| CATEGORII DOCUMENTE |
| Astronomie | Biofizica | Biologie | Botanica | Carti | Chimie | Copii |
| Educatie civica | Fabule ghicitori | Fizica | Gramatica | Joc | Literatura romana | Logica |
| Matematica | Poezii | Psihologie psihiatrie | Sociologie |
Invatarea
Invatarea nu este un fenomen exclusiv uman, exclusiv social; se intalneste in conduita animalelor in toata lumea, ea fiind legata de o proprietate fundamentala a materiei: supletea, adaptabilitatea, plasticitatea. Animalele invata.
Un etolog francez Barnet (?), intr-o carte "Instinct si inteligenta" spune urmatorul lucru: "cand un animal hoinareste fara tel prin jungla, prin savana, el nu admira peisajul, ci aduna informatii in legatura cu spatiul sau de viata".
In general, evolutia fiintelor vii decurge ca o coarticulare complexa intre datul genetic, genotip si mediu. Datul genetic furnizeaza partea stabila a comportamentului si ea se manifesta identic la toti componentii aceleiasi specii. Datul de mediu fiind foarte variabil, foarte schimbator, incita organismele vii la asi construi noi forme comportamentale, noi conduite de raspuns. Astfel conduite cum ar fi hranirea, facerea cuiburilor, teserea plasei la paianjen, evitarea pericolului, instruirea puilor, curtarea unui partener de sex opus, sunt acte conditionate genetic dar pe fondul carora se structureaza o masa mare de acte de invatare. Mediul declanseaza fenomenul invatarii, el introduce permanente si imprevizibile nuante individuale in comportamentul de specie a individului. Organismele biologice mai ales cele superioare invata foarte multe lucruri:
invata sa diferentieze stimulii;
invata anumite forme de miscare;
invata drumul catre un adapost;
invata sa stea la panda, sa-si caute hrana, sa-si urmareasca prada, sa o prinda intr-o capcana;
adopta chiar conduite stimulate pentru a intarata adversarul.
Insa nici un sistem viu sau neviu nu realizeaza un cuantum al actului de invatare fata de altul, cum il realizeaza omul. Specia umana dispune de cea mai mare variabilitate genetica si comportamentala si totodata de aptitudinea de asi insusi cele mai variate experiente de viata. Astfel ca pe fondul unei constructii genetice, unice pentru fiecare individ in parte se structureaza destinul personal al fiecaruia dependent de efortul de a invata.
Invatarea umana nu este nici ea un fenomen indivizibil. Exista o invatare scolara, o invatare prescolara si postscolara. Astfel ca omul toata viata invata. Interesant ca experientele de invatare pe care le face copilul in primul an de viata, sunt f. importante pt. evolutia sa ulterioara, sunt decisive chiar : astfel copilul vine pe lume cu anumite cerinte, cu anumite nevoi, iar mediul ambiant vine cu anumite oferte. Intre cerinte si oferte se naste un dialog activ care devine motoul dezvoltarii fiintei. Acest dialog activ intre nevoi si oferte, intre dorinte si ceea ce ii ofera societatea, are mai multe efecte care in mare ar fi urmatoarele: ceea ce era haotic in conduita copilului la inceput, incepe a se rafina si integra astfel ca, privirea copilului, la inceput fara tinta, se centreaza pe obiect. Copilul devine capabil sa se orienteze spre sunet, el se angajeaza la inceput intr-un activism senzorial f. puternic, activism motor f. dezvoltat si intr-o relationare afectiva f. complexa. Rezulta ca miscarea, fonoarticulatia si evolutia mentala merg mana in mana. Pe la 6 luni copilul devine capabil se coordonari senzorio-motor, devine capabil de conduite anticipative, dezvolta o alta conduita de explorare a ambiantei. Chiar cand si mama il tine doar in brate exploreaza ambianta. Activismul motor este f. important pentru ca ii permite lui sa vada mai mult, sa observe mai mult, sa capete experienta in ambianta. Aceasta explorare chinestezica, bucala, este f. importanta pentru evolutia sa ulterioara. Pe la 10 luni se constata ca copilul face primele lui tentative de a se desprinde de pamant, de a se ridica in pozitie verticala. Conduita mersului are niste legaturi colosale pt. autonomia sa comportamentala. Aceasta autonomie motorie ii confera lui o anumita pozitie motivationala ulterioara, simte ca nu mai depinde de adult, e mai interesat. Aceasta pozitie motivationala il stimuleaza pentru a face noi achizitii. Totodata il incepe, datorita influentelor din jur, sa si vorbeasca; aceasta duce la o dezvoltare colosala.
In creuzetul experientelor de pana la un an de zile sunt considerate mari achizitii ale invatarii: comunicarea verbala, miscarea coordonata, relatia interpersonala si trairile emotionale. Copilul nu are logica folosirii obiectelor. Sub actiunea adultului copilul descopera logica lucrurilor, preia aceasta logica, o asimileaza, invata ceva nou. De la inceput, in cazul copilului, activitatea lui de invatare este subsumata unor modele infatisate de adult, care dezvolta noua logica a lucrurilor si il fereste pe copil de accidental. Animalul invata prin incercare si eroare. Copilul preia modele comportamentale gata preparate, elaborate, si scurteaza foarte mult drumul spre descoperirea noului. Faptul ca merge la scoala: are parte de o forma structurata de influente care il ajuta in actul de invatare. De aceea scoala are datoria de a-l invata altfel.
Definitia invatarii:
Invatarea este un proces evolutiv de esenta informativ - formativa,constand in preluarea, prelucrarea si valorificarea interna a experientei individuale de viata din perspectiva utilizarii ei pentru ameliorarea si optimizarea conduitei .
Invatarea este un proces evolutiv, asta inseamna ca ea se perfectioneaza pe parcurs, este un proces perfectibil. Rezulta ca este un proces tridimensional invatarea, constand in receptarea informatiei, prelucrarea ei, valorificarea ei in vederea rezolvarii anumitor probleme. De regula, traditional, invatarea a fost redusa la prima veriga, la veriga receptorie. Din pacate in practica, receptam informatia si atat, nu prelucram, nu valorizam informatia. De asemenea invatarea este un proces activ - explorativ adica depunem un efort pentru a invata, suntem activi; este o activitate a creierului.
Invatarea este o activitate a celui care invata si ca activitate are avantajul ca poate fi derulata pe etape de lucru, pe faze, realizand o procesualitate foarte ampla a insusirii cunostintelor, nu deodata, ci lucrand treptat. Ca activitate, invatarea ne permite sa o modelam tehnic, sa o optimizam, s-o programam chiar, si prin aceasta noi ajungem pana in planul dezvoltarii. Rezulta ca este un proces care concura la optimizarea conduitei de raspuns a celui care invata, il ajuta sa fie mai adaptat la mediu, mai echilibrat. Este un proces foarte complex, care comporta multiinginerie psihica pentru a o concepe,derula si evalua corect, optim.
Invatarea poate fi analizata structural. Ea prezinta 2 laturi fundamentale:
latura obiectuala ;
latura procesuala.
Prima se refera la ce se invata, la continuturi iar cea de-a doua la cum se invata.
O data cu intrarea in scoala a copilului apare distinctia dintre invatarea in sens larg al cuvantului si invatarea in sens restrans( scolar). Aceasta invatare scolara este un proces specializat, compartimentat pe diverse obiecte de invatamant, pe mai multe domenii de cunoastere. Obiectul de invatamant este un concept pedagogic si inseamna expresia globala a unui domeniu de cunoastere oarecare, care se constituie ca obiect de predare mare, uneori f. mare, de ani de zile. Este un proces psihologic care desemneaza faptul ca de fiecare data cand predam anumite cunostinte noi concentram atentia copilului, o focalizam pe anumite dominante informationale si operationale. Este o modalitate de a structura obiectul de invatamant, cu fiecare lectie noi invatam ceva nou si folositor. Acest obiect al invatarii este variabil de la o lectie la alta, este reflectat in proiectul de lectie si schimba caracteristica de la o lectie la alta. Obiectul de invatamant este constanta, iar celalalt este variabila (se schimba foarte des).
Cunostintele care se invata in scoala sunt extrase din stiinta si sunt prelucrate special pentru a putea fi incorporate intr-un obiect de invatamant oarecare. Aceste cunostinte stiintifice sunt niste reflectari generalizate ale realitatii, si totodata sunt niste sisteme de semne, de simboluri prin care inlocuim aceasta realitate si o transformam in stiinta de carte. Prin aceste cunostinte noi inlocuim activitatea practica cu o activitate de cunoastere propriu-zisa.
Din acest p. d. v. cunostintele stiintifice este un element obiectiv, un element extrapsihic, obiectiv. Important din punct de vedere psihologic este faptul ca dincolo de notiuni si cunostinte se afla procedeele si normele activitatii umane, se afla anumite modele de actiune cu aceste cunostinte, care sunt fixate in ele.
Astfel ceea ce ar trebui sa formeze obiectul de invatamant in scoala sunt nu cunostintele ca atare ci acele procedee si norme de actiune. Aceste norme si procedee exprima faptul ca activitatea este alcatuita pe dinauntru din anumite componente, legate coerent intre ele si ca elevul luand in stapanire aceste componente reuseste sa rezolve nu doar o singura sarcina didactica, ci o clasa de sarcini.
In analiza aceasta a cunostintelor, pornind de la o anumita situatie obiectiva, o inlocuim pe aceasta cu anumite sisteme de semne, simboluri, ne miscam in aceasta lume de semne si simboluri, operam cu ele, invatam sa le decodificam si apoi revenim la situatia obiectiva.
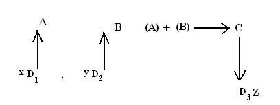
Exemplu: Un test de matematica
Dam unui copil prescolar urmatoarea sarcina: sa aduca de la magazin (care este o camera vecina cu cea in care ne aflam noi) atatea mingi cat sa fie de ajuns pentru copii din camera aceasta si camera cealalta, 2 camere. Pentru a rezolva aceasta sarcina, care este banala pt. adulti, copilul trebuie sa faca un lant de operatii, de actiuni:
numararea copiilor din cele doua camere;
sa adune cele doua numere de copii din cele 2 camere;
sa se duca la magazin;
sa numere mingile necesare in concordanta cu nr. de copii din ambele clase;
sa le aduca;
sa le imparta copiilor.
Avem urmatoarea schema reprezentativa:

x, y = multimile copiilor din cele 2 camere;
Δ1, Δ2 = operatii de numarare;
A, B, C = numere obtinute;
Δ3 = operatie de numarare a mingilor in concordanta cu numarul total de copii;
Z = multimea mingilor luate.
Rezulta urmatoarele constatari:
ca rezolvarea decurge ca un proces amplu, derulat in timp, decurge pe faze, etape de lucru.
ca rezolvarea decurge ca o miscare in 2 planuri; in plan inferior - obiecte reale adica copiii, iar un plan superior - obiectele ideale, materiale, numere.
Interesant ca cu obiectele din fiecare categorie se efectueaza actiuni specifice, care nu se confunda intre ele. Interesant ca in invatarea matematica tocmai aceasta operare cu simboluri ne intereseaza pe noi. Exista insa situatii scolare care comporta mai mult de doua planuri, de exemplu invatarea geometriei, comporta o miscare pe 5 planuri.
In continuare vom vedea care sunt acele straturi, planuri, de unde pornim si unde ajungem:
invatarea teoriei: definitii, concepte, axiome, clasificari etc. Aceste elemente prezente in geometrie, sunt f. abstracte, generale, esentializate, care s-au obtinut dupa un lung proces de cunoastere geometrica. Aceste structuri abstracte duc la invatarea mecanica a geometriei, nu o poate pune in practica. Ca urmare trebuie regandita invatarea geometriei in scoala, este nevoie de alt model actional. Geometria a aparut ca urmare a nevoii de orientare in spatiu, de a te misca in spatiul real, fizic. Masurarea suprafetelor este o actiune specifica, realizata cu anumite instrumente de lucru.
resimbolizarea obiectelor, prin imagini (figura, schita). Imaginea este un intermediar intre teorie si practica. Prin figura geometrica elevul, omul a inlocuit obiectul real cu cel ideal. Acest teren simbolizat ne permite sa facem diverse operatii speciale cu el, sa suprapunem terenuri, sa-l comparam si sa-l masuram simbolic. Aceste masuratori la nivel de schita ne conduc la a descoperii ca anumite figuri se pot combina intre ele, pot deveni complexe, se pot descompune in siguri mai simple, le putem reconstrui, simplifica, amplifica etc.
apoi putem trece la inceputul de teorie geometrica - apare aici nevoia exercitiului, a exemplificarii din realitate. Intai este prezenta teoria actionala, dupa care teoria prin act.
Luam ca exemplu istoria : ce se invata in scoala de obicei si ce ar trebui sa se studieze?
Istoria este stiinta evenimentelor consumate deja, stiinta a trecutului. Aceste evenimente ale trecutului pot fi foarte indepartate in timp, si ca atare nu le putem percepe direct, nici profesorul si nici elevul. Acest trecut istoric trebuie oarecum tratat cronologic:
cronologizare a evenimentelor istorice pe variabila timp, de la trecut la prezent ( mileniu, secol, deceniu, an, luna, zi etc.)
a-si imagina cum s-au petrecut acele evenimente, prin analiza unor exponate istorice;
sa vada locuri, imagini cu locuri, imagini, obiecte vechi, harti, schite, monumente istorice.
Astfel putem oferii elevului obiecte si informatii legate de trecut, acestea fiind percepute de elev direct de data aceasta, ii infatiseaza un scenariu de viata, il face sa retraiasca trecutul.
Exemple: Geometrie
Varianta 1.
ii invatam pe elevi niste notiuni generale, cu accept pe actiunea practica in spatiul de masurare;
ii antrenam in a reda figural spatiul masurat.
Aceste operatii le fac elevii insasi.
Varianta 2.
invatam aceleasi notiuni geometrice punand accent pe teorie, definitii, reguli, date de-a gata de experimentator;
testam efectul ambelor serii printr-un set de probe, situatii problematizate, care masoara rezultatul.
Prima varianta este mai eficienta. Organizarea aceasta mai nivelara a cunostintelor scolare este proprie nu numai geometriei si istoriei, ci oricarei discipline scolare. De exemplu: in cadrul invatarii la aritmetica a conceptului de numar, presupune a-i dezvalui copilului cum se ajunge la numar ca abstractie matematica finala, parcurgand mai multe etape de operare in cantitati reale, de comparare intre ele, de integrare in procesele logice.
De exemplu la gramatica: se stie ca este o stiinta foarte grea iar conceptele de gramatica sunt abstractii ale abstractiilor. Noi trebuie sa le atragem atentia elevilor asupra modului in care se utilizeaza limba in comunicarea interpersonala, cum mesajul pleaca de la receptor si ajunge la emitator.
Practic orice notiune stiintifica presupune aceasta derulare interna.
Tipuri de materiale de invatare
material descriptiv - contine indici de recunoastere a asemanarilor si deosebirilor dintre notiuni;
material explicativ - dezvaluie procesul formarii si transformarii materialului de invatat si a coarticularii lui prin relationari logice componentele materialului;
material prescriptiv - contine regulile, normele, legile, principiile de transformare a oricarui material de invatat;
material de legatura - face tranzitia de la un modul la altul si care unifica intr-un tot toate formele de material;
material aplicativ - cuprinde/este suportul pentru a exersa elevul in invatarea scolara, pentru a redescoperii si a confirma generalul in particular.
Astfel toate exemplele sunt date de profesor elevului sau ale elevului insusi. Aici se reflecta indicii, relatiile, normele definitorii pentru materialul in cauza.
Materialul descriptiv comporta un tratament prin definitii, descrieri, povestiri, fara sa fie nevoie sa demonstreze.
Materialul explicativ este bazat pe demonstratii, dovediri, argumentari : "este asa pentru ca"- iti explici.
Materialul perspectiv comporta recomandari, cerinte, il include pe "trebuie sa".
Materialul de legatura comporta desfasurari bipolare in invatare, catre modulul anterior si catre modulul ulterior.
Materialul aplicativ comporta rezolvarea de exercitii efective, practice ale invatarii.
Venind in contact cu aceste materiale de invatare consideram ca elevul realizeaza diverse achizitii. De exemplu invatand materialul descriptiv afla ce este fenomenul respectiv, ce reprezinta el. In raport cu cel explicativ el afla cum exista fenomenul, de ce exista fenomenul in aceea forma, cum se produce si de ce se produce el etc. In raport cu cel perceptiv, el asimileaza indicatii de lucru privind modul de a-si construi invatarea in raport cu materialul descriptiv si explicativ. Materialul de legatura ii furnizeaza temeiul trecerii de la descriere la explicatie in invatarea scolara. In raport cu cel aplicativ realizeaza prelungirea cunostintelor prin practica; capata deprinderi, abilitati, priceperi etc.
Se constata ca aceasta dispunere pe ranguri a materialului de invatat este o premisa foarte importanta pentru ca elevul sa patrunda adanc in esenta fenomenului de invatare scolara. Totodata ea permite legarea elementelor structurale ale continutului in formatiuni integrate, obtinand astfel sistemul de cunostinte. In scoala accesul elevului la sistemul de cunostinte se creeaza diferit in functie de varsta, context etc. Astfel ca la clasele mici se pune accent pe ordonarea materialului intr-o maniera simpla, de rang, fara preocupari pentru teoretizari. La clasele mijlocii si mari creste preocuparea si gruparea materialului dupa criterii teoretice accentuate. Aici se trece de la idei si notiuni de baza catre desprinderea semnificatiilor multiple ale acestor notiuni si cunostinte si pe aceasta baza se obtin alte derivari de alte cunostinte. In aceste derivari, trebuie sa se regaseasca tot timpul elemente de baza.
Aceasta incadrare intr-o conceptualizare gradata are un mare avantaj : fereste elevul de a memora mecanic faptele, adica il ajuta sa-si bazeze invatarea pe gandirea logica. Aici apare urmatoarea lege faptul de a actiona la nivel teoretic - interpretativ, aplicand materialul in logica rationamentului, face sa creasca longevitatea celor memorate. De regula, acesta se obtine de la o descriere redusa la inceput la descrieri din ce in ce mai ample, prin trecerea de la a descrie la a explica si de acolo de a o pune in practica. Parcurgand aceste treceri, elevul sesizeaza multivarietatea legaturilor dintre datele materialului; aceste sunt multe: legaturi functionale, legice, de contrast etc.
Elevul isi formeaza treptat o componenta foarte importanta si anume aparatul propriu de descriere, de explicare, prelucrare, interpretare a ceea ce invata. Formand acest aparat, elevul capata acces la ceva important in scoala, la autonomie cognitiva, care este exacta in regim productiv. Aceasta este o opusa invatare de tip reproductiv. Ultima inseamna o asimilare si o aplicare univoca a cunostintelor si ca atare aici se obtin variante de lucru singulare. In regim productiv - cand elevul este agentul productiv al invatarii, transpune materialul in limbajul actiunii sale proprii, recreeaza materialul. Aceasta recreere a materialului ii da fundamentul pentru autonomia rezultatelor in invatarea scolara.
Pe baza multimilor de variante posibile de lucru, elevul obtine anumite rezultate pe care le compara cu cele scontate. Aceasta raportare dubla, intre ceea ce se cere si ceea ce poate el , duce la obtinerea unui coeficient de prognozare a cunostintelor, care exprima un raport intre suma informatiilor ce trebuie studiate de elev si suma informatiilor pe care elevul o poate prevedea si preintampina singur.
Se constata ca acest coeficient de prognozare poate lua valori intre 1 si 0:
cand atinge valoarea 1, elevul tinde sa creeze el insusi, prin actele sale de descoperire, intreaga cantitate de informatii, cunostinte, pe care vrea sa o invete. In acest caz, ceea ce invata el, devine variabila controlabila de el insusi. Pe baza aceasta elevul poate interprinde personal demersul de descriere, de explicare, interpretare, aplicare a notiunilor.
cand atinge valoarea 0 inseamna ca informatia ce urmeaza sa fie insusita ii este data elevului de-a gata, de profesor si astfel el nu poate sa prevada toate variantele de rezolvari ale problemei al carui autor nu este el.
De aceea in scoala trebuie sa-si formeze o invatare de tip formativ, sa-si construiasca elevul aparatul mintal, de a construi, explica fenomene si de a le aplica el insusi.
Se constata ca in scoala sunt si anumite materiale de invatare care se presteaza mai putin la un tratament prognostic. Se surprind mai putin abordari prognostice, sensuri si idei care desemneaza anumite fenomene, informatii cifrice, informatii documentare. In schimb pot fi tratate pronostic informatiile care reflecta legi, raporturi dintre obiecte, care implica miscarea gandirii de la cauza la efect, de la general la particular etc.
Elaborarea obiectelor de invatare in scoala presupune o anumita transformare a obiectului stiintei pentru a o face accesibila copiilor. Aceasta prelucrare comporta doua tipuri de demersuri:
o prelucrare interinformationala;
o prelucrare intrainformationala.
In primul caz, este vorba de faptul ca din stiinta nu trebuie retinut totul, se face o selectie de notiuni; aici se pune problema ce trebuie selectat, ce trebuie lasat deoparte. Daca reusim sa facem acest lucru, noi obtinem sistemul notional al obiectelor de invatamant, care la inceput au un numar de notiuni mic (la cei mici) si ramificari foarte mari la clasele mari. Aceasta trecere se face in felul urmator: anumite nuclee informationale din stiinta sunt condensate anumite structuri de invatare, anumite noduri informationale care inlocuiesc mai multe cunostinte si notiuni particulare. Se trece de la condensat la ramificat si invers, continua miscare.
O prelucrare intrainformationala presupune ca orice notiune poate fi derulata in fata elevilor pana la un anumit grad de profunzime(cat de mult).
Invatarea scolara ca proces total va decurge ca o miscare a elevului, in structurarea obiectului de invatare pe nivele, straturi, etape. Invatarea este un proces foarte amplu pe etape derulate in timp.
Curs 8
Psihologia Educatiei
Latura efectorie a invatarii
Aceasta latura inseamna indeplinirea efectiva a actiunii de invatare. Ea decurge pe fondul creat de latura orientativa. Latura aceasta constituie de fapt scara trecerii de la exterior la interior in invatare, de la obiectiv la subiectiv. Aceasta latura se deruleaza pe mai multe trepte sau nivele:
fundamental: actiunea obiectuala, materiala sau materializata;
actiunea in planul verbal cu glas tare;
actiunea in planul limbajului extern pentru sine;
actiune in planul limbajului intern (in gand);
Strabatand aceste trepte, actiunea isi modifica sistematic aspectele sale si instrumentele de lucru. De-a lungul lor se produc mai multe inlocuiri si anume nivelul intuitiv al invatarii este inlocuit prin cel logic, obiectele materiale, concrete sunt inlocuite prin structuri verbale.
1. Treapta obiectuala = elevul lucreaza efectiv cu obiecte sau inlocuitori ai lor, dar tot naturali, tot naturali. Aceasta treapta asigura insusirea cunostintelor pe baza operarii cu obiectele. Implica operari cu lucruri sau reprezentari materiale ale obiectelor; acestea pot fi: diverse scheme, schite, diagrame, modele, desene, materiale concrete. Aceasta treapta se adreseaza mai mult simturilor copilului si e intr-o legatura foarte stransa cu principiul pedagogic al invatarii intuitive care cer ca orice noua cunostinta sa fie insusita pe baza unor cunostinte intuite obiectiv de catre copil.
Acest material intuitiv are un rol foarte important in invatare pentru ca orienteaza perceptia copilului, este un punct de plecare pentru generalizari in invatare, ofera ilustrari sau confirmari ale generalului prin particular. Stiind foarte bine acest lucru multi profesori inclina sa considere ca elevul cu cat este de varsta mai mica, cu atat fondul lui de imagine este mai sarac, redus si cu atat mai mare nevoia de material intuitiv in invatare. Socotind ca reprezentarile acestea vii, intuitive, experienta perceptiva ar conferi cunostintelor o nota de precizie si operativitate mare. Ca atare profesorii satureaza lectiile cu material intuitiv. Se constata ca exista o anumita limita a acestei optici a profesorului practician: o intelegere cam simplista a relatiei senzorial - logic in invatarea scolara; anume o relatie privita putin pasivist, fara opozitii. Se constata ca obiectul prezentat intuitiv copilului este atat de incarcat in detalii uneori, incat subjuga perceptia copilului.
Se constata ca caracterul pregnant, colorat, afectiv al materialului intuitiv sa treaca el pe primul plan in invatarea scolara si ca atare esentialul este amestecat cu neesentialul, se produce o mascare a sarcinii cognitive, deci lectia nu-si atinge scopul de cunoastere. Ex: notiunea de animal salbatic: departe de om, traieste pe cont propriu. Se constata ca frecvent la nota de animal salbatic copii ataseaza afectivul: viclenie, fioros, pasnic. Se constata ca elementele spontane, afective trec pe primul plan si astfel lectia devine fabulatie. Rezulta ca se produce o estompare a logicii cunostintelor, esentialul este redat prin neesential si se reduce la nivelul prescolar.
O metoda prin care putem scoate din impas aceasta invatare intuitiva este aceea de a introduce pe fir rolul cuvantului in orientarea perceptiei copilului; cuvantul folosit de profesor orienteaza perceptia copilului, o indruma, o conduce. Se constata ca explicatia verbala a profesorului poate fi corecta, ilustratiile intuitive adecvate si totusi cunostintele sa fie insusite eronat. Rezulta ca numai cuvantul asociat cu imaginea nu rezolva problema eficientei in actul de invatare. Trebuie un alt parametru introdus : actiunea este veriga de legatura cu materialul. Se cere a plasa relatia cuvant - imagine in contextul actiunii de invatare.
In momentul actual, intuitivul acesta este ridicat pe un plan superior, anume: se confera imagini intuitive cu un caracter dinamic, sub forma audiovizualului; astazi nu mai este ca altadata, asistam la introducerea bandei magnetice, a peliculei cinematografice, a laboratorului fonetic, a televizorului cu circuit inchis, videocasetofonului, internetului. Ele reformuleaza principiul intuitiei, scotandu-l din pasivitatea initiala, il modernizeaza. Si aceste forme noi de imbunatatire au rezultate numai daca sunt combinate cu actiunea propriu-zisa a elevului.
Stim ca astazi canalul de receptie pentru informatia de invatare se plaseaza de fapt nu la nivelul receptorilor senzoriali direct, ci la nivelul activitatii proprii a copilului, pentru ca insusi organele de simt, motorii sunt componentele activitatii. Aceasta permite trecerea de la a vedea o imagine la a o sti s-o privesti (actiunea), de la a auzi o informatie la a sti s-o asculti. Tocmai actiunea in forma ei obiectuala, materiala conserva principiul intuitiei, ridicandu-l pe un plan superior. Aceasta treapta are urmatorul specific: aici obiectele si materializarile lor trebuie sa produca raporturi generale, esentiale pentru actiune. Ex: ideea de unitate la numar, de raport in invatarea fractiei, adaptarea biologica, valenta, egalitatea in invatarea ecuatiei.
Ea presupune sa nu fie o simpla aratare a materialului intuitiv, ci cu indicii notionali ai cunostintelor trebuie sa lucreze elevii insisi, care sunt generali. Exista un mare avantaj al inceperii invatarii cu generalul, acela ca el face sa creasca capacitatea de absorbtie a canalului de receptie, reduce volumul materialului de invatare, dar fara sa reduca volumul de informatii. In invatare trebuie operat nu cu prea multe cazuri particulare, care supraincarca, ci pe baza unor cazuri particulare - tipice, sa se studieze regulile imbinarii lui.
In invatarea pe baza de obiecte, avem urmatoarele componente:
materializarea sistemului de indici notionali ;
inscrierea acestor indici in coloane;
materializarea algoritmului de lucru in raport cu acesti indici notionali.
In acest caz, a lucra in plan obiectual, material inseamna : a trece de la algoritm la sarcina de rezolvare, descoperind generalul din particular. Aceasta presupune a efectua urmatoarele operatii de lucru:
a stabili prezenta/absenta fiecarui indice general la nivelul cazului particular.
a aprecia rezultatul obtinut dupa urmatoarea regula logica : daca indicii necesari, suficienti sunt prezenti, atunci obiectul se subsumeaza notiunii date. Daca lipseste, fie si numai unul din acesti indici, cazul ne se subsumeaza notiunii;
daca fie si numai despre unul din indici nu se stie nimic precis nu se poate da un raspuns determinant, chiar daca ceilalti indici sunt prezenti. De la aceasta regula trebuie trecut la algoritmul de lucru, care inseamna a transpune regula in comenzi/indicatii de lucru efective:
a) numeste primul indice;
b) stabileste daca acel indice poseda acel indice notional;
c) noteaza rezultatul obtinut;
d) unifica justetea raspunsului dat.
Problema: a gasi pentru fiecare indice notional o expresie operationala concreta.
Se ajunge la intelegerea acestui efect cuprinzand atat cazurile particulare , cat si cele care nu se incadreaza acolo. Generalul este insusit nu dupa actiunea cu el, ci in timpul actiunii cu el, nici inainte.
In procesul educational treaba cea mai grea este aceea de a gasi forma obiectuala pentru fiecare materie, notiune in parte. Aceasta implica inteligenta profesorului, competenta, pregatirea lui psihopedagogica.
Ex:
este o formula simpla , dar greu de
inteles.
Momentul obiectual al actiunii este foarte important pentru ca permite elevului sa faca actiunea intr-o maniera maximal desfasurata; desfasurandu-i actiunea, ii aratam elevului componentele sale de baza, procedeul de lucru, pasii operationali pe care trebuie sa-i faca, diverse verigi intermediare,practic ii aratam cum se obtine rezultatul respectiv. Prin acest demers, copilul castiga, prinde logica actului de invatare. Ca atare, actiunea va capata atributul rationalizarii si al inteligentei. Pe ansamblu operarea in plan obiectual permite sa se evite separarea teoreticului de aplicativ si se asigura studiul generalului in unitate cu particularul, se evita memorarea directa mecanica a noilor cunostinte.
Acest model de invatare preluat de profesor si introdus consecvent in actul didactic rezolva foarte multe probleme in invatarea scolara. Aceasta forma a actului de invatare este necesara intr-o serie intreaga de imprejurari: cand elevul se confrunta cu sarcini complexe, lungi, greu de decodificat direct fara sa lucreze cu ele; este foarte utila in invatarea handicapatilor mentali, in invatarea motorie, in invatarea morala, in invatarea de reabilitare a anumitor functii deteriorate, descompuse.
2. Treapta verbala.
Se pune urmatoarea intrebare: Ce se intampla dupa scoaterea obiectelor de sub incidenta planului optico-motor al elevului? Mai pastreaza el legatura cu obiectele? Daca da, cum?
Unii autori cred ca dupa ce se desprinde de obiectele concrete de lucru, elevul ar fi in stare sa opereze direct in plan mental, reprezentandu-le mental. Este eronat, pentru ca se constata ca planul mental la cei mici nu apare direct in planul obiectual. Apare procesual, strabatand o treapta intermediara : actiunea in plan verbal.
La acest nivel, suportul actului de invatare devine limbajul care permite filtrari, selectii, unificari, categorializari. La acest nivel, actiunea imbraca o forma verbala, elevul actioneaza si lucreaza cu cuvantul, nu doar memorandu-l: il compara, il analizeaza in vederea rezolvarii unei probleme. Aceasta forma de actiune verbala nu se rezuma doar la a relata actiunea, nu este o eticheta verbala, ci un mod de a lucra. Sunt date, cercetari care arata ca la scolarii mici, cand socotesc, scriu, silabisesc cuvantul. Este prezenta de regula, o componenta articulatorie externa, verbo-chinestezica (gandesc cu voce tare). Aceasta componenta verbo-chinestezica articulatorie conteaza ca element de sprijin pentru activitatea lor intelectuala.
Experiment: clasa I
Li se da copiilor sarcina sa scrie litere, silabe, cuvinte in 2 conditii diferite:
de percepere exclusiv auditiva a materialului;
de percepere auditiva asimilata cu procese articulatorii/de pronuntie.
Se constata ca, in primul caz apar cele mai multe erori in scrieri, erori sub forma de omisiuni, inversiuni, substitutii etc. Explicatia acestui fenomen: ei nu au inca, la aceasta varsta, achizitionata schema fonetica interna a cuvantului si de aceea ei recurg in memorarea cuvantului la sprijinul altor repere ( repere articulatorii externe).
Atunci cand se ignora aceasta treapta de invatare si se trece in plan mental apare alt fenomen: acela de regresie in invatare, trebuie sa o ia de la capat.
Exemplu:

Notiunea este o sinteza de mai multe abstractii. Pentru a trece de la numar - serie la numar - categorie elevul trebuie sa parcurga un drum lung, cu mai multi pasi:
faza motorie este foarte importanta si necesara pentru ca elevul sa se convinga de realitatea obiectuala a numarului;
numararea vizuala; este mai concentrata, mai rapida;
denumirea verbala a fiecarei componente cu glas tare;
numararea in gand.
Si unii adulti auz nevoie sa-si sprijine actiunea pe activitati motorii concrete.
Forma verbala:
reda simbolic actiunea;
indreapta actiunea catre un nivel de abstractizare ;
ii permite elevului sa reflecte la ceea ce face (verbalizare a ceea ce face);
Astfel invatarea devine constienta.
La acest nivel, actiunea se dedubleaza in continutul obiectual si forma verbala a continutului. Mai departe evolutia actiunii se va trage din forma verbala, continutul nefiind luat in vedere, doar ipotetic luat in seama in actul de invatare.
In scoala, invatarea este eficienta in masura in care imbina teoria cu aplicatia; partea de deprindere fiind suportul aplicativ, iar partea teoretica fiind expresia constientizata a actiunii. Invatarea verbala este pur formala, mecanica.
Operarea cu cuvantul ii da elevului posibilitatea sa comunice si altora ceea ce stie sa faca: face din invatare un fapt social. Pe aceasta baza, uneori elevii pot fi pusi sa se invete intre ei, sa se ajute unii pe altii etc.
Actiunea in plan mental este o actiune maximal prescurtata, care decurge ca gand despre actiune. La acest nivel, continutul obiectului este practic eliminat din actiune, este plasat in constient; ramane forma verbala prescurtata despre actiune. La aceasta treapta elevul opereaza cu ipoteze, deductii, presupozitii. In acest caz a gandi inseamna a opera in plan mental, intr-o maniera prescurtata si condensata, a lucra usor, repede, eficient, pe baza de motivatie intrinseca in invatare. Cand ajunge sa lucreze, incepe sa se contureze aptitudinea scolara de invatare, care-i permite sa aiba succes scolar. De regula elevii se disting intre ei prin nivelul de dezvoltare al acestei aptitudini. Se schimba si atitudinea in invatare: i se par interesante, ii plac, se schimba motivatia.
|
Politica de confidentialitate | Termeni si conditii de utilizare |
Vizualizari: 4870
Importanta: ![]()
Termeni si conditii de utilizare | Contact
© SCRIGROUP 2025 . All rights reserved