CATEGORII DOCUMENTE |
Astronomie | Biofizica | Biologie | Botanica | Carti | Chimie | Copii |
Educatie civica | Fabule ghicitori | Fizica | Gramatica | Joc | Literatura romana | Logica |
Matematica | Poezii | Psihologie psihiatrie | Sociologie |
Exercise
Sa se rezolve sistemele:
,
Solutia este:
,
Solutia este:
,
,
Nu are solutie.
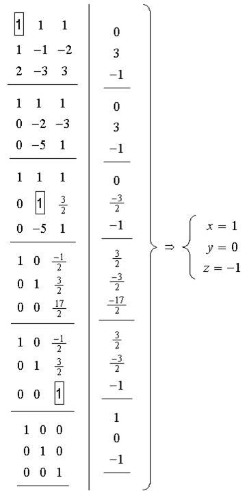
Solution
Metoda pivotului aplicata acestui sistem are urmatoarea forma:
.
Solutia
sistemului se citeste pe coloana din
ultimul tabel si este
.
Matricial, operatiile pentru fiecare pivot sunt urmatoarele (folosind matrici elementare):
,
,
.
Identitatea
matriciala obtinuta pornind de la matricea initiala si
terminand cu matricea finala
(folosind
matrici elementare) este:
.
.
Se
observa ca algoritmul nu mai poate fi continuat deoarece in ultimul tabel
ultima linie (corespunzatoare necunoscutelor) este nula. Deoarece si elementul
corespunzator coloanei este
nul, rezulta ca sistemul este compatibil
nedeterminat.
Solutia
sistemului este
3.
Sistemul
este incompatibil.
Exercise
Fiind
data matricea ,
sa se calculeze
.
Solutie:
Proba:
Sa se rezolve urmatoarele sisteme:
1.
Atasam matricii determinantul
care este diferit de 0 deci putem rezolva sistemul prin metoda pivotului pentru
determinarea solutiilor
Pastram ca pivot elementul a
si avem:
urmeaza a
pivotul urmator este a
si, in final, a
2.
Atasam matricii determinantul
care
este
diferit de 0 deci putem rezolva sistemul prin metoda pivotului pentru determinarea solutiilor
Pastram
ca pivot elementul a
si avem:
urmeaza a
pivotul urmator este a
si,
in final, a
3.
Atasam matricii determinantul
care
este
diferit de 0 deci putem rezolva sistemul prin metoda pivotului pentru determinarea solutiilor
Pastram
ca pivot elementul a
si avem:
urmeaza a
pivotul urmator este a
si,
in final, a
4.
Atasam matricii determinantul
care
este
diferit de 0 deci putem rezolva sistemul prin metoda pivotului pentru determinarea solutiilor
Pastram
ca pivot elementul a
si avem:
urmeaza a
pivotul urmator este a
si,
in final, a
5.
Atasam matricii determinantul
care
este
diferit de 0 deci putem rezolva sistemul prin metoda pivotului pentru determinarea solutiilor
Pastram
ca pivot elementul a
si avem:
urmeaza a
pivotul urmator este a
si,
in final, a
6.
Atasam matricii determinantul
care
este
diferit de 0 deci putem rezolva sistemul prin metoda pivotului pentru determinarea solutiilor
Pastram
ca pivot elementul a
si avem:
urmeaza a
pivotul urmator este a
si,
in final, a
7.
Atasam matricii determinantul
care
este
diferit de 0 deci putem rezolva sistemul prin metoda pivotului pentru determinarea solutiilor
Pastram
ca pivot elementul a
si avem:
urmeaza a
pivotul urmator este a
si,
in final, a
8.
Atasam matricii determinantul
care
este
diferit de 0 deci putem rezolva sistemul prin metoda pivotului pentru determinarea solutiilor.
Facem o permutare intre liniile 1 si 2.
Pastram
ca pivot elementul a
si avem:
urmeaza a
pivotul urmator este a
si,
in final, a
9.
Atasam matricii determinantul
care
este
diferit de 0 deci putem rezolva sistemul prin metoda pivotului pentru determinarea solutiilor
Pastram
ca pivot elementul a
si avem:
urmeaza a
pivotul urmator este a
si,
in final, a
10.
Atasam matricii determinantul
care
este
diferit de 0 deci putem rezolva sistemul prin metoda pivotului pentru determinarea solutiilor
Pastram
ca pivot elementul a
si avem:
Facem o permutare intre liniile 3 si 2.
urmeaza a
pivotul urmator este a
si,
in final, a
11.
Atasam matricii determinantul
care
este
diferit de 0 deci putem rezolva sistemul prin metoda pivotului pentru determinarea solutiilor
Pastram
ca pivot elementul a
si avem:
urmeaza a
pivotul urmator este a
si,
in final, a
12.
Atasam matricii determinantul
care
este
diferit de 0 deci putem rezolva sistemul prin metoda pivotului pentru determinarea solutiilor
Pastram
ca pivot elementul a
si avem:
urmeaza a
pivotul urmator este a
si,
in final, a
13.
Atasam matricii determinantul
care
este
diferit de 0 deci putem rezolva sistemul prin metoda pivotului pentru determinarea solutiilor
Pastram
ca pivot elementul a
si avem:
urmeaza a
pivotul urmator este a
si,
in final, a
14.
Atasam matricii determinantul
care
este
diferit de 0 deci putem rezolva sistemul prin metoda pivotului pentru determinarea solutiilor
Pastram
ca pivot elementul a
si avem:
urmeaza a
pivotul urmator este a
si,
in final, a
15. ,
Solutia este:
Ex: 1/101
Sa se rezolve:
a)
A |
b |
|
|
|
|
|
|
|
|
S. C. D. ;
b)
A |
b |
|
|
|
|
|
|
|
|
S. C. D. ;
c)
A |
b |
|
|
|
|
|
|
|
|
S.C.D.;
Ex: 2/102
Sa se rezolve:
a)
A |
b |
|
|
|
|
|
|
S.C.N.
b)
A |
b |
|
|
|
|
|
|
|
|
S.C.N.;
Ex:3/103
Sa se rezolve:
a),
A |
b |
|
|
|
|
|
|
S. C. DN.
b)
A |
b |
|
|
|
|
|
|
S. C. DN.
Ex: 4/105
Sa se rezolve:
a)(A)
Daca m S.C.D
|
|
|
|
|
|
|
|
Daca m=1, Sistemul devine:
A=(A)
|
|
|
|
|
|
S.C.DN.
Daca m=-1, Sistemul devine:
A=(A)
|
|
|
|
|
|
S.C.DN.;
b)
|
|
|
|
|
|
Daca m=5, S.C.N.;
Daca mS.C.D
|
|
|
|
c)
|
|
|
|
|
|
Daca m1,
Sistemul devine:
|
|
|
|
Daca m=1, Sistemul devine:
|
|
Ex:5/106
Sa se rezolve:
Daca m0,
n
1,Sistemul
devine:
|
|
|
|
|
|
|
|
Daca m=0, Sistemul devine:
|
|
|
|
Deoarece bS.I
Daca m0,
n=1, Sistemul devine:
(A)
|
|
|
|
|
|
daca m,S.I.
daca m=stemul
devine
|
|
|
|
|
|
S.C.N.;
Ex:6/107
Sa se rezolve:
|
|
|
|
|
|
|
|
S.C.D.;
Ex:7/108
Sa se determine astfel
ca determinantul principal al sistemului sa fie de rang doi si sistemul
compatibil.
|
|
|
|
|
|
Ex: 8/109
Sa se determine m
astfel incat sistemul sa fie compatibil determinat.
|
|
|
|
|
|
Sistemul este compatibil
determinat
Ex: 9/109
Sa se determine parametrii astfel
incat sistemul sa fie compatibil nedeterminat.
|
|
|
|
|
|
Daca ,
S.C.N
Ex: 10/110
Sa se rezolve sistemul matricial
Se considera .Sistemul
se scrie:
|
|
|
|
|
|
|
|
|
|
Ex: 11/110
Sa se rezolve sistemul matricial:
Fie cu
Se inmulteste la dreapta ecuatia
a doua cu si
se obtine:
Daca din prima ecuatie a sistemului se scade aceasta ecuatie si se obtine:
Aceasta egalitate o inmultim la dreapta cu inversa matricii
care
este
si
se gaseste
Ex:1/112
Sa se rezolve:
|
|
|
|
|
|
|
|
Ex: 2/112
Sa se rezolve:
|
|
|
|
|
|
|
|
Ex: 3/112
Sa se rezolve:
|
|
|
|
|
|
|
|
Ex: 4/112
Sa se rezolve:
|
|
|
|
|
|
|
|
3.1 Fie sistemul de ecuatii liniare :
a. Cate solutii de baza are sistemul ?
b. Determinati, daca este posibil , trei solutii de baza.
Rezolvare :
a. Fie A=
. Intrucat
rezulta
ca sistemul este
dublu nedeterminat iar o solutie de baza are cel mult doua componente nenule.
b. Trebuie sa eliminam din sistem o ecuatie,de exemplu pe a doua; vom gasi
solutiile de baza (care sunt in
numar de cel mult )
pentru sistemul :
Vom nota cu a
vectorul corespunzator variabilei
,
.
Baza |
Necunoscute Principale |
|
|
|
|
|
|
|
|
||
|
|
||
|
|
|
|
|
|
|
|
Am obtinut solutiile de baza :
,
,
3.2 Fie sistem de ecuatii liniare :
Care dintre vectorii de mai jos sunt solutii de baza ale sistemului dat :
a. ;
b.
;
c.
;
d.
;
e.
.
Rezolvare :
Intrucat ,
o solutie de baza pentru sistemul dat trebuie sa indeplineasca conditiile :
-Sa fie un vector in .
-Sa verifice sistemul.
-Sa aiba cel mult doua componente nenule si vectorii corespunzatori acestora sa fie liniar independenti.
a. deci nu poate fi solutie de baza.
b. , dar are trei comonente nenule, deci nu
poate fi solutie de baza.
c. , verifica sistemul , iar componentele
,
corespund
vectorilor
,
care formeaza baza in .
Deci
este
solutie de baza.
d. , are doua componenete
,
care
corespund vectorilor
,
care
sunt
liniar independenti. Vectorul nu
este insa solutie de baza a sistemului, deci nu poate fi solutie de baza.
e. deci nu poate fi solutie de baza.
3.3 Fie sistemul de ecuatii liniare :
a. Calculati toate solutiile de baza.
b. Scrieti vectorul in
baza data de vectorii
unde
este
vectorul corespunzator lui .
Rezolvare: Folosind metoda Gauss-Jordan pentru solutionarea problemei avem :
|
|
|
|
|
|
|
|
|
|
|
|
Din aceste calcule reiese ca ,
deci solutia de baza trebuie sa aiba
maximum doua componente nenule.
Din iteratiile rezulta
ca solutiile
de baza sunt : ,
,
.
b. Deoarece nu
formeaza baza, problema nu are sens.
3.4 Sa se scrie toate solutiile de baza ale sistemului :
care contin nenuli.
Rezolvare : Deoarece ,
rezulta ca o solutie de baza contine doar pe
si
.
Din primele doua relatii avem :
Sistemul are deci o singura solutie de baza care indeplineste conditia ceruta.
Calculati toate solutiile de baza ale sistemului :
Rezolvare :
Baza |
Necunoscutele principale |
|
|
|
|
|
|
|
|
|
|
|
|
|
|
|
|
|
|
|
|
|
|
|
|
|
|
Observam ca nu
este baza in
,
deci nu poate da o solutie de baza.
Sa se determine o solutie de baza a sistemului :
Rezolvare : Sistemul de ecuatii liniare corespunzatoare este :
Deoarece ,
formeaza
o baza in
putem
cauta o solutie de baza luand
Varianta 1 : Avem
Varianta 2 : Notam cu B matricea
bazei respective ,adica .
Avem si
adica
Fie vectorii :
,
,
,
,
,
a. Sa se scrie sistemul corespunzator ecuatiei vectoriale :
b. Sa se determine solutia de
baza corespunzatoare bazei .
Rezolvare :
a. Obtinem sistemul de ecuatii liniare :
b. Avem deci
o solutie de baza trebuie sa aiba cel mult trei componente nenule. Fie
matrice
bazei
Solutia de baza corespunzatoare
este .
Aplicam metoda eliminarii complete.
|
|
|
|
|
|
|
|
|
|
Solutia de baza este :
3.8 Fie sistemul de inecuatii :
Sa se scrie sistemul de inecuatii atasat , sa i se afle solutiile de baza si , dintre acestea,
solutiile corespunzatoare sistemului de inecuatii.
Rezolvare :
Inmultim relatia a doua cu si introducem variabilele de compensare
:
Baza |
Necunoscute principale |
|
|
|
|
|
| |
|
|
|
|
|
|
|
|
|
|
|
|
|
|
|
|
|
|
|
|
|
|
|
|
|
|
|
|
|
|
|
|
|
|
|
|
|
|
|
|
|
|
|
|
|
|
|
|
|
|
|
|
|
|
In total sunt cel mult solutii
de baza.
Fie sistemul de inecuatii :
Scrieti sistemul de ecuatii atasat, aflati trei solutii de baza ale lui si
solutiile corespunzatoare ale sistemului de inecuatii.
Rezolvare : Inmultim relatia a
doua si a treia cu si adaugam :
,
,
,
Baza |
Necunoscute Principale |
|
|
|
|
|
|
| |
|
|
|
|
|
|
|
|
|
|
|
|
|
|
|
|
|
|
|
|
|
|
|
|
|
|
|
|
|
|
3.10 Fie sistemul de inecuatii :
a. Scrieti sistemul de ecuatii atasat, aflati cinci solutii de baza ale
lui si solutiile corespunzatoare sistemului de inecuatii.
b. Fie
Pentru care din solutiile de baza de la a. f isi atinge maximul ?
Rezolvare : Sistemul de ecuatii este :
Avem :
Baza |
Necunoscute principale |
|
|
|
|
|
|
|
|
|
|
|
|
|
|
|
|
|
|
|
|
|
|
|
|
|
|
|
|
|
|
|
|
|
|
|
|
|
|
|
|
|
|
|
|
|
|
|
|
|
|
|
|
a.
Observam ca nu
este solutie a sistemului de inecuatii (
).
Avem :
b.
Observam ca pentru isi
atinge maximul; solutia este degenerata deoarece nu are doua componente nenule.
Rezolvati urmatoarele sisteme folosind metoda pivotului :
5) 6)
7) 8)
9) 10)
11) 12)
13) 14)
15) 16)
17) 18)
19) 20)
21)
5)
6)
7)
8)
18)
19)
20)
21
9)
11)
12)
14)
15)
16)
17)
10) Sistemul
nu are solutii diferite de 0
13) Sistemul
are solutii diferite de 0
Alegem rang
A=2
x=necunoscuta
secundara=
2.1/pg 11
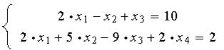
Sa se rezolve sistemele de ecuatii liniare:
Rezolvare: Metoda Gauss
|
b |
b |
|
|
|
|
|
|
|
|
|
|
|
|
|
|
|
2.2/pg 12
Sa se rezolve sistemul:
afland
si
,unde
este
matricea sistemului.
Rezolvare:
A |
I |
b |
|
|
|
|
|
|
|
|
|
|
|
|
2.3/pg 13
Sa se rezolve ecuatia matriciala
,
unde:
Rezolvare:
|
|
|
|
|
|
|
|
2.4/pg 14
O matrice nesingulara de ordinul (3,3) are inversa:
Dterminati matricea
Rezolvare:
|
|
|
|
|
|
|
|
|
|
This document created by Scientific WorkPlace 4.0.
Politica de confidentialitate | Termeni si conditii de utilizare |
Vizualizari: 6056
Importanta:
Termeni si conditii de utilizare | Contact
© SCRIGROUP 2025 . All rights reserved