pentru
probarea instalatiei de balast , se
realizeaza umplerea tancurilor cu
pompa de balast masurand timpii de
umplere , mai ales pentru tancul cel mai indepartat si determinand
debitul mediu al pompei . Umplerea tancurilor este completa doar dupa
ce apa refuleaza prin aerisiri,
verificandu-se astfel etanseitatea aerisirilor si capacelor de
vizita ala tancurilor.
Se trece apoi la golirea tancurilor, masurandu-se timpii de golire si debitul mediu al pompei . Se verifica umplerea gravitationala a tancurilor si posibilitatea transferului de balast intre ele .
Instalatia de balast se verifica si se receptioneaza definitiv in timpul probarii la cheu.
Tevile instalatiei se probeaza hidraulic, impreuna cu armaturile de inchidere, la maximum 4 bari .
Masurarea cantitatii de balast din tancuri se face periodic , pentru a trage concluzii in privinta eventualelor infiltratii si datorita pericolului pe care il prezinta suprafetele libere pentru stabilitatea navei. Masurarea se va face cu sonde .
9.6.3. Functionarea instalatiei de balast
Instalatia de balast este formata din doua parti:
> partea de balast deservita de pompele de balast;
> partea de stripping care realizeaza debalastarea completa.
Instalatia foloseste doua pompe, una de balast si una de balast-santina.
Instalatia de balast calculata realizeaza:
> debalastarea libera pana la linia de plutire ;
> debalastarea tancurilor din dublul fund , grosiera , cu pompa si evacuarea peste bord;
> stripuirea tancurilor din dublul fund ;
> debalastarea unui tanc si stripuirea altui tanc, concomitent;
> debalastarea tancurilor superioare prin dispozitivul de inchidere ventil montat in fiecare tanc, in caz de blocare a acestora se golesc cu electropompa de santina prin tubulatura de umplere ;
> umplerea tancurilor superioare cu electropompa de balast;
> transferarea intre tancurile superioare din borduri.
9.6.4. Probarea pompei de balast
> se verifica concordanta dintre executia la nava si desenele de executie ale instalatiei;
> se verifica certificatele pompei;
> se verifica aparatura de pornire;
> se verifica functionarea pompelor la parametrii nominali;
> instalatia de balast se probeaza in functiune conform destinatiei sale;
> se verifica posibilitatea transferului de balast intre tancurile din Bb in Tb la alegerea comisiei de receptie;
> se verifica interschimbabilitatea pompei de balast cu pompa de santina la cererea comisiei;
> se verifica posibilitatea umplerii cu pompa de balast a tancurilor mixte din dublul fund prin distribuitoare si grupurile instalatiei de ambarcare / transfer combustibil;
> se efectueaza manevrari de valvule in concordanta cu cerintele functionale ale instalatiei la alegerea comisiei.
9.6.5. Elemente de exploatare, intretinere si reparatii pentru instalatia de balast
In scopul mentinerii navei in exploatare, in intervalul de timp intre doua reparatii planificate, se vor executa periodic, lucrari de intretinere a instalatiilor. Intretinerile se clasifica in :
> intretineri zilnice (pe fiecare cart);
> intretineri periodice, impartite la randul lor in doua categorii.
Din prima categorie fac parte lucrarile care se executa de catre echipaj la un anumit numar de ore de functionare fara scoaterea navei din exploatare, in timpul mersului.
Din a doua categorie fac parte lucrarile care se executa in conditii de stationare a navei, cu scoaterea din exploatare pe o perioada de timp mai mica de 15 zile.
Intretinerea zilnica vizeaza : curatirea, ungerea utilajului si remedierea diferitelor piese.
Intretinerea periodica se efectueaza la un anumit numar de ore de functionare la utilaje, prin operatiuni de :
> gresarea si completarea cu ulei;
> curatirea;
> inlocuirea sau curatirea filtrelor;
> verificari ale functionarii instalatiilor electrice. Defectiuni de functionare ale filtrelor de namol :
> infundarea sitei filtrului cu particule materiale antrenate de apa, se depisteaza prin cresterea depresiunii pe aspiratia pompei;
> neetanseitatea garniturii capacului (prinde aer fals) se manifesta prin neamorsarea pompei.
Pentru curatare se executa urmatoarele operatiuni:
> se desfac piulitele de la capac si se rabat suruburile;
> se scoate capacul;
> se scoate sita filtrului, se curata , se spala si se sterge in special suprafata de asezare a sitei;
> se monteaza sita tinandu-se cont de orificiul de intrare al apei;
> se verifica garnitura de etansare a capacului, se sterge suprafata de etansare si se unge cu un strat subtire de vaselina;
> se aseaza garnitura;
> se verifica etanseitatea capacului filtrului.
Pentru inlocuirea garniturilor noi la pompe se procedeaza astfel :
> se opreste pompa si se demonteaza presetupa;
> se scot garniturile uzate cu ajutorul unui tirbuson de marime corespunzatoare (se interzice utilizarea sculelor improvizate ca surubelnita, sarma etc);
> se curata bine locasul presetupei si suprafata arborelui pe care au ramas resturi de garnituri lipite;
> operatia se executa cu atentie pentru a nu zgaria suprafetele de etansare.
Garniturile moi sunt confectionate din fire subtiri din bumbac sau azbest, rasucite si impregnate cu seu sau unsoare gravitata .
Reparatiile necesare pentru instalatia de balast. Sistemul de reparatie prevenite planificate consta in :
a) Revizii tehnice, ce au ca scop:
> inlocuirea pieselor cu uzura rapida
> refacerea formei suprafetelor;
> inlaturarea defectelor mici, care nu pot fi remediate in timpul exploatarii instalatiei.
Aceste reparatii se executa in fiecare an .
Reparatii curente sunt cele de gradul 1 si 2 , RC1 si RC2 . Ele constau din demontarea completa a instalatiei in vederea revizuirii. Piesele uzate sunt inlocuite astfel incat sa fie asigurata functionarea lor pana la urmatoarea reparatie curenta.
b) Reparatiile capitale urmaresc ca instalatiile sa ajunga la parametrii de functionare cat mai apropiati de cei initiali, pentru o perioada mai indelungata.
In decursul reparatiei capitale se inlocuiesc trasee de tubulaturi si se modifica conform ultimelor cerinte ale conventiilor internationale .
Repararea pompei instalatiei de balast
Piesele cele mai expuse la uzura atat abraziva cat si coroziva sunt:
> rotorul;
> arborele;
> bucsa de protectie;
> etansarea mecanica sau etansarea moale
> lagarele
Partile cele mai expuse uzurii arborelui sunt:
> portiunile pe care freaca inelele de etansare din cauciuc
> partile care vin in contact cu lichidul vehiculat (apa) si care sunt expuse uzurii prin coroziune.
Arborele pompei este supus deformatiei de incovoiere si torsiune . Repararea arborelui, in cazul in care nu a fost procurat ca piesa de schimb, poate fi realizat prin:
> confectionarea unui arbore nou;
> reconditionarea arborelui vechi;
Incovoierea arborelui poate surveni in timpul functionarii, datorita unor socuri la pornire, variatii bruste ale sarcinii de refulare. Remediul consta in indreptarea acestuia cu ajutorul unor piese mecanice cu surub sau piese hidraulice. Incalzirea poate fi facuta la cald sau la rece. Nu este recomandabil ca incalzirea sa se faca cu flacara oxiacetilenica.
Canalele de pana deformate pot fi reparate prin largirea canalului existent, ceea ce impune confectionarea unei alte pene sau prin practicarea unui alt canal de pana pe partea opusa.
Rotorul reprezinta una dintre cele mai importante piese ale pompei si de aceea se recomanda ca in caz de uzura (ciupituri, discontinuitatea ale formei, subtieri de pereti etc.) sa se inlocuiasca cu altul original.
Demontarea pompei din instalatie si transportarea ei la un atelier pentru verificare se face in momentul cand nu mai realizeaza parametrii functionali sau se defecteaza .In aceasta situatie se demonteaza pompa in partile componente si se verifica fiecare piesa.
Este recomandabil ca operatia de demontare si montare sa se faca intr-o anumita ordine stabilita printr-un proces tehnologic intocmit pe baza desenului de ansamblu al pompei.
Defectiuni si moduri de remediere ale instalatiei
Prin defectiune intelegem o perturbare in bunul mers al instalatie.
Prin defectare intelegem imposibilitate de a mai functiona instalatia.
Defectiuni privind pompa de balast
Pompa nu se amorseaza
Cauze :
> sorbul nu indeplineste conditia de etanseitate astfel ca umplerea pompei cu lichid nu poate fi asigurata. Se demonteaza sorbul si se verifica starea suprafetei de etansare a sorbului si a clapetei de revenire; suprafata de etansare poate prezenta urme de corodare, zgarieturi sau lovituri, acestea se vor remedia prin prelucrare mecanica sau slefuire cu smirghelul fin in functie de adancimea rizurilor. Se verifica daca clapeta nu ramane blocata in pozitia deschis datorita uzurilor la sistemul de ghidare sau articulare, se vor inlocui piesele uzate .
> traseul conductei de aspiratie nu este etans. Se verifica etanseitatea conductei de aspiratie pentru a preveni patrunderea aerului in sistemul de aspiratie prin eventualele fisuri, pori sau garnituri.
> valoarea neta pozitiva de aspiratie disponibila este mai mica decat cea necesara. Se verifica daca sita sorbului este infundata, si daca nivelul minim al lichidului din rezervorul de aspiratie este mai scazut decat cel pentru care a fost vizata pompa.
Pompa se dezamorseaza.
Aceasta defectiune se manifesta prin oscilatii ale debitului ce se transmit aparatelor de masura si zgomotului uniform al pompei se modifica .
Cauze :
> debitul pompei este mai mare decat debitul de colectare a lichidului prin structura de rezistenta la sorb , acesta ramane descoperit si patrunde aerul in
conducta de aspiratie. Se verifica nivelul lichidului in rezervorul de aspiratie si se iau masuri ca acesta sa nu scada sub nivelul minim al sorbului
>
patrunderea
aerului in sistemul de aspiratie datorita unor cauze accidentale.
Se verifica etanseitatea
traseului de tubulaturi pe aspiratie , se strang suruburile slabite, se schimba garniturile defecte .
> cresterea sarcinii pe aspiratie peste limita admisa de pompa; Se verifica daca sita sorbului este infundata si se inlatura posibilele obiecte voluminoase uitate pe traseul de tubulaturi care stranguleaza sectiunea de trecere a apei.
Pompele nu realizeaza debitul.
Cauze :
> lipsa lichidului in rezervorul de aspiratie. Se verifica nivelul in rezervorul de aspiratie.
> amorsarea pompei nu este realizata. Se verifica amorsarea: pompei prin strangularea treptata a aspiratiei sau refularii , constatandu-se daca vidul pe aspiratie sau presiunea pe refulare cresc, rezulta ca pompa este amorsata. Daca depresiunea pe aspiratie sau presiunea pe refulare nu cresc rezulta ca pompa este dezamorsata, se opreste si se amorseaza din nou.
> strangulari pe conductele de aspiratie sau refulare, micsorand sectiunea de trecere a lichidului. Se verifica deschiderea completa a valvulelor, luandu-se masuri pentru deschidere. Se verifica daca alte obiecte sunt ramase in conducta .
> sita sorbului este infundata;
> sensul de rotatie al masinii de antrenare cu cel marcat pe pompa, luandu-se masuri ca acesta sa fie in acelasi sens;
> pungi de aer pe traseul de aspiratie. Se verifica modul de executie al traseului de conducte astfel incat sa fie eliminata posibilitatea formarii pungilor de aer, traseul trebuie sa fie numai crescator si orizontal.
> turatia nominala a pompei nu poate fi realizata datorita unor defectiuni la masina de antrenare sau sistemul de transmisie. Se verifica turatia pompei cu ajutorul unui tahometru : daca turatia este diferita de cea a masinii de antrenare se verifica cuplajul.
> uzuri pronuntate la rotoare si la inelul labirint al acestuia provocate de particulele in suspensie.
Se masoara uzura si se reconditioneaza rotorul sau se inlocuieste refecandu se jocurile de montaj initiale .
Pompa nu realizeaza inaltimea de refulare
Deranjamentele privind inaltimea de refulare se executa citind indicatiile manometrului racordat la flansa de refulare a pompei.
Cauzele care realizeaza nerealizarea debitului sunt valabile si pentru inaltimile de refulare.
9.6.7. Defectiunile masinii de antrenare
Motorul nu poate fi pornit.
Cauze:
> linia de alimentare este lipsita de tensiune. Se verifica alimentarea din TPD
> conexiunile sunt gresit executate. Se verifica conexiunile triunghi sau stea daca corespund tensiunii retelei si se verifica daca aceste conexiuni corespund cu bobinajul motorului electric.
> legaturile bornelor sunt slabite sau murdare. Se curata de praf si unsoare, iar piulitele se vor strange ferm.
>
intreruperi intr-una
din infasurarile statorului (motorul lucreaza in doua
faze).
Se verifica daca toate
fazele sunt sub tensiune.
Motorul se supraincalzeste (gradul de incalzire se va verifica prin palpare cu mana). Incalzirea normala a motorului electric se manifesta sub forma de :
> incalzire foarte puternica localizata in diverse portiuni;
> incalzire uniforma a bobinajului, dar
care depaseste cu mult limita de temperatura admisa.
Cauzele supraincalzirii locale:
>
scurtcircuit in
pachetul de tole. Remedierea se face de catre ateliere
specifice de intretinere.
>
contacte
necorespunzatoare intre bobinele statorului. Se vor reface
legaturile motorului.
> scurtcircuit intre spirele unei bobine. Motorul se
remediaza in ateliere
specializate.
Cauzele incalzirii uniforme a bobinajului:
> supraincarcarea motorului. Se verifica elementele pompei care pot crea suprasarcini, corectitudinea montajului pompei si a instalatiei
> ventilatia deficitara. Se verifica daca ventilatorul are toate palele iar acestea nu trebuie sa fie deformate. Se verifica starea de curatenie a motorului care influenteaza regimul de racire al motorului.
> tensiunea de alimentare redusa;
> contacte slabite sau murdare;
> conexiuni gresite;
> dereglari de ordin mecanic;
Se completeaza sau se schimba unsoarea lagarelor si a rulmentilor. Se verifica rigiditatea postamentului in miscarea de rotatie.
3. Motorul nu dezvolta puterea necesara.
Concluzii
In aceasta lucrare au fost dezbatute problemele privind proiectarea si exploatarea instalatiei de balast a unui bulk-carrierk de 65000 tdw.
Pornind de la dimensiunile principale ale navei (lungime maxima, lungime intre perpendiculare, latime si inaltime de constructie), s-a proiectat instalatia de balast ce are rolul de a corecta pozitia centrului de masa al navei prin ambarcarea, transferarea si evacuarea peste bord a apei din tancurile de balast in conditii normale de exploatare. Ea poate proveni din scapari prin presetupele armaturilor de inchidere si a tubului etambou, purjarea sticlelor de nivel, condensarea pe bordaje a vaporilor de apa din aer, spalarea puntilor de sub linia de plutire si stingerea incendiilor.
Intrucat instalatia de balast este formata din circuite de balastare si circuite de drenare interdependente intre ele pot avea pompe comune si portiuni comune de conducte. Aceasta instalatie are o destinatie permisa de agentul de lucru, apa de mare, ceea ce duce la amplasarea instalatiei pe fundul navei. Se obtine astfel utilizarea unui numar mic de pompe, tubulaturi de lungime mai redusa si deci se reduc masa si volumul instalatiilor.
Cerintele impuse instalatiei de balast sunt: sa asigure corectarea pozitiei centrului de masa al navei conform necesitatilor impuse de stabilitatea navei in timp util; sa dreneze sau sa umple complet tancurile, atat pentru nave cu asieta dreapta cat si pentru inclinari indelungate, longitudinal si transversal 5; sa functioneze astfel incat sa existe posibilitatea inundarii arbitrare a navei; sa nu existe riscuri de poluare ale acvatoriilor cu apa amestecata cu hidrocarburi sau cu alte produse prevazute in conventiile internationale (MARPOL); sa corespunda conditiilor impuse de registrele de clasificare la construirea navelor si a echipamentelor; sa dispuna de mijloace de conducere a apei catre locurile de colectare; sa fie executate din elemente componente rezistente la apa de mare; sa aiba cat mai putine fitinguri mobile si armaturi; sa permita comanda de la distanta a armaturilor acolo unde este cazul.
Bulk-carrier-ul, datorita densitatii mari a marfii (p = 4000 kg/m3) si odata cu incarcarea ei, isi va cobori centrul de greutate cerand astfel o stabilitate excesiva a navei. Prin exceptie, la acest tip de nava sunt utilizate tancuri de balast - aripa plasate sub puntea principala.
La proiectarea instalatiei de balast s-a tinut cont de prevederile R.N.R. cu privire la tubulaturi si armaturi, materiale de constructie, pompe, actionari hidraulice si automatizare. Au fost enumerate principalele elemente componente ale instalatiei de balast si principiile de functionare ale acestora.
S-au constatat diferente foarte mici intre parametrii functionali ai instalatiei de balast de la nava si parametrii obtinuti in urma calculului din aceasta lucrare. Sunt descrise principalele elemente ale schemei hidraulice de actionare de la distanta a valvulelor de balast. Tot in acest capitol sunt aratate principalele avantaje ale automatizarii instalatiei si functiile sistemului de automatizare din cadrul instalatiei de balast.
Prezenta lucrare mai dezbate atat principalele deranjamente si defectiuni ale elementelor instalatiei de balast, cat si remedierea acestora.
In cursul proiectarii acestor instalatii am urmarit indeaproape aceste cerinte impuse instalatiilor si am reusit sa obtin rezultatele scontate si sa ma incadrez in cadrul valorilor impuse de registrele de clasificare (R.N.R.).
Prin realizarea acestei lucrari s-a urmarit punerea in aplicare a cunostintelor asimilate in domeniul instalatiilor de bord, automatizarii instalatiei, mecanismelor de actionare hidraulica si exploatarea, intretinerea si repararea sistemelor auxiliare de bord.
In lucrarea de fata nu au fost aduse imbunatatiri pentru instalatia de balast a navei de 65000 tdw.
ANEXE
Grafice - Stabilirea caracteristicilor principale
Tabele - Calculul rezistentei la inaintare
Grafic - Calculul rezistentei la inaintare totale si a puterii instalatiei de propulsie
Tabele - Bilantul energetic
|
Politica de confidentialitate | Termeni si conditii de utilizare |
Vizualizari: 6262
Importanta: ![]()
Termeni si conditii de utilizare | Contact
© SCRIGROUP 2025 . All rights reserved