| CATEGORII DOCUMENTE |
| Alimentatie nutritie | Asistenta sociala | Cosmetica frumusete | Logopedie | Retete culinare | Sport |
ANTIBIOTICE
Antibioticele reprezinta un grup foarte heterogen din punct de vedere al structurii reactivitatii chimice.
Clasificarea celor mai uzuale antibiotice , bazata pe considerente de structura include 5 grupuri importante :
1.beta-lactamine
2.aminoglicozide
3.macrolide
4.derivati aralchilici
5.antibiotice antibacteriene tetraciclice
In plus se cunosc si alte clase structurale de antibiotice ( false macrolide , polipeptide, glicopeptide, oxazolidinone, etc.) care se utilizeaza in terapia infectiilor bacteriene.
Antibioticele sunt substante medicamentoase produse de unele microorganisme , capabile sa omoare alte microorganisme. Se pot obtine si pe cale de sinteza , semisinteza.
Betalactamine
Reactia de hidroliza si evidentierea cu ninhidrina a constituentilor
β-lactaminele prin hidroliza pun in libertate aminoacizii, care reactioneaza cu ninhidrina, formand o coloratie violeta.
Observatie: Reactia este pozitiva de asemenea si pentru glicozidele cu aglicon dezoxistreptaminic ( kanamicina, neomicina, paromomicina, gentamicina, sisomicina, tobramicina ).
Tehnica:
-0,1g substanta se dizolva in 2 ml H2SO4 10 % ( R ) si se fierbe 5 minute
( pH-ul solutiei trebuie sa fie 1-2 tot timpul hidrolizei). Dupa racire se neutralizeaza cu NaOH 10 % , apoi se trateaza cu 1 ml ninhidrina 1 % (reactiv proaspat preparat) . Se incalzeste la fierbere , cand apare o coloratie violeta.
B.Reactii caracteristice subgrupurilor
I. Reactii caracteristice β-lactaminelor
BETA-LACTAMINE
PENICILINE:( derivati de penam) CEFALOSPORINE: ( derivati de cefem)
A=ciclu azetidin-2-onic A= ciclu azetidin- 2-onic
B=ciclu tiazolidinic B= ciclu dihidrotiazinic
Β-lactaminele , reprezentate de peniciline si cefalosporine sunt derivati acilati ai acidului 6-aminopenicilanic , respectiv 7-aminocefalosporanic, avand comun ciclul β-lactamic condensat cu un heterociclu pentaatomic sau hexaatomic cu sulf.
Aceste antibiotice se utilizeaza ca atare , dar mai ales sub forma de saruri alcaline , saruri cu baze organice, esteri.
Penicilinele si cefalosporinele se prezinta sub forma de pulberi cristaline , albe , sau aproape albe ( benzilpenicilina , procainbenzilpenicilina, benzatinbenzilpenicilina, propicilina , cefalosporinele ), cu miros caracteristic, mai pronuntat si particular pentru cefaloridina , care are miros slab de piridina.
Fenoximetilpenicilina , sarurile de sodiu ale benzilpenicilinei, ale fenoximetilpenicilinei, ampicilinei si in special carbenicilina disodica sunt higroscopice .
Identificarea β-lactaminelor se realizeaza prin:
-reactii adresate sistemului heterociclic , respectiv sulfului din molecula si ciclului betalactamic
-reactii specifice care permit diferentierea betalactaminelor
-in cazul sarurilor , aceste reactii se completeaza prin reactii specifice cationului
1.Reactii adresate sistemului heterociclic
a. Identificarea sulfului
Sulful se pune in evidenta in cadrul analizei elementare prin proba Lassaigne.
Observatie: Prin proba Lassaigne se pun in evidenta si halogenii , in special clorul, prezent in catena laterala a unor peniciline ( cloxacilina , dicloxacilina , flucloxacilina ).
b. Reactii de hidroliza bazica si de formare a acizilor hidroxamici
β-lactaminele formeaza cu NH2OH ( hidroxilamina ) in mediu alcalin datorita deschiderii ciclului betalactamic , acizi hidroxamici , care dupa acidulare se coloreaza in violet cu ionul FeIII.

Tehnica:
-0,1 g substanta se dizolva in 3 ml apa ,se adauga 0,1g NH2OH in acid clorhidric (R ) si 1ml NaOH 1 N ; dupa 5 minute se adauga 1 ml HCl 1N pana la reactie acida , apoi 3 picaturi FeCl3( R ) . Apare o coloratie violeta.
c. Reactia de hidroliza acida si de evidentiere a aminoacizilor constituenti cu ninhidrina
Beta-lactaminele pun in libertate, prin hidroliza acida, aminoacizii constituenti care reactioneaza cu ninhidrina formand o coloratie violeta.
Reactia este pozitiva si pentru aminoglicozidele cu aglicon dezoxistreptaminic.
Tehnica:
Procedeul A:
- 0,1 g substanta se dizolva in 2 ml acid sulfuric 10 % (R) si se fierbe timp de 5 minute. Se verifica pH-ul sa fie cuprins intre 1-2. Dupa racire se neutralizeaza cu hidroxid de sodiu 10 % (R), apoi se trateaza cu 1 ml ninhidrina 1 % proaspat preparata. Dupa incalzire, apare o coloratie violeta.
Observatie:
In cazul unor beta-lactamine (ampicilina, amoxicilina, cefalexina), precum si al aminoglicozidelor cu aglicon dezoxistreptaminic (kanamicina, neomicina, paromomicina, gentamicina, sisomicina, tobramicina), reactia cu ninhidrina poate fi efectuata in prezenta piridinei in butanol 1 % (procedeul B).
Procedeul B:
- 0,05 g substanta se dizolva in 3 ml apa, se trateaza cu 1 ml ninhidrina in butanol 1 % si 0,5 ml piridina. Dupa incalzire, apare o coloratie albastra-violeta.
d. Reactii de reducere
β-lactaminele prezinta proprietati reducatoare; reduc reactivul Fehling si solutia amoniacala de azotat de argint.
Tehnica:
-0,10 g substanta se dizolva in 2 ml apa , se adauga 2 ml amestec Reactiv Fehling I si Fehling II si se incalzeste ; apare un precipitat rosu-caramiziu.
-0,01 g substanta se dizolva in 2 ml apa , se adauga 2 ml Reactiv Tollens ( R ) , se incalzeste la becul de gaz; apare oglinda de argint pe peretii eprubetei.
Observatie: Reactia de reducere este caracteristica si streptomicinei.
Reactia cu Reactivul Fehling diluat si la rece este specifica ampicilinei , amoxicilinei ,polimixinei si cicloserinei.
2. Reactii specifice care permit diferentierea β-lactaminelor
a. Reactia cu acidul cromotropic ( specifica numai betalactaminelor)
β-lactaminele formeaza cu acidul cromotropic ( acid 1,8-dihidroxinaftalen-3,6-disulfonic) coloratii diferite in timp.
Tehnica:
- intr-o eprubeta uscata se adauga 0,1 g substanta, 0,1 g sare de sodiu a acidului cromotropic si 2 ml H2SO4 ( R ) si se imerseaza eprubeta intr-o baie de apa. Se noteaza coloratiile obtinute dupa 1,2,3 min.
|
D.C.I. |
R. cu acid cromotropic |
|
Benzilpenicilina sodica |
Galben-verzui |
|
Benzilpenicilina potasica |
Galben-verzui-rosu |
|
Benzilpenicilina procainica |
Galben-verzui-rosu |
|
Benzatinbenzilpenicilina |
Galben-verzui-rosu |
|
Fenoximetilpenicilina |
Violet |
|
Oxacilina sodica |
Purpuriu cu reflexe verzui |
|
Cloxacilina sodica |
Purpuriu cu reflexe verzui |
|
Ampicilina trihidrat |
Purpuriu cu reflexe verzui |
|
Ampicilina sodica |
Purpuriu cu reflexe verzui |
|
Amoxicilina trihidrat |
Purpuriu cu reflexe verzui |
|
Carbenicilina |
brun |
|
Cefalexina |
b. Reactia cu Reactiv Fehling specifica pentru ampicilina, amoxicilina si cefalexina
Tehnica:
-0,1 g substanta se trateaza cu 1 ml apa si 1 ml amestec ( 1ml Fehling I + 1 ml Fehling II +3 ml apa ).
Ampicilina formeaza o coloratie violeta.
Amoxicilina formeaza o coloratie violeta.
Cefalexina formeaza o coloratie verde -maslinie.
Observatie: Reactia este pozitiva si pentru polimixina care formeaza la prima picatura de reactiv o coloratie violeta. Cicloserina formeaza in aceleasi conditii o coloratie sau un precipitat verde.
c. Reactia cu cloramina specifica cefaloridinei
Tehnica:
-0,1 g substanta se dizolva in 1 ml apa ; se trateaza cu 1 ml cloramina ( R ) si
2 ml NaOH 0,1 N ; apare o coloratie rosie care persista peste 1 min.
3.Reactii specifice cationului
a. Reactia flacarii: specifica sarurilor de Na , K.
Tehnica:
-0,02 g substanta prin calcinare lasa un reziduu , care dupa umectare cu acid clorhidric diluat, produce efervescenta si coloreaza flacara in :
- galben- pentru Na
- violet- pentru K
Observatie: Se mai fac si reactiile specifice pentru Na cu hexahidroxostibiatul de potasiu , pentru K cu acid tartric ( vezi cationi ).
b. Reactii specifice penicilinelor retard
. Reactia procainei
Procaina , substanta organica cu grupare amino aromatica primara care este componenta cationica din molecula procain benzilpenicilinei, se pune in evidedenta prin reactia de diazotare si cuplare cu β-naftol ( vezi sulfamide ) .
. Reactia benzatinei
Benzatina , componenta cationica din molecula benzatin benzilpenicilinei, se identifica prin reactia de oxidare la benzaldehida.
Tehnica:
-0,01 g substanta se trateaza cu 1 ml NaOH 10 % ( R ), 3 ml apa si 1 ml KMnO4 0,1 N ; are loc reducerea permanganatului, iar prin incalzire se degaja miros de migdale, specific benzaldehidei.
Reprezentanti , D.C.I. , Specialitati
1.Benzilpenicilina sodica: PENICILINA G Na flacoane injectabile cu
400.000 u.i., 1.000.000 u.i.

2.Benzilpenicilina potasica: PENICILINA G K flacoane injectabile cu
400.000 u.i., 1.000.000 u.i.

3.Benzilpenicilina procainica: PENICILINA G procainica , sau EFITARD

4.Benzatinbenzilpenicilina:
MOLDAMIN 600.000u.i.,1200.000 u.i.,2400.000 u.i. , flac.inj.,
- RETARPEN 600.000u.i., 1200.000 u.i. flac.inj.
Radicalul este benzatina care se leaga la gruparea carboxilica a nucleului beta-lactamic:

4.Fenoximetilpenicilina:

PENICILINA V 1.000.000u.i. cpr., care contin fenoximetilpenicilina potasica
-OSPEN 500, OSPEN 1000 , OSPEN 1500 cpr. care contin 500.000, 1.000.000
respectiv 1.500.000 u.i. fenoximetilpenicilina potasica
-OSPEN 400 sirop, care contine 400.000 u.i./5 ml sirop fenoximetilpenicilina K
5.Oxacilina sodica:

flacoane injectabile de 250mg, 500mg, 1g oxacilina sodica
-capsule care contin 250mg, 500mg oxacilina sodica in OXACILINA, OXALIN
6.Cloxacilina sodica:
-in terapie asociata cu ampicilina in specialitatea AMPICLOX ( ampi.250 mg+ 250mg cloxacilina trihidrat )
7.Ampicilina trihidrat

AMPICLOX cps
8.Ampicilina sodica

flacoane injectabile cu 250 mg, 500 mg, 1 g substanta activa
-capsule cu250 mg, 500mg, ampicilina sodica in: AMPICILINA, STANDACILIN
-pulbere pentru suspensie orala cu 125mg/5ml , 250mg/5ml, in: AMPICILINA,
STANDACILIN
9.Amoxicilina trihidrat

capsule cu 250 mg, 500 mg substanta activa in : AMOXICILINA, MOXILEN
-comprimate filmate cu 250 mg , 500 mg ,1000 mg in: OSPAMOX, DUOMOX
-pulbere pentru suspensie orala cu 125 mg , 250 mg , in : AMOXICILINA ,
OSPAMOX , MOXILEN
-in terapie asociata cu acid clavulanic , sub forma de clavulanat de potasiu in
raport de :- 500mg amoxi.+125 mg ac.clavulanic =AUGMENTIN 625,cpr.film.
AMOKSIKLAV 625 cpr.film
MEDOCLAV 625 cpr. film
- 875 mg amoxi + 125 mg ac.clavulanic =AUGMENTIN 1g cpr.film
AMOKSIKLAV 1g cpr.film
- 400 mg amoxi + 57 mg clavulanat de potasiu / 5 ml , in :
AUGMENTIN BIS pulbere pentru suspensie orala ;
-125 mg amoxi + 31,25 mg clavulanat de potasiu/ 5 ml in :
AMOKSIKLAV , MEDOCLAV pulbere pt.suspensie orala
-250 mg amoxi + 62,5 mg clavulanat de potasiu / 5 ml in :
AMOKSIKLAV , MEDOCLAV pulbere pt. suspensie. orala
- 600 mg amoxi + 42,9 mg clavulanat de potasiu / 5 ml , in :
AUGMENTIN ES pulbere pt. suspensie orala
- flacoane injectabile 1,2 g AUGMENTIN
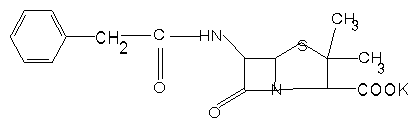
10.Carbenicilina disodica:

11.Cefalexina:

cps 250 mg , 500 mg in : CEFALEXIN , CEFALIN
-comprimate filmate 500 mg , 1000 mg , in : OSPEXIN
-pulbere pentru suspensie orala 125 mg/5 ml , 250 mg/5 ml in: CEFALEXIN, OSPEXIN, KEFLEX
12.Cefaclor :
-cps. 250 mg , 375 mg , 500 mg , 750 mg in : CEFACLOR , CECLODYNE ,
CLORACEF , CECLOR ;
- pulbere pentru suspensie orala 125 mg/5 ml , 250 mg/5 ml in : CEFACLOR , CECLODYNE, CECLOR
13.Cefuroxima:
-cpr. filmate 125 mg , 250 mg , 500 mg in : ZINNAT, AXYCEF , CEROXIM
-pulbere pentru suspensie orala 125mg/5 ml in : ZINNAT
-flacoane injectabile 500mg , 750 mg , 1500 mg , in : AXETINE
|
Politica de confidentialitate | Termeni si conditii de utilizare |
Vizualizari: 3807
Importanta: ![]()
Termeni si conditii de utilizare | Contact
© SCRIGROUP 2025 . All rights reserved