| CATEGORII DOCUMENTE |
| Aeronautica | Comunicatii | Electronica electricitate | Merceologie | Tehnica mecanica |
Aspecte ale cuantizarii vectoriale folosite in compresia video
In continuare se vor prezenta cateva notiuni de baza referitoare la cuantizarea vectoriala, cuprizand metode de evaluare a performantelor unui cuantizor vectorial si cateva structuri ale unui sistem de cuantizare vectoriala. Toate aceste notiuni se vor trata avand ca model un proces aleator vectorial si un sistem de cuantizare nonadaptiv.
Notiuni preliminare
Un
cuantizor vectorial realizeaza corespondenta
de la spatiul euclidian,
la un set finit de vectori,
:
(1)
Setul
de vectori
,
inclus in
, poarta
numele de set de codare si este compus din
vectori de codare, ![]()
(2)
De
asemenea, se defineste multimea index
ca fiind un set de numere naturale ![]()
Avand
un vector k-dimensional
, iesirea
cuantizorului vectorial este un alt vector k-dimensional
(3)
Un
cuantizor vectorial va partitiona spatiul
in N regiuni (celule),
,
corespunzatoare fiecarui cuvant de cod
. Astfel, o
regiune
este definita sub forma:
. (4)
Din definitiile anterioare rezulta ca:
si
pentru
. (5)
In concluzie, cuantizorul vectorial
este complet definit prin specificarea setului de vectori de cod
si a regiunilor
corespunzatoare vectorilor din setul
.
Regiunile ce compun spatiul
se pot imparti in doua mari categorii: regiuni
(celule) nemarginite, ceea ce
inseamna ca volumul acestora in spatiul k-dimensional este infinit si
regiuni (celule) marginite, ce au
volumul in spatiul k-dimensional finit. Celulele din prima categorie poarta numele
de celule supraincarcate, iar
celulele din cea de a doua categorie poarta numele de celule granulare. Reuniunea celulelor
nemarginite formeaza o regiune nemarginita numita regiune de supraincarcare, iar celulele granulare formeaza asa-numita regiune granulara.
O
proprietate importanta a regiunilor
este convexitatea:
doua puncte din interiorul unei celule din spatiul
sunt capetele unui segment continut in
respectiva celula. De asemenea, un cuantizor vectorial este regulat daca indeplineste doua conditii:
fiecare celula
este convexa si
.
Evaluarea performantelor unui cuantizor vectorial. Distante utilizate in cuantizarea vectoriala
Eroarea de cuantizare sau distorsiunea este valoarea nenegativa
asociata cu vectorul de intrare
si cel de iesire
. Avand o
astfel de masura se pot cuantifica performantele unui sistem de cuantizare
vectoriala efectuand media statistica a distorsiunilor
.
Performantele unui sistem de compresie sunt cu atat mai bune cu cat aceasta
distorsiune este mai mica. In practica eroarea
(distorsiunea) medie se calculeaza astfel:
(6)
unde
este setul de vectori din intrarea sistemului,
iar
este distorsiunea medie corespunzatoare
fiecarei celule
. Daca
vectorul
este o realizare particulara a unui proces
stationar si ergodic, atunci limita din (6) exista si ea este egala, cu
probabilitate unu, cu
.
Fie
un vector aleator din
cu functia densitate de probabilitate
specificata. In acest caz, eroarea (distorsiunea) medie poate fi scrisa ca
fiind:
(7)
sau
(8)
unde
, iar
este functia densitate de probabilitate a lui
daca
.
Distante in spatiul vectorial. Cea mai utilizata masura de distorsiune intre doi vectori este eroarea patratica sau patratul distantei euclidiene definita astfel:
. (9)
Relatia este valabila atunci cand vectorii
si
sunt coloana.
O masura generala a distorsiunii se poate exprima sub forma:
(10)
Daca
, se obtine distorsiunea
absoluta sau norma
. Pentru
, se obtine,
ca in relatia (9), eroarea patratica medie, care este
. Norma
este definita astfel:
(11)
O alta masura de interes este eroarea patratica ponderata:
, (12)
unde
este o matrice simetrica si pozitiv definita,
iar
si
sunt vectori coloana. In unele aplicatii,
matricea
este selectata in functie de statistica
procesului vector de la intrare. De exemplu, distanta Mahalanobis se defineste
cu relatia (12) pentru o matrice
egala cu matricea de covarianta a vectorului de
intrare. Daca componentele vectorului
nu sunt corelate, matricea
se reduce la o matrice diagonala cu elementele
egale cu variantele componentelor vectorului
, iar:
. (13)
O alta masura de interes utilizata in special in procesarea imaginilor se defineste cu relatia:
, (14)
unde
, iar
este matricea unitate. In acest caz distanta
intre doi vectori este:
. (15)
3. Structuri ale cuantizorului vectorial
Procesul
de codare presupune examinarea fiecarui vector de intrare
si identificarea partitiei
, din
spatiul k-dimensional in care este
inclus vectorul
. Codorul
returneaza in general indexul partitiei, i,
iar decodorul genereaza vectorul de cod corespunzator acelui index,
.
Se
defineste functia de selectie
pentru partitia
ca fiind:
. (16)
Operatia de cuantizare poate fi scrisa matematic astfel:
. (17)
Se observa ca, pentru un vector de intrare dat, doar un singur termen din suma din (17) este nenul.
Figura 1
reprezinta o structura a unui cuantizor vectorial. Fiecare multiplicator
pondereaza un vector de cod
cu zero sau unu, astfel incat, la iesirea
sumatorului va rezulta vectorul de cod corespunzator. Alternativ,
multiplicatorul poate fi vazut ca o locatie de memorie in care este stocat
vectorul de cod corespunzator.

Figura 1. Structura primara a unui cuantizor
O celula Voronoi,
, este
determinata de vectorul de codare
si este definita matematic de relatia:
, (18)
unde
.
Fie
semi-spatiul
definit de relatia:
, (19)
si
hiperplanul definit de:
, (20)
pentru
.
Date fiind definitiile de mai sus, celula Voronoi este intersectia semi-spatiilor:
. (21)
Echivalent, semi-spatiul
poate fi exprimat sub forma:
, (22)
unde
, iar
.
Fie
. (23)
Daca
reprezinta functia treapta unitate, atunci:
, (24)
iar
. (25)
Functia
de selectie
a fost descompusa in
operatii elementare
. Fiecare
functie
decide daca vectorul de intrare este continut
in semispatiul
definit de perechea de vectori de cod
. Operatia
de codare consta in evaluarea termenilor
,
, ceea ce
presupune
evaluari.
In
aplicatiile de compresie prin cuantizare vectoriala, o constrangere este rata
de codare, definita ca:
. Pentru performante bune este necesar ca
dimensiunea
sa fie cat mai mare, ceea ce presupune si un
numar,
, de celule
mare. Astfel, cuantizorul vectorial va avea un numar mare de celule Voronoi,
fiecare avand un numar de fete de
dimensiune
, mult mai
mic decat
. Acest
lucru inseamna ca multe din semispatiile
ce definesc celula
sunt redundante si doar un subset de functii
,
si
vor trebui evaluate pentru a se lua decizia
daca vectorul
este sau nu, continut in celula
. De
exemplu, in cazul unidimensional, celulele Voronoi sunt intervale si au doar
doua fete, astfel incat sunt necesare
doar doua comparatii pentru a se determina daca un numar este sau nu, in acel
interval. In general, un semispatiu
este redundant fata de celula
daca
,
hiperplanul ce defineste
, nu contine
o fata a celulei
. Acest
lucru inseamna ca
are o dimensiune mai mica decat
.
Pentru
a caracteriza pe deplin un cuantizor vectorial este necesar sa se identifice fetele tuturor celulelor din spatiul
. Astfel,
este convenabil a se defini punctele adiacente celulei
.
este un punct adiacent celulei
, daca
contine o fata a lui
. De
asemenea, se defineste numarul de adiacente
ca fiind numarul de fete ale celulei
si este dat de setul de indici:
, (26)
iar
. (27)
Eliminand in acest mod semispatiile redundante, complexitatea algoritmului de codare poate fi redusa.
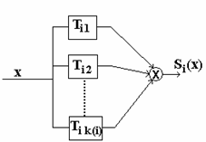
In
figura 2 se reprezinta structura unei functii de selectie
. Numarul de
functii
ce trebuie evaluate pentru determinarea
functiei de selectie
este dat de numarul de fete ale celulei
, respectiv
.

Figura Structura unei functii de selectie Si
Cuantizarea optimala
Un
cuantizor este optim atunci cand oricare alt cuantizor, cu acelasi numar de
vectori de cod, prezinta o eroare medie de cuantizare mai mare. Cuantizorul
este optim, daca pentru oricare alt cuantizor
, cu acelasi
numar de vectori de cod, este respectata inegalitatea:
. (28)
In continuare, sunt prezentate doua conditii necesare pentru ca un cuantizor sa fie optim. Cele doua conditii poarta numele de conditia celui mai apropiat vecin (nearest neighbor condition - NNC) si conditia centroidului (centroid condition - CC).
Conditia celui mai apropiat vecin
Avand
un set de vectori de codare
, conditia celui
mai apropiat vecin consta in codarea unui vector de intrare prin cel mai
apropiat vector de cod din spatiul
. Matematic,
partitiile
sunt definite astfel:
, (29)
sau
numai daca
. (30)
Oricare alta partitionare a spatiului
avand setul de vectori de codare dat va
produce o distorsiune medie mai mare decat cea care respecta conditia de mai
sus.
Conditia centroidului
Avand
data o partitie a spatiului
, vectorii
de cod optimali satisfac conditia:
. (31)
In cazul practic in care avem un set de vectori
ce trebuie codati, daca numarul de vectori ce apartin celulei
este
si daca se utilizeaza distanta euclidiana ca
masura a distorsiunii, atunci vectorul de cod va fi:
. (32)
5. Rezultate experimentale
In cele ce urmeaza se urmareste obtinerea regiunilor Voronoi din procesul de clusterizare prin diversi algoritmi aplicati unui semnal de intrare bidimensional, cu distributie normala.

Fig. 3 Regiunile Voronoi si vectorii de cod pentru o distributie
Gaussiana bidimensionala
In aceleasi conditii de intrare, se
proiecteaza un cuantizor vectorial cu ajutorul algoritmului GLA (algoritmul Loyd generalizat) cu
initializare prin despicare. Conform algoritmului Loyd, in figura 4 sunt reprezentati vectorii de cod pentru diverse
valori ale lui
.



Figura 4 Vectorii de cod si regiunile Voronoi pentru diverse valori ale lui r
3. In acest
experimentul se pune in evidenta tendinta celulelor Voronoi de a avea o
distributie uniforma. Pentru o dimensiune fixata
si un numar de vectori de cod
, s-a
folosit algoritmul LBG cu un numar de
vectori de antrenare. In prima figura din 5 se
reprezinta histograma cu numarul de vectori de antrenare din fiecare celula
Voronoi
. In cea de
a doua figura se reprezinta distorsiunea medie introdusa de fiecare partitie
Voronoi in distorsiunea medie totala.

Figura 5. Histograma numarului de vectori de antrenare si a distorsiunii medii corespunzatoare fiecarei partitii Voronoi
6. Performantele cuantizarii vectoriale
In aplicatiile practice de cuantizare vectoriala, realizarea urmatoarelor cerinte este esentiala pentru reusita unui sistem de codare a surselor de informatie:
- sa altereze cat mai putin informatia sursei de mesaje sau sa altereze cat mai putin din informatia la care sistemul subiectiv de observatie este sensibil (ex: sistemul vizual uman, sistemul psiho-acustic);
- sa pastreze un raport rata / distorsiune cat mai bun, adica distorsiune mica pentru o rata fixata sau rata cat mai mica pentru o distorsiune fixata ;
- sa se poata implementa printr-un algoritm cat mai rapid de codare si decodare.
Desi in
procesarea semnalelor video, eroarea patratica medie este cea mai utilizata
masura a distorsiunii pentru evaluarea performantelor algoritmilor de compresie
a datelor si de recunoastere a formelor, in unele aplicatii s-a dovedit ca aceasta
nu reflecta cel mai bine modelul subiectiv constituit de modelul de observatie
uman. In aceasta sectiune, se vor evalua performantele unui cuantizor vectorial
din perspectiva functiei de repartitie, a distorsiunii minime pe care o
introduce, precum si a geometriei partitiilor
.
6.1. Limite ale functiilor de repartitie in cuantizarea vectoriala optimala
Fie
vectori ai unui proces aleator vectorial
ce are functia de repartitie
.
Teorema
Glivenko
Fie
functia empirica de repartitie a unei selectii
simple de volum
ce provine
dintr-o populatie caracterizata de un vector aleator
, avand
functia de repartitie continua
. In aceste
conditii:
, (33)
unde
. (34)
Daca
este numarul de vectori de antrenare, atunci,
conform teoremei lui Glivenko, functia de repartitie empirica a setului de
vectori de antrenare tinde, la limita, catre functia de repartitie a procesului
.
Urmatoarea teorema face legatura intre statistica setului de antrenare si statistica setului de vectori de cod.
Teorema Smirnov. Fie
si
doua realizari ale unui proces aleator
,
caracterizat de functia de repartitie
. Fie
si
functiile de repartitie empirice
corespunzatoare celor doua grupe de vectori aleatori, iar
si
sunt volumele celor doua selectii. Se considera
variabilele aleatoare:
(35)
si
,
functiile de repartitie ale variabilelor
si
, unde
. In
conditiile anterioare se poate scrie:
, (36)
. (37)
Se
presupune ca
. In practica
se alege o rata de codare
, ceea ce
inseamna ca
este fixat, iar problema care se pune este cat
trebuie ales
astfel incat
sau
sa fie maxima. Se poate scrie ca
. In figura 6
este reprezentata functia de repartitie
functie de
pentru trei valori ale lui
.

Figura 6 Functia de repartitie din (36) functie de ![]()
Cu cat
setul de vectori de antrenare este mai mare, cu atat probabilitatea ca functia
de repartitie a setului de antrenare sa fie mai apropiata de functia de
repartitie a procesului
va fi mai mare. De asemenea, pentru
fixat, probabilitatea ca functia de repartitie
a setului de vectori de cod sa fie mai apropiata de functia de repartitie a
setului de antrenare este mai mare, cu cat raportul de antrenare
creste.
Pe de
alta parte, daca setul de antrenare are un numar fix de vectori
, numarul de
vectori de cod poate fi convenabil ales, astfel incat probabilitatea ca cele
doua functii de repartitie sa fie cat mai apropiate si, in acelasi timp, rata
de codare, dependenta de
, sa fie
rezonabila. De exemplu, pentru
fixat, probabilitatea ca
functie de
este prezentata in figura 7. Pentru valori
mici ale lui
,
probabilitatea ca cele doua functii sa fie apropiate este mica. Odata cu
cresterea lui
,
probabilitatea de apropiere a functiilor de repartitie creste, astfel ca,
pentru valori ale lui
mai mari decat 512, aceasta probabilitate se
apropie de unu.

Figura 7. Functia de repartitie din (36) functie de ![]()
In
figura 8 se reprezinta probabilitatea ca cele doua functii de repartitie sa
aiba diferenta maxima
, functie de
.
si
sunt fixati. Cu cat se impune din proiectare o
distorsiune mai mare (distorsiune direct proportionala intr-o mare masura cu
sau
), cu atat este
mai mare probabilitatea ca cele doua functii de repartitie sa indeplineasca
aceasta cerinta.

Figura 8 Functia de repartitie din (36) functie de ![]()
Fie
functia densitate de probabilitate a unui
vector aleator multidimensional dintr-un proces
, iar
factorul
de concentrare, definit ca numarul de vectori de cod dintr-un volum
din spatiul
. Evident
si
. (38)
Ideal
ar fi sa se gaseasca un algoritm prin care
. Pentru un
algoritm ce vizeaza o distorsiune minima, asa cum este algoritmul LBG, la limita:
, (39)
iar pentru o codare ce vizeaza cel mai apropiat vecin (NNC), asa cum sunt hartile de auto-organizare Kohonen, exista relatia:
. (40)
In
concluzie, avand un set de vectori de antrenare in spatiul
cu o distributie neliniara, algoritmii de
cuantizare vectoriala pot selecta un set de vectori de cod (un set de forme) a
caror distributie empirica aproximeaza distributia campului din intrare.
7. Limite ale distorsiunii medii in cuantizarea vectoriala
Se pune
problema gasirii unei limite teoretice
minime a distorsiunii,
, fiind
date: dimensiunea vectorului, rata de codare si, implicit, numarul de vectori
de cod, masura distorsiunii, precum si statistica procesului din care provin
vectorii de antrenare.
In cazul in care, ca masura a distorsiunii, se foloseste distanta definita in (10), limita inferioara a distorsiunii unui cuantizor vectorial optim cu rezolutie mare (adica, numar mare de vectori de cod) este:
, (41)
unde:
este numarul de vectori de
cod;
dimensiunea vectorilor din
intrare si a vectorilor de cod;
este coeficientul
de cuantizare.
In
cazul in care ca masura a distorsiunii se utilizeaza eroarea medie patratica (
):
, (42)
iar pentru un cuantizor de mare rezolutie (cuantizare fina)
, (43)
unde
este functia Gamma.
In
cazul in care ca masura a distorsiunii se foloseste relatia (14), ceea ce
presupune utilizarea unui model de observatie subiectiv, si se face aproximarea
, daca
, masura
distorsiunii va fi:
.
In acest caz se poate scrie:
. (44)
poarta
denumirea de matrice de senzitivitate si este determinata de aplicatia particulara
in care este utilizata.
In concluzie, odata cu cresterea
numarului de vectori de cod, limita minima a distorsiunii medii va scadea.
Pentru o rata constanta de codare si
fixat, limita distorsiunii medii va fi o
functie de statistica procesului. Pentru o distorsiune impusa intr-o aplicatie
particulara, rata minima de codare este proportionala cu entropia sursei. Pe de
alta parte, pentru o rata de codare fixa, cresterea entropiei sursei din intrare
va determina cresterea limitei distorsiunii medii si, implicit, a distorsiunii
rezultate din procesul de codare.
8. Geometria partitiilor unui cuantizor optim
O
partitie convexa
este admisibila
daca se poate realiza o partitionare uniforma a spatiului
, astfel
incat toate partitiile
sa fie congruente cu
. Pentru
cazul bidimensional, poligoanele admisibile sunt triunghiul, patrulaterul si
hexagonul regulat.
Se
defineste momentul normalizat de inertie al unei partitii
ca fiind:
, (45)
unde
este volumul
-dimensional
al partitiei
.
Coeficientul de cuantizare se defineste ca fiind :
. (46)
O partitie admisibila este optimala in spatiul
atunci cand momentul de inertie normalizat al
acesteia este minim. Celulele Voronoi au tendinta ca, la limita, sa devina
hexagoane regulate. Lucrul acesta se explica prin faptul ca, pentru minimizarea
distorsiunii date de relatia (42), coeficientul de cuantizare trebuie
minimizat. Pentru
;
, hexagonul
regulat este partitia admisibila optimala din spatiul
In
tabelul 1 sunt date valorile momentului de inertie normalizat ale
hiper-sferelor si ale unor partitii din
pentru diversi
.
|
Tabelul 1 |
Diverse valori ale lui |
|||
|
k |
pentru hiper-sfera |
diverse partitii |
pentru hiper-cub |
|
|
(a) | ||||
|
|
(b) | |||
|
(c) | ||||
|
(d) | ||||
|
(a) interval | ||||
|
(b) hexagon regulat | ||||
|
(c) octaedru | ||||
|
(d) octaedru similar cu (c) | ||||
Este
interesant de determinat numarul maxim de puncte adiacente
ale unui vector de cod intr-o partitionare
uniforma a spatiului
.
este egal cu numarul de fete
ale unei partitii admisibile optimale din
acelasi spatiu
sau, altfel spus, numarul maxim de hiper-sfere
de volum unitar ce pot fi tangente la o hiper-sfera de acelasi volum unitar
fara a se intersecta intre ele. Numarul
este marginit superior si inferior conform
relatiei:
, (47)
unde
este numarul de asimptote ale dimensiunii
. Numarul de
adiacente este cunoscut exact doar pentru cateva dimensiuni, dupa cum se
prezinta in Tabelul Geometric, situatia
este reprezentata in figura 9.
|
Tabel 2 |
Limitele inferioare ale lui |
||
|
k |
|
k |
|
|
|
|||
|
|
|||
|
|
|||
|
|
|||
|
|
|||
|
|
|||
|
|
|||
|
|
|||
|
|
|||
|
|
|
||
|
|
|
||
|
| |||
|
(a) |
(b) |
Figura 9
Numarul maxim de sfere de volum unitar din spatiul
(a),
respectiv
(b), care pot fi tangente la o sfera de acelasi
volum unitar fara a se intersecta intre ele
|
Politica de confidentialitate | Termeni si conditii de utilizare |
Vizualizari: 1407
Importanta: ![]()
Termeni si conditii de utilizare | Contact
© SCRIGROUP 2025 . All rights reserved