| CATEGORII DOCUMENTE |
| Astronomie | Biofizica | Biologie | Botanica | Carti | Chimie | Copii |
| Educatie civica | Fabule ghicitori | Fizica | Gramatica | Joc | Literatura romana | Logica |
| Matematica | Poezii | Psihologie psihiatrie | Sociologie |
Unde stationare
Un caz particular al interferentei undelor este producerea undelor stationare.
Definitie: Undele stationare se
obtin prin compunerea a doua unde
plane cu aceeasi amplitudine si pe-
rioada.
Sa presupunem ca o unda se pro-
paga de-a lungul unei drepte AA' nu-
mita si unda directa. In punctul A' a-
ceasta unda se reflecta si pierde o ju-
matate de lungime de unda.
Fig. 7.9 Dispozitiv experimental pentru pune-
rea in evidenta a undelor transversale in corzi vibrante.
Ecuatia undei directe este:
(7.24)
iar ecuatia undei reflectate este:
(7.25)
Prin compunerea celor doua unde obtinem:
(7.26)
care se poate scrie sub forma:
(7.27)
care are amplitudinea maxima pentru:
(7.28)
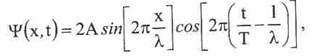
astfel:
(7.29)
Punctele care au valori maxime ale amplitudinii se numesc ventre.
Iar amplitudinea
minima se obtine pentru:
(7.30)
astfel:
(7.31)
Punctele care au valori minime ale amplitudinii se numesc noduri.

Fig. 7.10 Modurile de vibratie, fundamentala si primele trei armonice, intr-o coarda vibranta. Aparitia nodurilor si a ventrelor.
|
Politica de confidentialitate | Termeni si conditii de utilizare |
Vizualizari: 4369
Importanta: ![]()
Termeni si conditii de utilizare | Contact
© SCRIGROUP 2025 . All rights reserved