| CATEGORII DOCUMENTE |
| Arhitectura | Auto | Casa gradina | Constructii | Instalatii | Pomicultura | Silvicultura |
COD DEARE PENTRU STRUCTURI DIN ZIDARIE
Indicativ CR6-2006
CAPITOLUL 1. PREVEDERI GENERALE
1.1. Domeniul de utilizare si scopul Codului
(1) Codul de proiectare pentru structuri de zidarie, indicativ CR6-2006, se utilizeaza pentru proiectarea cladirilor civile, industriale si agrozootehnice sau ale partilor acestora, realizate cu pereti structurali din zidarie cu urmatoarele tipuri de alcatuire, definite la 1.3.1.:
- Zidarie simpla/nearmata (ZNA);
- Zidarie confinata (ZC)
- Zidarie confinata si armata in rosturile orizontale (ZC+AR);
- Zidarie cu inima armata (ZIA).
(2) Prevederile Codului se utilizeaza si pentru proiectarea panourilor de zidarie de umplutura asociate cu cadre (ZUC) si a peretilor nestructurali din zidarie, indiferent de materialul din care este realizata structura cladirilor respective (beton armat sau otel).
NOTA: Zidaria armata vertical si orizontal, executata cu elemente pentru zidarie cu forme speciale si zidaria precomprimata, nu fac obiectul prezentului cod.
(3) Codul se refera numai la cerintele privind rezistenta, stabilitatea, rigiditatea si ductilitatea structurilor din zidarie precum si la durabilitatea acestora. Alte cerinte, de exemplu, cele privind izolarea termica si acustica, nu constituie obiectul acestei parti a Codului.
(4) Nivelurile de siguranta rezultate din calculul si prevederile cons-tructive in conformitate cu prezentul Cod constituie niveluri minime de calitate in sensul Legii nr.10/1995. La solicitarea investitorului, proiectantul poate adopta masuri suplimentare pentru obtinerea unor niveluri de asigurare superioare. Se recomanda ca aceste masuri sa fie adoptate pe baza unei analize de tip cost-beneficiu care sa tina seama de costul total probabil al constructiei pe durata de exploatare prevazuta prin tema de proiectare.
(5) Prevederile prezentului Cod referitoare la alcatuirea de ansamblu si la calculul cladirilor cu structuri din zidarie precum si cele referitoare la detalierea constructiva a partilor/elementelor pentru constructie sunt aplicabile numai pentru structurile curente ale cladirilor civile, industriale si agrozootehnice enumerate la (6). In cazul cladirilor cu alcatuiri neuzuale sau care sunt destinate unor functiuni speciale, prevederile Codului au numai caracter orientativ.
(6) Acest sistem structural este folosit in mod curent pentru:
Cladiri etajate cu inaltime pana la P+4E inclusiv: locuinte, alte cladiri cu functiuni similare (hoteluri, moteluri, internate, crese, etc.), cladiri pentru invatamant si ocrotirea sanatatii, alte tipuri de cladiri social-culturale care nu necesita spatii libere mari si care au functiuni in general fixe (care nu sunt susceptibile de a suferi transformari majore in timpul exploatarii);
Cladiri tip hala/sala cu deschideri si inaltimi moderate ( de re-gula, cu deschideri maxime de 9.00 15.00 m si inaltimi de 6.00 8.00 m) pentru sali de gimnastica, ateliere, depozite, cladiri agrozootehnice, etc.
(7) Prevederile privind executia lucrarilor sunt tratate in masura in care este necesar sa se indice calitatea materialelor si a produselor pentru constructii si nivelul calitatii executiei pe santier, cerute pentru respectarea ipotezelor avute in vedere la proiectare.
(8) Prevederile Codului se aplica numai structurilor realizate cu ele-mente pentru zidarie si/sau cu mortare, din tara sau din import, care indeplinesc urmatoarele doua conditii:
Sunt conforme cu normele europene asimilate ca norme nationale (SR EN) sau cu alte norme din Romania privitoare la conditiile de calitate si/sau la caracteristicile mecanice (inclusiv cerintele de durabilitate);
Satisfac cerintele specifice pentru zidariile din zonele seismice date in prezentul Cod si in Codul P100-1/2006.
NOTA: Conditiile de calitate si caracteristicile respective se refera la elemente si/sau mortare considerate individual precum si la zidariile executate cu acestea.
(9) In cazul structurilor executate cu elemente pentru zidarie si/sau cu mortare, fabricate in tara sau din import, care nu satisfac una dintre cerintele de la pct.(8), prevederile Codului au caracter orientativ si vor putea fi aplicate pe baza prescriptiilor tehnice specifice (conform celor specificate in H.G. nr. 622/2004), prin care vor fi sta-bilite domeniile si conditiile tehnice de folosire pentru produsele res-pective in Romania.
(10) Conditiile de calitate si/sau caracteristicile mecanice ale materialelor componente si ale zidariilor realizate cu acestea, pentru care sunt aplicabile prevederile prezentului Cod, pot fi stabilite pe baza urmatoarelor categorii de informatii:
- Informatii existente in baza de date nationala;
- Date din agrementele tehnice eliberate de autoritatile competente din Romania;
- Incercari efectuate in cazul unui proiect concret;
- Informatii existente intr-o baza de date din strainatate pentru produse similare.
NOTE.
1º In cazul datelor stabilite prin incercari, efectuate in cadrul unui proiect sau existente intr-o baza de date din strainatate, este necesara cunoasterea si validarea metodologiei de testare si de interpretare a rezultatelor.
2º In cazul elementelor pentru zidarie, prin produse similare se inteleg, de exemplu, elemente avand aceleasi valori ale dimensiunilor, volumului de goluri, grosimii peretilor interiori si exteriori ai blocurilor cu goluri verticale, aceiasi profilatie a rosturilor verticale (in cazul elementelor cu imbinari tip nut si feder), etc. si care sunt puse in opera, de regula, in conditii de calitate similare cu nivelul mediu al manoperei din Romania.
(11) In lipsa datelor fundamentale stiintific, obtinute din una dintre sursele mentionate la (10), pentru proiectarea cladirilor cu structuri din zidarie, alcatuite cu materiale care satisfac cele doua conditii de la (8), se vor folosi valorile caracteristicilor mecanice ale materia-lelor componente si ale zidariei stabilite prin prezentul Cod.
1.2. Relatia cu alte norme
(1) Codul trateaza cerintele speciale relative la proiectarea seismica a cladirilor in corelare cu prevederile Capitolului 8 din Codul de proiectare seismica P100-1/2006 (in trimiterile respective nu se mai mentioneaza si numarul capitolului). In cazurile in care se fac referinte la alte capitole din Codul P100-1/2006, numarul capitolului respectiv este mentionat in mod explicit in text.
(2) In cazul cladirilor situate pe terenuri de fundare dificile, prevederile Codului vor fi completate cu cele ale reglementarilor specifice privitoare la alcatuirea de ansamblu, la dimensionarea si la detalierea constructiva a cladirilor din zidarie si a elementelor acestora.
(3) Prezentul Cod nu contine prevederi referitoare la rezistenta la foc a structurilor din zidarie. Aceste prevederi vor face obiectul unui volum separat.
1.3. Definitii principale
1.3.1. Tipuri de zidarii
- Zidarie simpla/nearmata (ZNA): zidarie care nu contine suficienta armatura pentru a putea fi considerata zidarie armata- cum sunt zidaria confinata, zidaria confinata si armata in rosturile orizontale, zidaria cu inima armata.
- Zidarie confinata (ZC): zidarie prevazuta cu elemente pentru confinare de beton armat pe directia verticala (stalpisori) si orizontala (centuri).
- Zidarie confinata si armata in rosturile orizontale (ZC+AR): zidarie confinata la care, in rosturile orizontale, sunt prevazute armaturi in cantitati suficiente, din otel sau din alte materiale cu rezistenta semnificativa la intindere, in scopul cresterii rezistentei la forta taietoare si a ductilitatii peretelui.
- Zidarie cu inima armata (ZIA): perete alcatuit din doua ziduri paralele avand spatiul dintre ele umplut cu beton armat sau cu mortar-beton (grout) armat, cu sau fara legaturi mecanice intre straturi si la care cele trei componente conlucreaza pentru preluarea tuturor categoriilor de solicitari.
NOTA. Pentru peretii din zidarie confinata, zidarie confinata si armata in rosturile orizontale si zidarie cu inima armata, conlucrarea zidariei si betonului armat, se obtine prin turnarea elementelor de beton armat dupa executarea zidariei.
1.3.2. Mortare
Definitii conform conceptiei (document normativ de referinta SR EN 998-2004):
- mortar performant pentru zidarie: mortar a carui compozitie si metoda de obtinere este aleasa de producator in vederea obtinerii caracteristicilor specificate (concept de performanta);
- mortar de reteta pentru zidarie: mortar produs conform proportiilor predeterminate, ale carui caracteristici rezultate sunt in functie de proportiile stabilite ale constituentilor (concept de reteta).
Definitii conform caracteristicilor si utilizarii (document normativ de referinta SR EN 998-2004):
- mortar pentru zidarie pentru utilizare generala (G): mortar pentru zidarie fara caracteristici speciale;
- mortar pentru zidarie pentru straturi subtiri (T): mortar performant pentru zidarie cu dimensiunea maxima a agregatelor mai mica sau egala cu o valoare indicata.
- mortar usor pentru zidarie (L): mortar performant pentru zidarie cu densitatea in stare uscata mai mica sau egala cu o valoare indicata.
NOTA. Prevederile prezentului Cod nu se refera la mortarul pentru rosturi subtiri (T), care necesita prelucrarea (rectificarea) fetei de pozare a elementelor pentru zidarie si nici la mortarul de zidarie usor (L). Folosirea acestora se va face numai pe baza unor reglementari speciale (Normativ/ Agrement tehnic/ SR EN) elaborate si aprobate conform legislatiei din Romania.
- mortarbeton (grout): amestec de ciment, nisip, pietris monogranular -de dimensiunea unui bob de mazare- si apa. Amestecul se realizeaza cu o consistenta redusa-tasare de circa 20 25 cm pe conul etalon de 30 cm inaltime.
1.3.3. Elemente pentru zidarie
Element pentru zidarie clasa I: element pentru zidarie pentru care probabilitatea de a nu atinge rezistenta la compresiune declarata este ≤5%.
Element pentru zidarie clasa II: element pentru zidarie care nu in-deplineste nivelul de incredere al elementelor pentru zidarie clasa I.
1.3.4. Pereti din zidarie
Perete structural: perete destinat sa reziste fortelor verticale si ori-zontale care actioneaza, in principal, in planul sau.
Perete de rigidizare: perete dispus perpendicular pe un alt perete, cu care conlucreaza la preluarea fortelor verticale si orizontale si contribuie la asigurarea stabilitatii acestuia; in cazul cladirilor cu plansee care descarca pe o singura directie, peretii paraleli cu directia elementului, care nu sunt incarcati direct cu forte verticale, dar care preiau fortele orizontale care actioneaza in planul lor, sunt definiti si ca pereti de contravantuire ( a se vedea 5.1.2.1.).
Perete nestructural: perete care nu face parte din structura principala a constructiei; peretele de acest tip poate fi suprimat, fara sa prejudicieze integritatea restului structurii, dar numai in urma unei expertize tehnice de specialitate.
Perete de umplutura: perete care nu face parte din structura principala dar care, in anumite conditii (detaliate in Codul P100-1/2006), contribuie la rigiditatea laterala a constructiei si la disiparea energiei seismice; suprimarea in timpul exploatarii cladirii sau crearea de goluri de usi/ferestre intr-un perete de acest tip poate fi facuta numai pe baza unui proiect de specialitate, a unei justificari prin calcul si cu masuri constructive adecvate.
1.4. Notatii, unitati de masura in Sistemul International (SI)
1.4.1. Notatii
Simbolurile specifice, dependente de material, utilizate in acest cod pentru structuri din zidarie sunt:
|
a1 |
Distanta de la capatul peretelui pana la cea mai apropiata extremitate a reazemului care transmite forta verticala →6.6.2.3. (1); |
|
ag |
Valoarea de proiectare a acceleratiei seismice a terenului → 5.1.1. (2); |
|
as |
Aria armaturii/unitatea de lungime din stratul median al zidariei cu inima armata → 6.6.3.4. (5); |
|
A |
Aria sectiunii transversale a unui element → 6.6.2.1. (1); |
|
Aasc |
Aria armaturii din stalpisorul comprimat → 6.6.4.3. (4) |
|
Ab |
Aria pe care se aplica forta concentrata → 6.6.2.3. (1); |
|
Abc |
Aria betonului comprimat dintr-un stalpisor → 6.6.3.3. (6) |
|
Aef |
Aria peretelui efectiv incarcata cu forta concentrata → 6.6.2.3. (1); |
|
Apl |
Aria planseului unui etaj → 5.2.1. (2) |
|
As |
Aria de armatura intinsa din stalpisori → 6.6.3.3. (7); |
|
Asw |
Aria armaturilor din rosturile orizontale pentru prelua-rea fortei taietoare → 6.6.4.4. (2); |
|
Azc |
Aria zonei comprimate la compresiune excentrica pentru un perete de ZNA → 6.6.3.2. (2); |
|
Az,net |
Aria neta totala a peretilor din zidarie pe una din directiile principale ale cladirii → 5.2.1. (2) |
|
bactiv |
Latimea activa a talpii unui element compus (L,T,I) → 6.3.1. (3); |
|
C |
Clasa de rezistenta la compresiune a betonului → 3.3.1. (4); |
|
di (i=1,2) |
Excentricitatea de aplicare a incarcarilor din plansee pe un perete → 6.2.2.2.1. (3); |
|
dpilastru |
Distanta intre axele pilastrilor de rigidizare → 6.6.2.1.3. (4); |
|
dr |
Deplasarea relativa de nivel a cladirii → 6.8.2. (1); |
|
dRG |
Distanta intre centrul de greutate al planseului (G) si centrul de rigiditate (R) → 6.5.2. (1); |
|
ea |
Excentricitatea accidentala a fortelor verticale → 6.2.2.2.2. (1); |
|
ehi |
Excentricitatea la partea superioara/inferioara a peretelui, data de incarcarile perpendiculare pe perete → 6.6.2.1.1. (1); |
|
ei |
Excentricitatea de calcul in raport cu planul peretelui → 6.6.2.1.1. (1); |
|
ei0 |
Excentricitatea datorata incarcarilor verticale aplicate peste nivelul de calcul al unui perete → 6.2.2.2.1. (3); |
|
emk |
Excentricitatea finala la ⅔ din inaltimea peretelui → 6.6.2.1.1. (1); |
|
ehm |
Excentricitatea la ⅔ din inaltimea peretelui, data de incarcarile perpendiculare pe perete → 6.6.2.1.2. (1); |
|
ek |
Excentricitatea datorata curgerii lente → 6.6.2.1.2. (1); |
|
Eb |
Modulul de elasticitate longitudinal al betonului → 4.1.2.2.1. (6); |
|
Ez |
Modulul de elasticitate longitudinal secant de scurta durata al zidariei → 4.1.2.2.1. (1); |
|
EZC(ZIA) |
Modulul de elasticitate longitudinal al zidariei confi-nate/zidariei cu inima armata → 4.1.2.2.1. (6); |
|
Ez,ld |
Modulul de elasticitate longitudinal de lunga durata al zidariei → 4.1.2.2.1. (1) |
|
fb |
Rezistenta unitara la compresiune standardizata a ele-mentelor pentru zidarie normal pe fata rostului orizontal → 3.1.3.1.1. (2); |
|
fbh |
Rezistenta unitara la compresiune standardizata a ele-mentelor pentru zidarie paralel cu fata rostului orizon-tal, in planul peretelui → 3.1.3.1.1. (6); |
|
fbo |
Rezistenta unitara de aderenta a armaturii → 4.1.1.4. (1); |
|
fbok |
Rezistenta unitara caracteristica de aderenta a armaturii → 4.1.1.4. (2); |
|
fcd |
Rezistenta de proiectare la compresiune a betonului → 6.6.3.3. (5); |
|
fcd* |
Valoarea de baza a rezistentei de proiectare la compresiune a betonului → 6.6.3.3. (5); |
|
fck |
Rezistenta unitara caracteristica la compresiune a betonului → 3.3.1. (4); |
|
fd |
Rezistenta unitara de proiectare la compresiune a zidariei → 4.1.1.1.2. (1); |
|
fk |
Rezistenta unitara caracteristica la compresiune a zidariei →4.1.1.1.1. (1); |
|
fm |
Rezistenta unitara medie la compresiune a mortarului → 3.2.3.1. (1); |
|
fmbk |
Rezistenta unitara caracteristica la compresiune a mortar-betonului (groutului) din stratul median al peretilor din zidarie cu inima armata → 3.3.2. (3) |
|
fmed |
Rezistenta unitara medie la compresiune a elementelor pentru zidarie, normal pe fata rostului orizontal → 4.1.1.1.1. (7); |
|
fvd |
Rezistenta unitara de proiectare la forfecare a zidariei → 4.1.1.2.2. (1); |
|
fvd0 |
Rezistenta unitara de proiectare la forfecare sub efort de compresiune nul a zidariei → 6.6.5. (5); |
|
fvk |
Rezistenta unitara caracteristica la forfecare a zidariei → 4.1.1.2.1. (3); |
|
fvk0 |
Rezistenta unitara caracteristica la forfecare sub efort de compresiune nul a zidariei → 3.2.3.2. (2); |
|
fx1 |
Rezistenta unitara la incovoiere a zidariei dupa un plan de rupere paralel cu rosturile orizontale → 4.1.1.3. (1); |
|
fx2 |
Rezistenta unitara la incovoiere a zidariei dupa un plan de rupere perpendicular pe rosturile orizontale → 4.1.1.3. (1); |
|
fxd1 |
Rezistenta unitara de proiectare a zidariei la inco-voiere paralel cu rosturile orizontale → 4.1.1.3.2. (1); |
|
fxd2 |
Rezistenta unitara de proiectare a zidariei la incovoiere perpendicular pe rosturile orizontale → 4.1.1.3.2. (1); |
|
fxk1 |
Rezistenta unitara caracteristica a zidariei la incovo-iere paralel cu rosturile orizontale → 4.1.1.3.1. (1); |
|
fxk2 |
Rezistenta unitara caracteristica a zidariei la incovo-iere perpendicular pe rosturile orizontale → 4.1.1.3.1. (1); |
|
fyd |
Rezistenta unitara de proiectare a armaturii din stalpisori/stratul median al ZIA → 6.6.3.3. (7); |
|
fysd |
Rezistenta unitara de proiectare a armaturilor din rosturile orizontale ale zidariei → 6.6.4.4. (2); |
|
fzd* |
Valoarea de referinta a rezistentei unitare de proiec-tare a zidariei → 2.4.2.3. (1); |
|
fzk |
Valoarea caracteristica a rezistentei unitare a zidariei → 2.4.2.3. (1); |
|
fδ |
Coeficient de corectie pentru rezistenta unitara carac-teristica la compresiune a zidariei → 4.1.1.1.1. (8); |
|
Fb |
Forta taietoare de baza din actiunea seismica pentru o cladire → 6.3.2.1. (2); |
|
FEd(zu) |
Forta axiala din diagonala comprimata a panoului de umplutura corespunzatoare actiunii seismice de proiectare → 6.8.1.1. (4); |
|
Fi |
Reactiunea orizontala, data de forta Sniv in sectiunea de reazem a planseului pe peretele i → 6.5.2. (2); |
|
Fp |
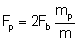
Forta taietoare de baza din actiunea seismica pentru o constructie de mici dimensiuni (proeminenta) ampla-sata peste ultimul nivel al unei cladiri → 6.3.2.1. (2); |
|
FRd(zu) |
Rezistenta de proiectare a panoului de umplutura → 6.6.5. (1); |
|
FRd1(zu) |
Rezistenta de rupere prin lunecare din forta taietoare in rosturile orizontale a panoului de zidarie de umplutura → 6.6.5. (1); |
|
FRd2(zu) |
Rezistenta de rupere la strivire a diagonalei comprimate a panoului de zidarie de umplutura → 6.6.5. (1); |
|
FRd3(zu) |
Rezistenta de rupere prin fisurare in lungul diagonalei comprimate a panoului de umplutura → 6.6.5. (1); |
|
Gz |
Modulul de elasticitate transversal al zidariei simple → 4.1.2.2.2. (1); |
|
GZC(ZIA) |
Modulul de elasticitate transversal al zidariei confinate/zidariei cu inima armata → 4.1.2.2.2. (2); |
|
H |
Inaltimea libera a peretelui → 6.3.1. (3); |
|
hef |
Inaltimea efectiva a peretelui → 6.6.2. (1); |
|
hgol |
Inaltimea golului din zidarie → 5.2.5. (6); |
|
het |
Inaltimea etajului → 5.2.6. (3); |
|
hp |
Inaltimea panoului de zidarie de umplutura → 6.6.5. (5); |
|
htot |
Inaltimea totala a peretelui structural → 6.3.1. (3); |
|
H0 |
Inaltimea peretelui de la baza pana la nivelul la care se aplica forta concentrata → 6.6.2.3. (1); |
|
Ib |
Momentul de inertie al sectiunii de beton a elementelor pentru confinare → 4.1.2.2.1. (6); |
|
II |
Momentul de inertie al sectiunii ideale a peretelui → 6.3.2.2. (5); |
|
Ist |
Valoarea medie a momentelor de inertie ale stalpilor care marginesc panoul de zidarie de umplutura → 6.6.5. (5); |
|
Iiz |
Momentul de inertie al sectiunii de zidarie confinata → 4.1.2.2.1. (6); |
|
K |
Constanta referitoare la rezistenta caracteristica la compresiune a zidariei → 4.1.1.1.1. (2); |
|
lc |
Lungimea zonei comprimate a peretelui pentru calculul rezistentei la forta taietoare → 6.6.4.2. (1); |
|
lmin |
Latimea minima a spaletului de zidarie la o sectiune compusa → 5.2.5. (6); |
|
lp |
Lungimea panoului de zidarie de umplutura → 6.6.5. (5); |
|
ls |
Distanta intre centrele de greutate ale stalpisorilor de la extremitatea unui perete de zidarie → 6.6.3.3. (7); |
|
lw |
Lungimea sectiunii orizontale a unui perete → 6.6.2.1.3. (6); |
|
L |
Dimensiunea cladiri perpendicular pe directia fortei seismice de proiectare → 5.1.3. (2); |
|
Lc |
Deschiderea unei console de beton incastrata in zidarie → 5.3.3. (3); |
|
Lef |
Lungimea efectiva de preluare a fortei concentrate → 6.6.2.3. (1); |
|
Lv,et |
Forta de lunecare verticala intre inima si talpa unui perete compus → 6.3.2.2. (5); |
|
m |
Masa totala a cladirii supusa actiunii seismice → 6.3.2.1. (2); |
|
mb |
Coeficientul conditiilor de lucru pentru betonul/mortar-betonul din stratul median al ZIA → 3.3.3. (3); |
|
mp |
Masa constructiei de mici dimensiuni (proeminenta) aflata peste ultimul nivel al unei cladiri → 6.3.2.1. (2); |
|
mz |
Coeficientul conditiilor de lucru pentru zidarie → 2.4.2.3. (3); |
|
M** |
Rezistenta medie a compresiune a mortarului (marca mortarului)- in N/mm2 → 3.2.2. (1); |
|
MExd1 |
Valoarea de proiectare a momentului incovoietor in plan paralel cu rosturile orizontale din incarcari se-ismice → 6.8.1.2. (2); |
|
MExd2 |
Valoarea de proiectare a momentului incovoietor in plan perpendicular pe rosturile orizontale din incarcari seismice → 6,8,1,2, (2); |
|
Mhi |
Momentul incovoietor la nivelul planseului, dat de incarcarea orizontala uniform distribuita ph → 6.4.2. (4); |
|
Mhm |
Momentul incovoietor la mijlocul inaltimii peretelui dat de incarcarea orizontala uniform distribuita ph → 6.4.2. (4); |
|
Minf |
Momentul incovoietor in sectiunea de la baza etajului pentru care se calculeaza lunecarea verticala → 6.3.2.2. (5); |
|
MRd |
Rezistenta de proiectare la incovoiere in planul peretelui → 6.6.1.1. (6); |
|
MRd(As) |
Rezistenta de proiectare la incovoiere corespun-zatoare armaturilor din stalpisori → 6.6.3.3. (4); |
|
MRd(zna,i) |
Rezistenta de proiectare la incovoiere cu forta axiala a sectiunii ideale de zidarie nearmata → 6.6.3.3. (4); |
|
MRxd1 |
Rezistenta de proiectare a peretelui in plan paralel cu rosturile orizontale → 6.6.1.1. (6); |
|
MRxd2 |
Rezistenta de proiectare la incovoiere a peretelui in plan perpendicular pe rosturile orizontale → 6.6.1.1. (6); |
|
MSd |
Valoarea de proiectare a momentului incovoietor in planul peretelui, din incarcari neseismice → 6.6.3.2. (1); |
|
MSxd1 |
Valoarea de proiectare a momentului incovoietor in plan paralel cu rosturile orizontale din incarcari neseismice → 6.4.2. (1); |
|
MSxd2 |
Valoarea de proiectare a momentului incovoietor in plan perpendicular pe rosturile orizontale din incarcari neseismice → 6.4.2. (1); |
|
MX1MX5 |
Clase de expunere la conditiile de mediu → 4.3.2.1. (3); |
|
nech |
Factor de echivalenta intre zidarie si beton → 6.3.2.2. (5); |
|
nniv |
Numarul de niveluri peste sectiunea de incastrare a peretilor structurali → 5.1.3. (3); |
|
NED |
Valoarea de proiectare a fortei axiale in gruparea de incarcari care include fortele seismice → 6.6.3.3. (1); |
|
NRd |
Rezistenta de proiectare la forta axiala → 6.6.1.1. (6); |
|
NRd(1) |
Rezistenta de proiectare la forta axiala pe unitatea de lungime a peretelui dreptunghiular → 6.6.2.1. (2); |
|
NSd |
Valoarea de proiectare a fortei axiale → 6.6.3.2. (1); |
|
ph |
Incarcarea orizontala uniform distribuita perpendicular pe o fasie de perete → 6.4.2. (4); |
|
pmax/min |
Valorile extreme ale fortei orizontale care actioneaza la nivelul unui planseu → 6.5.2. (1); |
|
p% |
Densitatea peretilor structurali → 5.1.5.2. (1); |
|
Q |
Factorul de comportare conform P100-1/2006 → 6.3.2.1. (4); |
|
S |
Distanta pe verticala intre armaturile din rosturile orizontale ale zidariei (Asw) → 6.6.4.4. (2); |
|
SI |
Momentul static al sectiunii ideale a talpii unui perete compus → 6.3.2.2. (5); |
|
Sniv |
Forta seismica de proiectare aplicata la nivelul unui planseu → 6.5.2. (1); |
|
T |
Grosimea peretelui de zidarie → 5.2.5. (6); |
|
tcalc |
Grosimea de calcul a peretelui rigidizat cu pilastri din zidarie → 6.6.2.1.3. (5); |
|
te |
Grosimea peretilor exteriori ai elementelor pentru zi-darie cu goluri verticale → 3.1.2.2. (4); |
|
tf |
Grosimea unei talpi a peretelui cu sectiunea compusa (I,T,L) → 6.3.1. (2); |
|
tI |
Grosimea peretilor interiori ai elementelor pentru zidarie cu goluri verticale → 3.1.2.2. (4); |
|
tL |
Grosimea peretelui in sectiunea in care se calculeaza rezistenta la lunecare verticala → 6.6.4.6. (1); |
|
tm |
Grosimea stratului median al peretelui din zidarie armata → 6.6.3.4. (3); |
|
tp |
Grosimea panoului de zidarie de umplutura → 6.6.5. (5); |
|
tpilastru |
Grosimea unui pilastru de rigidizare → 6.6.2.1.3. (4); |
|
tz |
Grosimea totala a straturilor exterioare de zidarie la ZIA → 6.6.3.4. (3); |
|
T |
Clasa de consistenta a betonului → 3.3.2. (7); |
|
VEd |
Valoarea de proiectare a fortei taietoare determinata prin calculul structurii in domeniul elastic liniar pentru combinatia de incarcari care include actiunea seismica → 6.8.1.1. (2); |
|
VLhd |
Capacitatea de rezistenta la forta de lunecare verticala in peretii cu sectiuni compuse → 6.6.1.1. (6); |
|
VR |
Capacitatea de rezistenta la forta taietoare a cladirii pe directia de calcul → 6.5.2. (2); |
|
VRd |
Rezistenta de proiectare la forta taietoare → 6.6.1.1. (6); |
|
VRda |
Rezistenta de proiectare la forta taietoare a armaturilor orizontale din stratul median al peretelui de ZIA → 6.6.4.5. (1); |
|
VRdb |
Rezistenta de proiectare la forta taietoare a stratului median de beton sau mortar-beton (grout) al peretelui de ZIA → 6.6.4.5.(1); |
|
VRdi |
Capacitatea de rezistenta la forta taietoare a unui montant al peretelui i → 6.5.2. (2); |
|
VRdz |
Rezistenta de proiectare la forta taietoare a zidariei peretelui cu inima armata → 6.6.4.5. (1); |
|
VRd1 |
Rezistenta de proiectare la forta taietoare a panoului de zidarie confinata → 6.6.4.3. (1); |
|
VRd2 |
Rezistenta de proiectare la forfecare a armaturii din stalpisorul comprimat → 6.6.4.3. (1); |
|
VRd3 |
Rezistenta de proiectare a armaturilor din rosturile orizontale ale zidariei → 6.6.4.4. (2); |
|
VSd |
Forta taietoare de proiectare → 6.8.1.1. (1); |
|
Ww |
Modulul de rezistenta al peretelui → 6.6.6.(3); |
|
x |
Adancimea zonei comprimate la incovoiere cu forta axiala rezultata din ipoteza sectiunilor plane → 6.6.3.3. (1) |
|
xconv |
Adancimea conventionala a blocului eforturilor de compresiune la incovoiere cu forta axiala pentru ZIA → 6.6.3.4. (1); |
|
xmax |
Adancimea maxima a zonei comprimate la incovoiere cu forta axiala pentru zidaria confinata →6.6.3.3. (5); |
|
xRd |
Adancimea zonei comprimate la incovoiere cu forta axiala pentru peretele dreptunghiular din ZNA →6.6.3.2. (3); |
|
yG |
Distanta de la centrul de greutate pana la fata cea mai comprimata a unui perete din ZNA→ 6.6.3.2.(5); |
|
ySC |
Distanta de la fibra cea mai comprimata la limita samburelui central a unui perete din ZNA →6.6.3.2.(5) |
|
yzc |
Distanta de la centrul peretelui pana la centrul de greutate al zonei comprimate a sectiunii ideale de zidarie →6.6.3.2.(2); |
|
|
Coeficient pentru calculul fortei de rupere prin luneca-re in rost pentru panourile de zidarie de umplutura →6.6.5.(1); |
|
αts |
Coeficientul de dilatare termica al otelului→3.4.(7); |
|
αtz |
Coeficientul de dilatare termica al zidariei →4.2.(3); |
|
α u/ α1 |
Coeficientul de suprarezistenta al structurilor din zida-rie →6.3.2.1.(5); |
|
|
Coeficient de majorare pentru incarcarile concentrate →6.6.2.3.(1) |
|
γmt |
Coeficient partial de siguranta la intindere pentru betonul/mortar-betonul din stratul median al ZIA → 3.3.3.(3) |
|
γmc |
Coeficient partial de siguranta la compresiune pentru betonul/mortar-betonul din stratul median al ZIA → 3.3.3.(3) |
|
γM |
Coeficient partial de siguranta pentru material →2.4.2.3(1); |
|
γS |
Coeficient partial de siguranta pentru otel→3.4.(6); |
|
|
Coeficient de corectie in functie de dimensiuni pentru rezistenta standardizata la compresiune a elementelor pentru zidarie →3.1.3.1.1.(3); |
|
ΔM |
Variatia momentului incovoietor intr-un perete pe inaltimea etajului →6.3.2.2.(5); |
|
εc |
Deformatia specifica in beton →6.6.3.3.(2); |
|
εm |
Deformatia specifica in zidarie→6.6.3.3.(2).; |
|
εus |
Deformatia specifica ultima in armatura →6.6.3.3.(3); |
|
εub |
Deformatia specifica ultima a betonului →6.6.3.1.(1); |
|
εuz |
Deformatia specifica ultima a zidariei →4.1.2.1.(3); |
|
|
Raportul intre ariile in plan ale golurilor de usi si feres-tre si ariile plinurilor de zidarie →5.2.5. (3); |
|
ρ n |
Factorul de reducere a inaltimii efective pentru pere-tele rigidizat pe contur (unde n = 2, 3 sau 4) → 6.6.2.1.3.(6); |
|
ρw |
Factorul de amplificare pentru grosimea peretelui rigidizat cu pilastri de zidarie →6.6.2.1.3. (6); |
|
σd |
Efortul unitar normal de compresiune determinat con-siderand incarcarea verticala uniform distribuita pe toata lungimea peretelui →4.1.1.2.1 .(3); |
|
|
Coeficient pentru calculul valorilor frecvente ale actiunilor variabile → 2.4.1. (6); |
|
|
Coeficient pentru calculul valorilor cvasipermanente ale actiunilor variabile → 2.4.1. (6); |
|
|
Diametrul armaturii; |
|
Фi |
Factor de reducere datorita zveltetii peretelui la partea superioara si la baza peretelui →6.6.2.1.(1); |
|
Фm |
Coeficient final de curgere lenta → 4.1.2.2.1.(7). |
|
|
Coeficient final de curgere lenta → 4.1.2.2.1.(7). |
|
|
Unghiul cu orizontala al panoului de zidarie de umplutura→6.6.5.(5) |
NOTA. Trimiterile → se refera la primul paragraf din text in care este folosita notatia respectiva.
1.4.2. Unitati de masura
(1) In prezentul Cod se utilizeaza unitatile din Sistemul International (SI),-ISO 1000.
(2) Pentru calcule sunt recomandate urmatoarele unitati:
- Eforturi si incarcari: kN, kN/m, kN/m2
- Masa: kg, t
- Masa specifica (densitate): kg/m3,t/m3
- Greutate specifica: kN/m3
- Eforturi unitare si rezistete: N/mm2 (MPa), kN/m2 (kPa)
- Momente (incovoietoare, de torsiune, etc.): kNm
- Acceleratii: m/s2
1.4.3. Echivalenta notatiilor din Cod (1.4.1.) cu cele
din normativul de referinta STAS 10107/0-90
fyd rezistenta unitara de proiectare a armaturii din stalpisorul com-primat → Ra
fyk rezistenta unitara caracteristica de curgere a armaturii → Rak
fysd rezistenta unitara de proiectare a armaturilor din rosturile orizon-tale ale zidariei → Ra
fcd* rezistenta unitara de proiectare la compresiune a betonului → Rc* (valoarea de baza)
fck rezistenta unitara caracteristica la compresiune a betonului → Rck
1.4.4. Lista tabelelor
Articolul
|
|
Tab.3.1a |
Factorul de transformare δ |
|
|
|
Tab.3.1b |
Factorul de transformare δ Ίi valori fb pentru elemente de argila arsa si de beton obisnuit si usor produse curent in Romania |
|
|
|
Tab.3.1c |
Factorul de transformare δ Ίi valori fb pentru elemente de beton celular autoclavizat pro-duse curent in Romania |
|
|
|
Tab.3.2. |
Rezistente minime ale morta-relor pentru zidarie |
|
|
|
Tab. 4.1. |
Valorile coeficientului K pentru zidarie cu elemente fabricate in Romania si mortar pentru utilizare generala (G) |
|
|
|
Tab.4.2a. |
Rezistenta unitara caracteris-tica la compresiune (fk in N/mm2) a zidariilor cu caramizi pline din argila arsa 240x115x 63 mm |
|
|
|
Tab.4.2b. |
Rezistenta unitara caracteris-tica la compresiune (fk in N/mm2) a zidariilor cu blocuri din BCA fabricate in Romania |
|
|
|
Tab.4.3. |
Rezistenta unitara caracteris-tica initiala la forfecare a zidariei (fvk0) in N/mm2 |
|
|
|
Tab.4.4a |
Rezistenta unitara caracteris-tica la forfecare in rost orizontal fvk a zidariei cu elemente pentru zidarie de argila arsa din grupa 1 |
|
|
|
Tab.4.4b. |
Rezistenta unitara caracteris-tica la forfecare in rost orizon-tal fvk a zidariei cu elemente pentru zidarie de argila arsa din grupa 2 |
|
|
|
Tab.4.4c. |
Rezistenta unitara caracteris-tica la forfecare in rost orizon-tal fvk a zidariei cu elemente pentru zidarie din beton celu-lar autoclavizat |
|
|
|
Tab.4.5. |
Rezistente unitare caracteris-tice la incovoiere perpendicular pe planul zidariei |
|
|
|
Tab.4.6. |
Rezistenta unitara caracteris-tica de aderenta a armaturilor in betonul de confinare (N/mm2) |
|
|
|
Tab.4.7. |
Rezistenta unitara caracteris-tica de aderenta a armaturilor in mortar sau in betonul din ZIA (N/mm2) |
|
|
|
Tab.4.8. |
Valorile modulului de elasti-citate secant de scurta durata al zidariei (Ez) |
|
|
|
Tab.4.9. |
Valorile principalelor proprietati fizice ale zidariei |
|
|
|
Tab.5.1. |
Clasificarea cladirilor cu pereti structurali din zidarie in grupe de regularitate |
|
|
|
Tab. 6.1. |
Valorile coeficientului Φm |
|
|
|
Tab.6.2. |
Coeficientul de majorare a gro-simii peretelui rigidizat cu pilastri din zidarie |
|
|
|
Tab.6.3. |
Coeficientii ρn pentru determi-narea inaltimii efective a pere-tilor din zidarie. |
|
1.4.5. Lista figurilor
|
Articolul |
|||
|
|
Fig.1.1. |
Tipuri de alcatuire pentru pereti din zidarie |
|
|
|
Fig.4.1. |
Alcatuirea zidariei |
|
|
|
Fig.4.2. |
Ruperea zidariei prin incovo-iere perpendicular pe planul peretelui |
|
|
|
Fig.4.3. |
Relatia efort unitar-deformatie specifica (σ-ε) pentru zidγria solicitata la zidaria axiala |
|
|
|
Fig.5.1. |
Conditii de regularitate structu-rala in plan |
|
|
|
Fig.5.2 |
Conditii de regularitate structu-rala in elevatie |
|
|
|
Fig.5.3. |
Structuri cu pereti desi (sistem fagure) |
|
|
|
Fig.5.4. |
Structuri cu pereti rari (sistem celular) |
|
|
|
Fig.5.5. |
Pozitionarea stalpisorilor din beton armat la structuri din zidarie confinata |
|
|
|
Fig.5.6. |
Dispunerea alternanta a go-lurilor din peretii de zidarie |
|
|
|
Fig.5.7. |
Dispunerea in plan a golurilor in peretii de zidarie |
|
|
|
Fig.5.8. |
Modularea peretilor de zidarie in raport cu dimensiunile ele-mentelor pentru zidarie |
|
|
|
Fig.5.9. |
Pozitionarea golurilor de mari dimensiuni in plansee |
|
|
|
Fig.5.10 |
Pereti suplimentari la subsol in cazul cladirilor cu pereti rari |
|
|
|
Fig.6.1. |
Incarcari verticale pe peretii structurali date de plansee |
|
|
|
Fig.6.2. |
Incarcari verticale concentrate pe peretii struc-turali |
|
|
|
Fig.6.3. |
Incarcari verticale excentrice pe peretii structurali |
|
|
|
Fig.6.4. |
Excentricitati provenite din alcatuirea structurii |
|
|
|
Fig.6.5. |
Dimensiunile talpilor active |
|
|
|
Fig.6.6. |
Modele de calcul la forte perpendiculare pe plan pentru peretii cu goluri |
|
|
|
Fig.6.7. |
Model simplificat de calcul pentru incarcari per-pendiculare pe planul peretelui la cladiri etajate |
|
|
|
Fig.6.8. |
Calculul eforturilor sectionate de proiectare in plansee din incarcari orizontale |
|
|
|
Fig.6.9. |
Rigidizarea unui perete cu pereti transversali |
|
|
|
Fig.6.10 |
Rigidizarea peretilor cu pilastri din zidarie |
|
|
|
Fig.6.11. |
Calculul rezistentei de proiectare la incovoiere cu forta axiala pentru zidaria nearmata |
|
|
|
Fig.6.12. |
Calculul rezistentei de proiectare la incovoiere cu forta axiala pentru zidaria confinata |
|
|
|
Fig.6.13 |
Deformatii specifice ultime la pereti din zidarie confinata |
|
|
|
Fig.6.14 |
Rezistenta de proiectare la incovoiere cu forta axiala pentru zidaria cu inima armata |
|
|
|
Fig.6.15. |
Rezistenta de proiectare a armaturilor din rosturile orizontale ale zidariei |
|
|
|
Fig.6.16. |
Rezistenta de proiectare a panourilor de zidarie de umplutura |
|
|
|
Fig.7.1. |
Continuitatea armaturilor din centuri |
|
|
|
Fig.7.2. |
Intreruperea centurilor la casa scarii |
|
|
|
Fig.7.3. |
Armarea centurilor slabite prin slituri |
|
|
|
Fig.7.4. |
Armarea zidariei la intersectii de pereti |
|
|
|
Fig.7.5. |
Armaturi pentru centuri si stalpisori in socluri de beton simplu |
|
|
|
Fig.7.6. |
Armaturi pentru centuri si stalpisori in pereti de subsol din beton simplu |
|
|
|
Fig.7.7. |
Masuri constructive pentru parapeti din zidarie |
|
|
|
Fig.7.8. |
Centuri si stalpisori intermediari la pereti ne-structurali |
|
|
|
Fig.7.9. |
Asigurarea stabilitatii peretilor nestructurali cu inaltimea mai mica decat cea a etajului |
|
|
|
Fig.7.10 |
Asigurarea stabilitatii cosurilor din zidarie |
|
|
|
Fig.7.11. |
Asigurarea stabilitatii elementelor majore din zidarie de la fatade (frontoane, timpane, calcane) |
|
1.5. Reglementari tehnice conexe
|
1. CRO-2005 |
Cod de proiectare. Bazele proiectarii structurilor in constructii |
|
2. P100-1/2006 |
Cod de proiectare seismica. Partea I: Prevederi de proiectare pentru cladiri |
|
3. CR1-1-3-2005 |
Cod de proiectare. Evaluarea actiunii zapezii asupra constructiilor |
|
4. NP-082-04 |
Cod de proiectare. Bazele proiectarii si actiunii asupra constructiilor. Actiunea vantului |
|
5. CR2-1-1.1 |
Cod de proiectare a constructiilor cu pereti struc-turali de beton armat |
|
6. NP 007-297 |
Cod de proiectare pentru structuri in cadre din beton armat |
|
7. NP001-2000 |
Cod de proiectare si executie pentru constructii fundate pe pamanturi cu umflari si contractii mari |
|
8. ST 009-2005 |
Specificatia tehnica privind cerinte si criterii de performanta pentru produse de otel utilizate ca armaturi in structuri de beton |
|
9. NE 012-99 |
Cod de practica pentru executarea lucrarilor din beton, beton armat si beton precomprimat. Partea A: Beton si beton armat. |
|
10.NP 019-1997 |
Ghid pentru calculul la stari limita a elementelor structurale din lemn |
|
11.NP 005-2003 |
Normativ privind proiectarea constructiilor din lemn |
|
12. NP112-2004 |
Normativ privind proiectarea si executarea lucra-rilor de fundatii directe la constructii |
|
13. P7-2000 |
Normativ privind fundarea constructiilor pe pamanturi sensibile la umezire (proiectare, exe-cutie, exploatare). |
|
14. C17-82 |
Instructiuni tehnice privind compozitia si prepa-rarea mortarelor de zidarie si tencuiala |
|
15.NP-028-1978 |
Norme tehnice provizorii privind stabilirea distan-telor intre rosturile de dilatare la proiectarea constructiilor |
1.6. Documente normative de referinta
(1) Documentele normative date in cele ce urmeaza contin prevederi care, prin intermediul referintelor din text, devin prevederi ale prezentului Cod.
(2) Pentru documentele normative mentionate fara data se aplica prevederile editiilor in vigoare comunicate de MTCT.
|
1.STAS 10101/1-78- |
Actiuni in constructii. Greutati tehnice si incarcari permanente |
|
|
2.STAS 10101/2-75- |
Actiuni in constructii. Incarcari datorite procesului de exploatare |
|
|
3.STAS 10101/2A1-87- |
Actiuni in constructii. Incarcari tehnologice din exploatare pentru constructii civile, industriale si agrozootehnice. |
|
|
4.STAS 10101/23-75- |
Actiuni in constructii. Incarcari date de tem-peratura exterioara. |
|
|
5.STAS 10101/23A-78- |
Actiuni in consructii. Incarcari date de tem-peratura exterioara in constructii civile si industriale. |
|
|
6.STAS 10107/0-90- |
Calculul si alcatuirea elementelor structu-rale din beton, beton armat si beton pre-comprimat |
|
|
7. STAS 10107/1-90 |
Plansee din beton armat si beton precom-primat. Prescriptii generale de proiectare |
|
|
8.STAS 10107/2-92- |
Plansee curente din placi si grinzi din beton armat si beton precomprimat. Pres-criptii de calcul si alcatuire |
|
|
9.STAS 10107/3-90- |
Plansee cu nervuri dese din beton armat si beton precomprimat. Prescriptii de proiectare |
|
|
10.STAS 10107/4-90- |
Plansee casetate din beton armat. Prescriptii de proiectare |
|
|
11.SR EN 1991-1-1- |
Eurocod 1 Actiuni asupra constructiilor. Partea 1-1: Actiuni generale. Greutati specifice, greutati proprii, incarcari utile pentru cladiri |
|
|
12.SR EN 1991-pr.NA- |
Eurocod 1 Actiuni asupra constructiilor. Partea 1-1: Actiuni generale. Greutati specifice, greutati proprii, incarcari utile pentru cladri. Anexa nationala. |
|
|
- serii de standarde europene |
||
|
13.SR EN 771-1- |
Elemente pentru zidarie de argila arsa |
|
|
14.SR EN 771-2 |
Elemente pentru zidarie de silico-calcar |
|
|
15.SR EN 771-3 |
Elemente pentru zidarie din beton |
|
|
16.SR EN 771-4 |
Elemente pentru zidarie de beton celular autoclavizat |
|
|
17.SR EN 771-5 |
Elemente pentru zidarie din piatra artificiala |
|
|
18.SR EN 771-6 |
Elemente pentru zidarie din piatra naturala |
|
|
19.SR EN 772-1- |
Metode de incercare a elementelor pentru zidarie. Partea 1: Determinarea rezistentei la compresiune |
|
|
20.SR EN 772-3- |
Metode de incercare a elementelor pentru zidarie. Partea 3: Determinarea prin cantarire hidrostatica a volumului net si a procentului de goluri al elementelor pentru zidarie din argila arsa |
|
|
21.SR EN 772-5- |
Metode de incercare a elementelor pentru zidarie. Partea 5: Determinarea continutului de saruri solubile active al elementelor pentru zidarie din argila arsa |
|
|
22.SR EN 772-7- |
Metode de incercare a elementelor pentru zidarie. Partea 7: Determinarea absorbtiei de apa prin fierbere pentru rupera capilaritatii elementelor pentru zidarie din argila arsa |
|
|
23.SR EN 772-11- |
Metode de incercare a elementelor pentru zidarie. Partea 11: Determinarea absorbtiei de apa datorita actiunii capilare a elemen-telor pentru zidarie de beton cu agregate, piatra artificiala si naturala si viteza initiala de absorbtie a apei a elementelor pentru zidarie din argila. |
|
|
24.SR EN 772-13- |
Metode de incercare a elementelor pentru zidarie. Partea 13: Determinarea densitatii aparente si absolute in stare uscata a ele-mentelor pentru zidarie (cu exceptia pietrei naturale). |
|
|
25.SR EN 772-16- |
Metode de incercare a elementelor pentru zidarie. Partea 16: Determinare dimensiuni |
|
|
26.SR EN 772-19- |
Metode de incercare a elementelor pentru zidarie. Partea 19: Determinarea dilatarii la umiditate a elementelor ceramice cu goluri orizontale mari pentru zidarie de argila |
|
|
27.SR EN 998-1- |
Specificatie a mortarelor pentru zidarie. Partea 1: Mortare pentru tencuire si gletuire |
|
|
28.SR EN 998-2- |
Specificatie a mortarelor pentru zidarie. Partea 2: Mortare pentru zidarie |
|
|
29. SR EN 1015-1- |
Metode de incercare a mortarelor pentru zidarie-Partea 1: Determinarea distributiei granulometrice (analiza prin cernere) |
|
|
30.SR EN 1015-2- |
Metode de incercare a mortarelor pentru zidarie. Partea 2: Mortare pentru zidarie |
|
|
31.SR EN 1015-7- |
Metode de incercare a mortarelor pentru zidarie. Partea 7: Determinarea cantitatii de aer din mortarul proaspat. |
|
|
32.SR EN 1015-9- |
Metode de incercare a mortarelor pentru zidarie. Partea 9: Determinarea duratei de lu-crabilitate si timpului de corectie a mortarului proaspat. |
|
|
33.SR EN 1015-10- |
Metode de incercare a mortarelor pentru zidarie. Partea 10: Determinarea densitatii aparente a mortarului intarit |
|
|
34.SR EN 1015-11- |
Metode de incercare a mortarelor pentru zidarie. Partea 11: Determinarea rezistentei la incovoiere a mortarului intarit |
|
|
35.SR EN 1015-17- |
Metode de incercare a mortarelor pentru zidarie. Partea 17: Determinarea continutuli de saruri solubile din mortarele proaspete |
|
|
36.SR EN 1015-18- |
Metode de incercare a mortarelor pentru zidarie. Partea 18: Determinarea coeficientului de absorbtie a apei datorata actiunii capilare a mortarelor intarite |
|
|
37.SR EN 1052-1- |
Metode de incercare a zidariei. Partea 1: Determinarea rezistentei la compresiune |
|
|
38.SR EN 1052-2- |
Metode de incercare a zidariei. Partea 2: Determinarea rezistentei la incovoiere |
|
|
39.SR EN 1052-3- |
Metode de incercare a zidariei. Partea 3: Determinarea rezistentei initiale la forfecare |
|
|
40.SR EN 1052-4- |
Metode de incercare a zidariei. Partea 4: Determinarea rezistentei la forfecare tinand seama de umiditatea inclusa |
|
|
41.SR EN 1745- |
Zidarie si elemente pentru zidarie-Metode pentru determinarea valorilor termice de calcul |
|
|
42.SR EN 13501-1 |
Clasificarea produselor pentru constructii in functie de comportarea la foc-Partea I: Clasificarea in functie de rezultatele incercarilor de reactie la foc |
|
|
43.ETAG 003-1998 |
Guidelines for european technical approval for internal partition kits for use as non-load bering walls.EOTA, Brussels, 1998 |
|
|
44.SR EN 1996-1-1 |
Eurocod 6. Proiectarea structurilor din zidarie.Partea 1-1. Reguli generale pentru struc-turi de zidarie armate sau nearmate. |
|
CAPITOLUL 2. BAZELE PROIECTARII CONSTRUCTIILOR DIN ZIDARIE
2.1. Cerinte fundamentale
(1) Proiectarea cladirilor din zidarie va urmari satisfacerea tuturor cerin-telor (obiectivelor) investitorilor si ale societatii, in conditiile specifice de mediu natural si construit ale amplasamentului, pe toata durata de ex-ploatare prevazuta prin tema de proiectare si in limitele unui efort tehnic si economic rezonabil pentru categoria de impor-tanta a cladirii.
In conditiile naturale specifice teritoriului Romaniei, cerinta de re-zistenta si stabilitate pentru cladirile cu structura din zidarie este conditionata, in principal, de actiunea seismica. Din acest motiv, pre-zentul Cod completeaza Capitolul 8 Prevederi specifice pentru constructii de zidarie din Codul de proiectare seismica P100-1/2006, cu prevederi mai detaliate necesare pentru proiectare.
(3) Codul se refera la proiectarea cladirilor noi din zidarie. Pana la aparitia Codului P100-3 Cod de evaluare si proiectare a lucrarilor de consolidare la cladiri existente vulnerabile seismic, prevederile prezentului Cod pot fi utilizate pentru lucrarile de interventie asupra cladirilor existente numai ca document cu caracter informativ.
(4) Proiectarea cladirilor din zidarie, pentru cerinta de rezistenta si stabilitate se va face in conformitate cu principiile si regulile generale date in Codul CRO-2005.
(5) Cerintele de baza din Codul CRO-2005 se considera satisfacute pentru cladirile din zidarie proiectate conform prezentului Cod, daca:
Calculul la stari limita se face conform principiilor din codul CRO-2005;
Clasificarea, gruparea si valorile actiunilor sunt cele date in documentele mentionate la 2.4.1.;
Se folosesc principiile si regulile de aplicare date in acest Cod.
2.1.1. Reabilitate (siguranta in exploatare si durabilitatea)
Reliabilitatea ceruta pentru cladirile din zidarie se obtine prin:
Adoptarea unei conceptii de proiectare de ansamblu favorabila din punct de vedere al optimizarii raspunsului seismic;
Dimensionarea subansamblurilor/elementelor structurii folosind modele si metode de calcul cat mai apropiate de comportarea reala probabila a acestora;
Proiectarea si executia acestora cu respectarea tuturor prevederilor prezentului Cod si a reglementarilor conexe mentionate la paragraful 1.5.
2.1.2. Proiectarea duratei de exploatare
(1) Durata de exploatare a constructiei va fi specificata in conformitate cu prevederile Codului CRO-2005.
(2) Prevederile referitoare la durabilitate sunt cuprinse in paragraful 4.3. ale Codului.
2.2. Conditii tehnice asociate cerintei de rezistenta si stabilitate
2.2.1. Mecanismul favorabil de disipare a energiei seismice
(1) In cazul cladirilor din zidarie, mecanismul favorabil de disipare a energiei seismice la cutremure severe consta in dirijarea zonelor de dezvoltare a deformatiilor inelastice in zona de la baza montantilor (peste sectiunea de incastrare definita conform 6.3.1. (2)).
(2) Obiectivul de la (1) se realizeaza, in principal, prin urmatoarele masuri:
Momentele incovoietoare capabile vor fi superioare, in toate sectiunile, valorii momentului corespunzator plastificarii din sectiunea de incastrare (conform Codului P100-1/2006);
Capacitatea de rezistenta la forta taietoare a peretilor structurali va fi superioara, in toate sectiunile, fortei taietoare asociata capacitatii de rezistenta la compresiune excentrica;
Prevederea masurilor pentru asigurarea ductilitatii locale a peretilor.
(3) Se recomanda ca, pe fiecare directie principala, peretii structurali sa aiba capacitati de rezistenta apropiate astfel incat cerintele de ductilitate ale peretilor sa fie aproximativ aceleasi.
In cazul peretilor cuplati cu rigle de cuplare executate integral din beton armat se poate accepta formarea articulatiilor plastice in rigle daca:
Cedarea din incovoiere a riglei precede:
- cedarea montantului prin compresiune excentrica;
- cedarea riglei prin forta taietoare;
Cedarea riglei din forta taietoare precede cedarea reazemului riglei (montantului) prin zdrobirea locala a zidariei;
Spaletii si montantii dintre goluri satisfac conditiile de la (2).
(5) Deoarece implica cerinte de ductilitate deosebit de mari, nu se vor proiecta cladiri pentru care, in cazul cutremurului de proiectare, definit conform Codului P100-1/2006, mecanismele de disipare a energiei conduc la dezvoltarea deformatiilor inelastice in montantii dintre ferestre la parter. Aceste elemente vor fi proiectate pentru a ramane in domeniul elastic de comportare.
2.2.2. Conditia de rezistenta
Conditia de rezistenta este satisfacuta daca in toate elementele structurii, in sectiunile cele mai solicitate, capacitatea de rezistenta determinata conform 6.4. este mai mare sau cel putin egala cu eforturile sectionale de proiectare, pentru toate gruparile de incarcari stabilite conform Codului CR0-2005.
2.2.3. Conditia de stabilitate.
(1) Stabilitatea de ansamblu a cladirilor din zidarie este asigurata daca:
In cazul cladirilor amplasate pe terenuri in panta, masivul de pamant pe care este rezemata cladirea nu prezinta risc de alunecare;
Nu exista pericol de rasturnare a cladirii datorita fortelor orizontale;
Rigiditatea spatiala a cladirii este asigurata prin masurile prevazute la 5.1.2.
(2) Stabilitatea locala a peretilor este asigurata daca:
Peretii sunt rigidizati conform prevederilor de la 6.6.2.1.3.;
Eforturile unitare de compresiune in pereti structurali sunt limitate tinand seama de efectele flambajului si excentricitatilor de aplicare a incarcarilor conform prevederilor de la 6.6.2.
2.2.4. Conditia de rigiditate
Cladirile din zidarie vor avea rigiditate suficienta astfel incat:
Deformatiile inelastice ale elementelor structurale, sub actiunea cu-tremurului de proiectare pentru ULS, sa ramana in limite acceptabile (avariile rezultate sa fie reparabile in conditii tehnice si economice acceptabile);
Sa fie satisfacuta cerinta de limitare a degradarilor corespunzator cutremurului de proiectare pentru SLS;
Sa se evite pericolul de ciocnire cu cladirile/ tronsoanele alaturate.
2.2.5. Conditia de ductilitate
Conditia de ductilitate se refera, in principal, la:
Asigurarea unei capacitati suficiente de rotire in sectiunile plastic potentiale, fara reducerea semnificativa a capacitatii de rezistenta;
Reducerea, prin dimensionare si detaliere constructiva, a probabilitatii de producere a ruperilor cu caracter fragil (ruperea in scara din forta taietoare, de exemplu).
2.3. Principiile proiectarii la stari limita ultime
pentru cladiri din zidarie
(1) Principiile proiectarii la stari limita se aplica atat pentru elemen-tele din zidarie cat si pentru elementele/subansamblurile/ partile cladirii executate din alte materiale (beton, otel, lemn). Pentru aceste materiale, proiectarea se va face conform reglmentarilor corespunzatoare in vigoare in Romania.
(2) Starea limita ultima (ULS) si starea limita de serviciu (SLS) vor fi luate in considerare pentru toate componenetele, inclusiv pentru elementele auxiliare (buiandrugi, ancore, elemente de planseu, etc).
(3) Siguranta structurala va fi verificata pentru toate situatiile de proiectare specifice, inclusiv cele corespunzatoare diferitelor etape ale procesului de executie (elemente auxiliare ce sprijina pe zidaria neinramata/neintarita, impingerea betonului turnat in elementele adiacente zidariei, etc.).
2.4. Variabile de baza
2.4.1. Actiuni
(1) Clasificarea si gruparea actiunilor agentilor mecanici pentru proiectarea cladirilor din zidarie se vor lua conform Codului CR0-2005.
(2) Evaluarea incarcarilor permanente se va face luand ca document normativ de referinta STAS 10101/1.
(3) Valorile normate ale incarcarilor de exploatare (utile) pentru constructiile civile, industriale si agrozootehnice, se vor stabili luand ca document normativul de referinta STAS 10101-2A1-87 (inclusiv actiunea dinamica, variantele de incarcare si reducerea incarcarilor pe plansee).
(4) Peretii de compartimentare nestructurali din zidarie vor fi verificati pentru cea mai defavorabila dintre urmatoarele incarcari:
Incarcare orizontala, liniara si uniform distribuita de 0.5 kN/m aplicata la o inaltime de 0.9 de la cota pardoselii (in spatiile unde este posibila prezenta unui numar mare de persoane);
Greutatea unor obiecte de mobilier sau obiecte sanitare suspendate (in absenta unor reglementari nationale pentru acest tip de incarcari, verificarea rezistentei si rigiditatii peretilor nestructurali se va face pentru incarcarile date in Agrementul European 003-1998).
(5) Parapetii din zidarie de la balcoane, logii sau dintre spatiile interioare denivelate si aticele teraselor accesibile publicului vor fi verificate pentru incarcarile orizontale si verticale date in documentul normativ de referinta STAS 10101-2A1-87.
(6) Coeficientii pentru calculul valorilor frecvente (Ψ1Q) si a valorilor cvasi-permanente (Ψ2Q) ale actiunilor variabile (Q) se vor lua conform prevede-
rilor din Codul CR0-2005.
(7) Conditiile seismice ale amplasamentului vor fi stabilite conform Codului P100-1/2006.
Incarcarile de proiectare din actiunea vantului vor fi stabilite conform Codului NP-082-04.
Incarcarile de proiectare din actiunea zapezii vor fi stabilite conform Codului CR-1-1-3-2005.
(10) Valorile de proiectare pentru deformatiile specifice din curgere lenta si contractie la elementele din beton armat care fac parte din cladirile de zidarie se vor lua din documentul normativ de referinta STAS 10107/0-90, anexa E.
(11) Valorile de proiectare pentru deformatiile de lunga durata ale zidariei se vor lua conform 4.1.2.2.2. (7) si tabelului 4.10. din prezentul Cod.
(12) Pentru starile limita de serviciu (SLS), deformatiile impuse vor fi introduse ca valori estimate (medii statistice).
2.4.2. Caracteristicile fizice si mecanice ale materialelor si produselor
2.4.2.1. Proprietatile materialelor si produselor
(1) Valorile proprietatilor fizice si mecanice ale materialelor si produselor de constructii si ale datelor geometrice folosite la proiectare vor fi stabilite conform 1.1. (10) si (11).
(2) Pentru proiectarea cladirilor din zidarie conform prevederilor pre-zentului Cod, sunt necesare valorile urmatoarelor proprietati mecanice de rezistenta si deformabilitate ale zidariei:
Valorile rezistentelor unitare de rupere (stabilite conf. 2.4.2.2.);
Valorile deformatiilor specifice corespunzatoare rezistentelor unitare de rupere;
Legea constitutiva σ-ε (efort unitar-deformaώie specifica).
2.4.2.2. Valorile caracteristice ale rezistentelor materialelor
(1) Valorile caracteristice ale rezistentelor materialelor vor fi stabilite din datele obtinute conform 1.1. (10).
(2) Pentru zidariile care satisfac cerintele de la 1.1. (8) determinarea rezistentelor caracteristice se va face pe baza documentelor de referinta din seria SR EN 1052. In cazul zidariilor mentionate la 1.1. (9) valorile caracteristice ale rezistentelor vor fi stabilite prin agrementele tehnice respective, pe baza datelor declarate de producator in conditiile precizate la 1.1.(10).
(3) Valorile caracteristice ale modulilor de elasticitate si ale proprietatilor reologice ale zidariei reprezinta valori medii statistice. Aceste valori se vor obtine si se vor declara pe baza informatiilor obtinute conform 1.1. (10).
(4) Valorile caracteristice ale rezistentelor celorlalte materiale (beton, otel, lemn) vor fi luate conform reglementarilor specifice valabile in Romania.
2.4.2.3. Valori de proiectare ale proprietatilor mecanice ale zidariei
(1) Valorile de referinta ale rezistentelor unitare de proiectare ale zidariei (fzd*), pentru toate tipurile de solicitari, se obtin prin impartirea valorilor caracteristice respectvie (fzk) la un coeficient partial de siguranta pentru material γM ≥1,0, stabilit in mod diferentiat in functie de:
Coeficientii pentru calculul valorilor frecvente (Ψ1Q);
Starea limita la care se face verificarea;
Calitatea elementelor pentru zidarie si a mortarului;
Calitatea executiei.
(2.1.)
(2) Valorile coeficientului de siguranta γM se vor lua conform art. 2.4.2.3.1. (pentru ULS) si conform art.2.4.2.3.2. (pentru SLS).
(3) Valorile rezistentelor unitare de proiectare ale zidariei (fzd), pentru toate tipurile de solicitari, se obtin din valorile de referinta (fzd*) corectate cu un coeficient al conditiilor de lucru mz care are in vedere:
Starea limita in raport cu care se face dimensionarea/ verificarea;
Particularitatile starii de solicitare a elementului;
Necesitatea de a compensa unele simplificari ale metodelor de calcul.
fzd=mz fzd* (2.2.)
(4) Valorile coeficientilor conditiilor de lucru mz, se vor lua conform art. 4.1.1.1.3.
(5) Valorile de proiectare ale modulilor de elasticitate si ale proprietatilor reologice ale zidariei se obtin din valorile caracteristice respective prin multiplicare cu un coeficient subunitar.
2.4.2.3.1. Valori de proiectare ale rezistentelor zidariei pentru starea ultima (ULS).
(1) Pentru calculul la starea limita ultima (ULS), cu incarcarile din gruparea fundamentala si din gruparea speciala, in cazul zidariilor cu elemente pentru zidarie din clasa I si mortar de uz general pentru zidarie (G)-mortar performant sau de reteta, in conditii de control normal, valoarea de referinta a coeficientului partial de siguranta pentru zidarie se va lua γM=2.2.
(2) Pentru calculul la starea limita ultima (ULS), cu efectele incarcarilor din toate gruparile stabilite conform Codului CR0-2005, in cazul zidariilor alcatuite cu elemente pentru zidarie clasa II si/sau cu mor-tare preparate la santier, pentru care nu sunt satisfacute toate cerintele din documentul normativ de referinta SR EN 998-2:2004 dar sunt satisfacute toare cerintele din documentul normativ de referinta SR EN 998-2:2004 dar sunt satisfacute cerintele din normativul de referinta C17-82, in conditii de control normal, valoarea de referinta a coeficientului partial de siguranta pentru zidarie se va lua γM=2.5.
NOTA: Definirea claselor de elemente pentru zidarie este data la art.1.3.3.
(3) Sunt considerate conditii de control normal al executiei daca:
Lucrarile sunt supravegheate, in mod permanent, de un responsabil tehnic cu executia atestat conform legii;
Proiectantul urmareste/ controleaza, in mod ritmic, desfasurarea lucra-rilor;
Responsabilul tehnic al beneficiarului verifica, in mod permanent cali-tatea materialelor si modul de punere in opera;
Se efecuteaza toate verificarile preliminare si in etape intermediare luand ca referential reglementarile in vigoare:C56-86, NE 012-99, etc.
(4) Pentru calculul la starea limita ultima (ULS), cu efectele incarcarilor din toate gruparile stabilite in Codul CR0-2005, pentru zidariile alcatuite din orice clasa de elemente pentru zidarie si/sau de mortare, in conditii de control redus, valoarea de referinta a coeficientului partial de siguranta pentru zidarie se va lua γM=3.0.
(5) Sunt considerate conditii de control redus al executiei daca:
Lucrarile nu sunt supravegheate, in mod permanent, de un responsabil tehnic cu executia atestate conform legii;
Proiectantul nu controleaza decat rar sau foarte rar executia lucrarilor;
Reprezentantul tehnic al beneficiarului nu verifica sistematic calitatea materialelor si modul de punere in opera;
Nu se efectueaza verificari preliminare si in etape intermediare (cu exceptia fazelor determinante) luand ca documente normative de referinta: C56-86, NE 012-99, etc.
(6) Pentru cladirile din zidarie care fac obiectul prezentului Cod, pro-iectantul, executantul si investitorul vor asigura toate conditiile necesare pentru efectuarea activitatilor de control normal astfel incat nivelul de siguranta realizat la executie sa fie cel proiectat (care rezulta prin utilizarea coeficientilor γM=2.2. si/sau γM=2.5).
(7) Controlul redus va fi luat in considerare la proiectare (prin utilizarea coeficientului γM=3.0), numai la cererea speciala a investitorului, consemnata in tema de proiectare, si numai in conditiile acceptate prin Codul P100-1/2006.
(8) Valorile coeficientilor partiali de siguranta γM si ale coeficientilor condi-
tiilor de lucru m pentru celelalte materiale (beton, otel, lemn) se vor lua
conform prevederilor din reglementarile in vigoare.
2.4.2.3.2. Valori de proiectare ale rezistentelor zidariei pentru starea limita de serviciu (SLS)
(1) Valorile de proiectare de referinta ale rezistentelor zidariei pentru starea limita de serviciu (SLS) se iau egale cu valorile caracteristice respective (coeficientul partial de siguranta γM=1.0) cu exceptia cazurilor in care in Codul P100-1/2006 cap.8 sunt date alte prevederi.
In cazurile in care, in articolele referitoare la starea limita de serviciu (SLS), se dau reguli simplificate de proiectare (alcatuire), nu este necesara verificarea prin calcul a satisfacerii cerintelor respective pentru combinatiile de incarcari specifice acestei stari limita.
3.1. Elemente pentru zidarie
3.1.1. Tipuri de elemente pentru zidarie
(1) Pentru executarea zidariilor se pot utiliza orice elemente pentru zidarie corespunzatoare normelor europene asimilate in Romania (SR EN):
Elemente pentru zidarie ceramice-document normativ de referinta SR EN 771-1;
Elemente pentru zidarie din silico-calcar-document normativ de referinta SR EN 771-2;
Elemente pentru zidarie din beton ( cu agregate obisnuite sau usoare)-document normativ de referinta SR EN 771-3;
Elemente pentru zidarie din beton celular autoclavizat-document normativ de referinta SR EN 771-4;
Elemente pentru zidarie din piatra cioplita-document normativ de referinta SR EN 771-6;
Deasemeni pot fi folosite elemente pentru zidarie din sticla (caramizi presate din sticla cu goluri) fabricate avand la baza documentul normativ de referinta STAS 10690-89.
(2) Elementele pentru zidarie produse in mod curent in Romania se incadreaza in standardele de referinta mentionate la (1) dupa cum urmeaza:
Caramizi ceramice pline (document normativ de referinta SR EN 771-1):
* elemente HD: element de argila arsa cu densitatea aparenta, in stare uscata, mare > 1000 Kg/m3, utilizat pentru zidarii neprotejate si protejate (exemplu: 240x115x63mm);
Caramizi si blocuri ceramice cu goluri verticale (document normativ de referinta SR EN 771-1):
* elemente HD: element de argila arsa cu densitate aparenta, in stare uscata, mare>1000Kg/m3, utilizat pentru zidarii neprotejate si protejate (exemple: 240x115x88, 240x115x138, 290x140x138, 290x240x138, 290x240x188, 365x180x138)
* elemente LD: element de argila arsa cu densitatea aparenta, in stare uscata, mica ≤1000 kg/m3, utilizat pentru zidarii protejate;
Elemente pentru zidarie din beton cu agregate obisnuite (document normativ de referinta C14/1-94) (exemplu:240x290x138);
Elemente pentru zidarie din beton cu agregate usoare (document normativ de referinta SR EN 771-3 Elemente pentru zidarie din beton cu agregate usoare);
Elemente pentru zidarie din beton celular autoclavizat (document normativ de referinta SR EN 771-4 Elemente pentru zidarie din beton autoclavizat);
(exemple: 240x300x600, 200x240x600, 150x300x600)
Elemente pentru zidarie din piatra naturala cioplita prelucrata (document normativ de referinta SR EN 771-6 Elemente pentru zidarie din piatra naturala).
(3) Alte tipuri de elemente produse in Romania si elemente pentru zidarie din import se pot utiliza numai in conditiile prevazute la 1.1. (9) si (10).
(4) Domeniile si conditiile de utilizare specifice, pentru fiecare dintre categoriile de elemente de la paragrafele (1)(3), sunt stabilite prin pre-zentul Cod, si prin Codul P100-1/2006.
3.1.2. Gruparea elementelor pentru zidarie
3.1.2.1. Gruparea in functie de nivelul de incredere al proprietatilor mecanice
Elementele pentru zidarie se clasfica in doua clase, in functie de probabilitatea de nerealizare a rezistentei la compresiune specificata de producator, conform conditiilor specificate la 1.3.3.
NOTE:10.Producatorul va declara rezistenta la compresiune a ele-mentelor pentru zidarie. Valoarea declarata va fi egala sau mai mare decat rezistenta specificata tinand seama de exactitatea incercarii si de variatiile procesului de productie.
20.Pentru definirea rezistentei la compresiune a se vedea 3.1.3.1.1.
3.1.2.2. Gruparea in functie de caracteristicile geometrice
(1) Elementele pentru zidarie se grupeaza in functie de valorile urmatorilor parametrii geometrici:
Volumul golurilor (%din volumul brut);
Volumul fiecarui gol(% din volumul brut);
Grosimea minima a peretilor interiori si exteriori (mm);
Grosimea cumulata a peretilor interiori si exteriori pe fiecare directie (% din dimensiunea elementului pe directia respectiva), luand ca document normativ de referinta EN 1996-1-1-1 (EC6)
NOTA: Grosimea cumulata este grosimea peretilor interiori si exteriori, masurata orizontal, transversal elementului, la unghiuri drepte pe fata peretelui. In cazul golurilor conice sau a celor celulare, se utilizeaza valoarea medie a grosimii peretilor interiori si exteriori. Verificarea trebuie considerata ca un test de calitate si necesita a fi repetata numai in cazul unor schimbari esentiale la proiectare dimensiunilor elementelor pentru zidarie.
(2) Gruparea elementelor pentru zidarie in functie de caracteristicile geometrice se utilieaza pentru:
Determinarea rezistentei la compresiune a zidariei conform art. 4.1.1.1.;
Stabilirea domeniului si conditiilor de utilizare pentru elementele res pective conform Codului P100-1/2006 si prezentului Cod.
(3) Elementele pentru zidarie mentionate la art. 3.1.1. (2) se incadreaza in grupe , in functie de caracteristicile geometrice mentionate la (1), dupa cum urmeaza:
Grupa 1
- caramizi ceramice pline 240x115x63, document normativ de referinta SR EN 771-1;
- caramizi ceramice cu goluri rotunde de uscare, document normativ de referinta SR EN 771-1;
- blocuri cu goluri din beton usor cu volumul golurilor ≤25%, document normativ de referinta SR EN 771-4;
- blocuri pline din beton celular autoclavizat, document normativ de referinta SR EN 771-4.
Grupa 2
- caramizi ceramice pline cu goluri dreptunghiulare de uscare, document normativ de referinta SR EN 771-1;
- caramizi si blocuri ceramice cu goluri verticale, document normativ de referinta SR EN 771-1;
- blocuri cu goluri din beton usor cu volumul golurilor cuprins intre 25%50%, document normativ de referinta SR EN 771-4;
- blocuri cu goluri din beton obisnuit cu volumul golurilor cuprins intre 25%50%, document normativ de referinta SR EN 771-3.
(4) Elementele pentru zidarie cu goluri verticale incadrate avand ca document de referinta EN 1996-1-1-1 in grupa 2, pot fi folosite, in conditiile de proiectare si de executie stabilite prin prezentul Cod si prin Codul P100-1/2006, numai daca respecta urmatoarele cerinte geometrice:
- volumul golurilor ≤50% din volumul total;
- grosimea peretilor exteriori te≥15 mm;
- grosimea peretilor interiori ti≥10 mm;
- peretii verticali interiori sunt realizati continuu pe toata lungimea elementului.
NOTA. Toate elementele din grupa 2, mentionate la (3) satisfac aceste cerinte.
In conditile specifice de proiectare si executie stabilite prin prezentul Cod si prin Codul P100-1/2006, pentru elementele structurale si nestructurale din zidarie, pot fi folosite si alte elemente incadrate avand ca document de referinta EN 1996-1-1-1- (EC6) in grupa 2: caramizi si blocuri din argila arsa cu goluri verticale cu geometrie speciala (cu pereti subtiri-grupa 2S) care indeplinesc urmatoarele conditii:
geometria blocului respecta urmatoarele cerinte:
volumul golurilor ≤50% din volumul blocului;
grosimea peretilor exteriori 11 mm≤te≥15 mm;
grosimea peretilor interiori 6 mm≤ti<10 mm;
peretii verticali interiori sunt realizati continuu pe toata lungimea elemen-tului.
Legea constitutiva σ-ε a zidγriei este de tip elasto-palstic cu ductilitate limitata (figura 4.3.)
3.1.2.3. Gruparea in functie de profilatia exterioara a elementului
(1) Din punct de vedere al profilului fetelor exterioare, elementele pentru zidarie folosite in mod curent in Romania, se clasifica dupa cum urmeaza:
Elemente cu toate fetele plane (fara amprente sau profilatie; cu/ fara cavitate interioara de prindere);
Elemente cu locas de mortar;
Elemente cu locas de mortar si amprente suplimentare pentru mortar;
Elemente cu profilatie nut si feder.
(2) Folosirea elementelor cu diferite profilatii altele decat cele cu toate fetele plane, din productia interna si din import, se va face in conformitate cu prevederile reglementarilor specifice, in conditiile stabilite la 1.1. (10) si in Codul P100-1/2006.
3.1.3. Proprietatile elementelor pentru zidarie
3.1.3.1. Proprietatile mecanice ale elementelor pentru zidarie
3.1.3.1.1. Rezistenta la compresiune a elementelor pentru zidarie
(1) Rezistenta la compresiune a elementelor pentru zidarie va fi definita, luand ca document normativ de referinta SR EN 771-1:2003, ca rezistenta medie, cu urmatoarele precizari obligatorii:
Producatorul va declara daca rezistentele individuale la compresiune, inregistrate pe toate epruvetele incercate sunt mai mici decat 80% din valoarea declarata, pentru toate elementele cu volum > 0.010 m3;
Producatorul va declara daca elementul este de clasa I sau de clasa II-a, conform definitiilor date la 1.3.3.
(2) Rezistenta la compresiune a elementelor pentru zidarie, utilizata pentru determinarea rezistentelor de proiectare la compresiune si forfecare, va fi rezistenta la compresiune standardizata, fb.
NOTA: Rezistenta la compresiune standardizata reprezinta rezistenta la compresiune a elementelor pentru zidarie uscat in aer, echivalent avand 100 mm latime x100 mm inaltime. La cerere producatorul trebuie sa dec-lare rezistenta la compresiune standardizata.
(3) In cazul in care rezistenta la compresiune a elementelor pentru zidarie, determinata prin incercari conform reglementarilor specifice, este declarata de producator ca rezistenta medie, luand ca document normativ de referinta SR EN 771/16, aceasta valoare va fi convertita in rezistenta standardizata la compresiune, pentru a se tine seama de inaltimea si latimea elementelor de zidarie, prin multipicarea cu un factor δ, stabilit conform tabelului 3.1a.
(4) Pentru elementele pentru zidarie produse in mod curent in Romania, mentionate la art. 3.1.1. (2), valorile factorului δ si valorile rezistentei standardizate fb sunt date in tabelul 3.1b, pentru elemente din argila arsa si din beton obisnuit si usor si in tabelul 3.1c pentru elemente din BCA.
Tabelul 3.1a
Factorul de transformare δ
|
Inaltimea elementului pentru zidarie (mm) |
Cea mai mica dimensiune orizontala a elementului pentru zidarie (mm) |
||||
Tabelul 3.1b
Factorul de transformare δ si valori fb pentru elemente de argila arsa si de beton obisnuit sau usor produse curent in Romania
|
Element pentru zidarie |
Factor δ |
Fmed (N/mm2) |
||
|
Caramizi ceramice pline |
-240x115x63mm | |||
|
Caramizi si blocuri ceramice cu goluri verticale |
- 240x115x88mm | |||
|
Caramizi si blocuri ceramice cu goluri verticale |
-240x115x138mm | |||
|
Caramizi si blocuri ceramice cu goluri verticale |
-290x140x88mm | |||
|
Caramizi si blocuri ceramice cu goluri verticale |
-290x140x138mm | |||
|
Blocuri cu goluri din beton obisnuit si usor |
-290x240x188mm |
|||
Tabel 3.1c
Factorul de transformare δ Ίi valori fb pentru elemente de beton celular autoclavizat produse curent in Romania
|
Element pentru zidarie |
Factor δ |
fmed (N/mm2) |
||
|
Blocuri mici pentru zidarie din BCA | ||||
(5) Atunci cand rezistenta la compresiune a elementelor pentru zidarie este declarata de producator ca rezistenta caracteristica, aceasta va fi transformata in rezistenta medie echivalenta, utilizand un factor de conversie bazat pe coeficientul de variatie al rezistentelor comunicat de producator in documentele de insotire a produsului. Rezistenta medie echivalenta va fi convertita apoi in rezistenta apoi in rezistenta standardizata, fb, prin intermediul coeficientului δ.
NOTA. Valoarea factorului de conversie depinde de numarul probelor pe care a fost stabilita rezistenta caracteristica.
(6) Rezistenta la compresiune a elementelor pentru zidarie este definita prin doua valori, dupa pozitia fortei de compresiune in raport cu fata de pozare:
Normal pe fata de pozare fb;
Paralel cu fata de pozare in planul peretelui fbh (compresiune pe capete).
Valorile minime ale celor doua rezistente la compresiune ale elementelor pentru zidarie (fb,fbh) care pot fi folosite la elementele structurale si nestructurale ale cladirilor din Romania sunt date in Codul P100-1/2006.
(7) Valorile rezistentelor standardizate/medii/caracteristice folosite pentru determinarea rezistentelor de proiectare sunt valori minimale, si vor fi garantate de producator printr-un certificat de conformitatea cu norma de produs.
In lipsa certificatului de conformitate, si ori de cate ori exista dubii pri-vind conformitatea calitatii elementelor pentru zidarie cu norma respectiva, punerea in opera se va face numai dupa efectuarea unor incercari sistematice la receptie.
3.1.3.2. Proprietati fizice ale elementelor pentru zidarie
In functie de utilizarea prevazuta la proiectare, in cazul elementelor care se folosesc la exterior, fara protectie sau cu protectie limitata, se vor lua in considerare urmatoarele proprietati fizice, definite luand ca document normativ de referinta SR EN 771-1:
Densitatea aparenta si absoluta in stare uscata;
Absorbtia de apa;
Continutul de saruri solubile active.
(2) Pentru a se evita reducerea rezistentei la compresiune a mortarului si mai ales scaderea aderentei acestuia la elementele pentru zidarie, in proiect se vor prevedea masuri tehnologice adecvate in functie de viteza de absorbtie initiala de apa a elementelor declarata de producator, luand ca document normativ de referinta SR EN 771-1.
3.2. Mortare
3.2.1. Tipuri de mortare pentru zidarie
(1) Prevederile prezentului Cod se aplica numai zidariilor executate cu mortare pentru zidarie pentru utilizare generala (G), definite conform 1.3.2.
(2) Mortarele pentru zidarie pentru utilizarea generala (G), se impart in functie de:
Metoda de definire a compozitiei lor ( a se vedea 1.3.2.):
mortar performant pentru zidarie (mortar pentru zidarie proiectat);
mortar de reteta pentru zidarie (mortar pentru zidarie cu compozitie prescrisa)
Modul de realizare:
mortar indistrial pentru zidarie (uscat sau proaspat);
mortar semifabricat industrial pentru zidarie (predozat sau preames-tecat);
mortar preparat la santier pentru zidarie, luand ca document normativ de referinta SR EN 998-2:2004
(3) Pentru cladirile din zidarie proiectate si executate conform prezentului Cod, mortarele pentru zidarie de tip industrial/semifabricat industrial vor fi fabricate avand ca referintial SR EN 998-2:2004. In cazul mortarelor pentru zidarie preparate la santier (pentru care documentul normativ de referinta SR EN 998-2:2004 se aplica numai partial) se vor respecta cerintele din documentul normativ de referinta C17-82.
3.2.2. Prevederi pentru mortarele pentru zidarie
(1) Mortarele pentru zidarie se clasifica dupa rezistenta medie la compresiune, exprimata prin litera M urmata de rezistenta unitara la compresiune in N/mm2 (de exemplu: M5 mortar cu rezistenta unitara medie la compresiune fm=5N/mm2).
(2) Mortarele pentru zidarie cu compozitie prescrisa pot fi descrise, adaugand langa notatia de la (1) si proportia compenentilor prescrisi ( de exemplu: 1:1:5, in volum, in ordinea ciment:var:nisip).
Pentru valorile M** stabilite prin proiect, pot fi atribuite amestecuri echivalente acceptabile descrise prin proportia componentilor conform specificatiilor tehnice sau instructiunilor productorilor.
3.2.3. Proprietatile mortarelor
3.2.3.1. Rezistensa la compresiune a mortarelor pentru zidarie
(1) Rezistenta unitara medie la compresiune a mortarului pentru zidarie, fm, va fi determinata luand ca document de referinta SR EN 1015-11.
(2) Mortarele pentru zidarie folosite in conditiile prezentului Cod vor avea rezistenta unitara medie la compresiune, fm≥1N/mm2.
(3)Rezistenta unitara la compresiune a mortarului pentru peretii din zidarie cu elemente din argila arsa sau beton obisnuit sau usor, indiferent de acceleratia seismica de proiectare ag a amplasamentului, se va lua din tabelul 3.2.
Tabelul 3.2.
Rezistentele minime ale mortarelor pentru zidarie
|
Tipul constructiei |
Pereti structurali |
Pereti nestructurali |
||
|
Elemente |
Mortar |
Elemente |
Mortar |
|
|
Constructii definitive Toate clasele de importanta |
fmed>10 |
M10 |
fmed>10 |
M5 |
|
fmed≤10 |
M5 |
fmed≤10 |
M2.5 |
|
|
Constructii provizorii |
M 2.5 |
M 1 |
||
(4) Pentru zidariile executate cu elemente din BCA, rezistenta unitara minima la compresiune a mortarului va fi:
- M2.5 pentru pereti structurali la constructii definitive din toate clasele de importanta;
- M1 pentru pereti structurali la constructii provizorii si anexe gospoda-resti si pentru pereti nestructurali la toate tipurile de constructii.
3.2.3.2 Aderenta intre elementele pentru zidarie si mortar
(1) Aderenta intre mortar si elementele pentru zidarie trebuie sa fie adecvata utilizarii prevazute. Aderenta depinde de proprietatile mortarului utilizat (in principal de capacitatea de retentie a apei de amestecare) si de caracteristicile elementelor impreuna cu care se utilizeaza acest mortar (in special de viteza de absorbtie initiala de apa, mentionata la 3.1.3.2.).
(2) Aderenta elementelor pentru zidarie in combinatie cu mortarul va fi declarata de producator ca rezistenta la forfecare initiala fvk0, valoarea respectiva fiind obtinuta din incercari efectuate avand ca document de referinta SR EN 1052-3.
In cazul mortarelor performante, valoarea rezistentei la forfecare initiala se va lua din documentul normativ de referinta SR EN 998-2:2004, anexa C.
(3) Se accepta ca mortarele preparate industrial, semifabricat industrial sau la santier avand ca baza documentul normativ de referinta SR EN 998-2:2004 si Instructiunile C17-82, asigura o aderenta adecvata la elementele pentru zidarie mentionate la 3.1.2. Pentru aceste mortare valoarea caracteristica a rezistentei la forfecare initiala fvk0 se va lua din tabelul 4.3.
3.2.3.3. Lucrabilitatea mortarului
(1) Consistenta mortarului folosit la zidarie va fi aleasa astfel incat sa asigure umplerea completa a spatiilor respective.
(2) In cazul mortarului industrial pentru zidarie sau al mortarului semi-fabricat industrial pentru zidarie, dozarea adaosurilor pentru lucrabilitate este stabilita conform standardului de produs.
(3) Pentru prepararea mortarelor la santier se vor folosi aditivi in conditiile prevazute in Instructiunile C17-82 sau, pentru aditivii din import, conform Agrementelor tehnice respective.
NOTA: Folosirea in exces a aditivilor antrenori de aer pentru sporirea lucrabilitatii mortarului are ca efect scaderea aderentei mortarului la elementele pentru zidarie.
3.3. Beton
3.3.1. Generalitati
In cladirile cu structuri din zidarie betonul este folosit pentru:
Elementele de confinare a zidariei (stalpisori, centuri);
Stratul median al zidariei cu inima armata (ZIA);
Plansee, scari, rigle de cuplare la peretii cu goluri, pereti de subsol si fundatii.
(2) Toate betoanele mentionate la (1) vor indeplini cerintele din Codul NE 012-99.
(3) Betoanele folosite pentru elementele de confinare a zidariei (stalpisori si centuri) si pentru stratul median al ZIA vor satisface, in afara cerintelor din Codul NE 012 - 99, si prevederile specifice de la 3.3.2.
(4) Betonul va fi definit prin rezistenta caracteristica la compresiune, fck, (clasa de rezistenta a betonului C) care este asociata cu rezistenta pe cilindru/cub la 28 zile.
3.3.2. Prevederi specifice pentru betonul din elemente de confinare si pentru stratul median al ZIA
(1) Clasa betonului pentru centuri si stalpisori si pentru stratul median la zidaria cu inima armata va fi stabilita prin calcul in functie de intensitatea eforturilor din incarcarile verticale si seismice, cu respectarea conditiilor minime date la (2) si (3).
(2) Clasa minima a betonului folosit pentru elementele de confinare va fi C12/15.
(3) Pentru stratul median al peretilor din ZIA se va folosi mortar-beton (grout) cu rezistenta caracteristica la compresiune fmbk≥12 N/mm2 sau beton din clasa ≥ C12/15. Rezistenta la compresiune a mortar-betonului, in functie de compozitia acestuia, va fi stabilita conform 1.1. (10).
(4) Betonul folosit poate fi cu amestec proiectat sau cu amestec prescris conform NE 012-99. In proiect se vor specifica, pentru fiecare element/categorie de elemente structurale de beton:
Clasa de rezistenta;
Clasa de consistenta.
(5) Dimesiunea maxima a agergatelor betonului folosit pentru elementele de confinare nu va depasi 20 mm.
(6) Pentru stratul median la peretii din ZIA, se va folosi beton cu agregat marunt:
Pentru grosimea stratului median < 100mm sau cand acoperirea ar-maturii este ≤25 mm, vor fi utilizate agregate cu dimensiunea ≤ 10 mm;
In celelalte cazuri dimesiunea agregatelor va fi ≤ 12 mm.
(7) Pentru a se asigura betonarea corecta a elementelor, clasele de consistenta ale betonului proaspat, definite conform NE 012-99, se vor lua dupa cum urmeaza:
Pentru stalpisorii cu sectiune ≤ 750cm2:T4;
Pentru stalpisorii cu sectiune >750 cm2 si pentru centuri-indiferent de dimensiunea sectiunii transversale:T3/T4;
Pentru zidaria cu inima armata cu grosimea stratului median ≥10 cm:T4;
Pentru zidaria cu inima armata cu grosimea stratului median <10 cm:T4/T5.
NOTA.In cazul utilizarii betoanelor cu lucrabilitate mare, la executie se vor lua masuri pentru a reduce contractia sporita a betonului.
3.3.3. Proprietatile mecanice al betonului pentru elementele de confinare si pentru ZIA
(1) Rezistentelede proiectare si modulul de elasticitate ale betonului pentru elementele de confinare la ZC vor fi luate din documentul normativ de referinta STAS 10107/0-90 pentru clasa de beton respectiva, tinand seama de conditiile concrete de betonare determinarea coeficientilor conditiilor de lucru.
NOTA. Pentru echivalenta notatiilor din acest Cod cu cele din documentul normativ de referinta STAS 10107/0-90 a se vedea 1.4.3.
(2) Rezistentele caracteristice si valoarea modulului de elasticitate longitudinal ale mortar-betonului (grout) pentru stratul median al ZIA se vor determina din rezistentele caracteristice, luate din documentul normativ de referinta STAS 10107/090, considerand:
Coeficientii de siguranta la intindere (γmt) si compresiune (γmc) egali cu 1.50;
Coeficientii conditiilor de lucru:
mb = 0.70 in cazul inaltimii de turnare ≥ 1500 mm;
mb = 0.80 in cazul inaltimii de turnare < 1500 mm.
In structurile din zidarie confinata (ZC), betonul din centuri si din riglele de cuplare legate cu centurile va avea aceiasi clasa ca si betonul din planseu. Betonul din stalpisori poate avea o alta clasa decat cel din planseu (centuri).
3.3.4. Prevederi specifice pentru betoanele folosite pentru alte elemente structurale (plansee, scari si infrastructura).
(1) Clasele minime de beton folosit pentru alte elemente structurale din cladirile de zidarie vor fi:
Beton simplu:C4/5;
Beton slab armat (pardoseli pe umplutura, la cladiri fara subsol, de ex.): C8/10;
Beton armat monolit: C12/15.
(2) Pentru infrastructura, daca betonul este in contact cu apa subterana, clasele minime de beton date mai sus vor fi sporite, luandu-se valorile cuprinse in documentul normativ de referinta STAS 10107/0-90.
3.4. Oteluri pentru armaturi
In cladirirle cu structuri din zidarie otelul este folosit pentru armarea:
Elementelor de confinare a zidariei-stalpisori si centuri-(ZC);
Zidariei, in rosturile orizontale (ZC+AR);
Stratului median al zidariei cu inima armata (ZIA);
Celorlalte elemente de structura: plansee, rigle de cuplare la peretii cu goluri, scari, pereti de subsol si fundatii.
(2) Cerintele privind proprietatile armaturii se refera la materialul fasonat care se gaseste in zidaria intarita. Pe santier, sau in timpul fasonarii,nu se vor executa operatii care pot deteriora proprietatile materialului.
(3) Armaturile folosite pentru peretii de zidarie armata (ZC,ZC+AR, ZIA), inclusiv pentru riglele de cuplare din beton armat, in cazul peretilor cu goluri, vor fi de tip OB37/PC52 sau, in cazul otelurilor din import, vor fi echivalente cu acestea din punct de vedere al caracteristicilor mecanice de rezistenta si deformabilitate si vor fi sudabile.
(4) Utilizarea plaselor sudate STNB pentrru armarea stratului median al peretilor din ZIA se va face in conformitate cu prevederile de la art. 7.1.2.4. (6) si din Codul P100-1/2006.
(5) Pentru armarea celorlalte elemente structurale din cladirile de zidarie (plansee, scari, infrastructura) folosirea otelurilor se va face luand ca document de referinta STAS 10107/0-90.
(6) Rezistentele caracteristice si de proiectare ale otelurilor pentru beton armat fabricate in Romania (OB 37, PC 52, STNB) se vor lua din documentul normativ de referinta STAS 10107/0-90. Pentru otelurile de import, se vor respecta prevederile de la 1.1. (10).
(7) Coeficientul de dilatare termica al otelului va fi considerat αts=12x10-6/ 10C.
NOTA: Diferenta intre valoarea coeficientului de dilatare termica al otelului si valoarea coeficientului de dilatare termica pentru zidarie sau betonul inconjurator poate fi neglijata.
3.5. Alte materiale pentru armarea zidariei
(1) Zidaria poate fi armata si cu grile polimerice de inalta densitate si rezis-tenta printr-unul din urmatoarele procedee:
insertia grilelor in asize;
insertia grilelor in tencuiala.
(2)Domeniile de utilizare, metodologia de calcul si tehnologia de executie pentru zidaria armata cu grile polimerice vor fi stabilite prin reglementari specifice elaborate in conformitate cu prevederile de la 1.1. (10).
4.1. Proprietatile mecanice ale zidariei
(1) Prevederile acestui capitol se refera la zidaria cu elementele mentionate la 3.1.1. (1)(3), executata cu mortar pentru zidarie pentru utilizare generala (G) si cu toate rosturile complet umplute cu mortar.
(2) Pentru utilizarea zidariei cu mortare speciale (T,L), vezi precizarile de la 1.3.2.
(3) Zidaria cu rosturi verticale umplute partial sau neumplute si zidaria cu rosturi intrerupte ( cu mortarul aplicat numai pe peretii exteriori ai elementelor pentru zidarie cu goluri verticale) nu poate fi folosita in prezent in Romania deoarece lipsesc date suficient de sigure privind comportarea acestora la actiunea seismica.
(4) Zidaria cu rosturi verticale tip nut si feder/lamba si uluc, indiferent de tipul si dimensiunile elementelor pentru zidarie, va fi utilizata numai pentru elemente nestructurale, si numai in conformitate cu prevederile din prezentul Cod si din Codul P100-1/2006.
4.1.1. Proprietatile de rezistenta ale zidarei.
4.1.1.1. Rezistenta la compresiune a zidariei.
4.1.1.1.1. Rezistenta unitara caracteristica la compresiune a zidariei
(1) Rezistenta unitara caracteristica la compresiune a zidariei, fk, va fi determinata pe baza rezultatelor incercarilor pe probe din zidarie, luand ca document normativ de referinta SR EN 1052-1, sau in conditiile stabilite la 1.1. (10).
(2) Cand nu exista date ale incercarilor, rezistenta unitara caracteristica la
compresiune fk a zidariei realizata cu mortar pentru utilizare generala (G), pentru incarcari normale pe planul rosturilor orizontale, va fi calculata, in functie de rezistentele unitare la compresiune ale elementelor pentru zidarie si a mortarului, cu relatia:
(4.1.)
unde:
K-constanta care depinde de tipul elementului pentru zidarie si de tipul mortarului;
Fb-rezistenta la compresiune standardizata a elementului pentru zidarie, pe directia normala pe rosturile orizontale, in N/mm2 definita luand ca document normativ de referinta SR EN 771-14 si art.3.1.3.1.1. (2) din prezentul Cod;
Fm-rezistenta medie la compresiune a mortarului, in N/mm2.
(3) Pentru zidariile executate cu elementele fabricate curent in Romania-vezi 3.1.1. (2) si cu mortar pentru utilizarea generala (G), valorile K, stabilite luand ca document normativ de referinta EN 1996-1-1, sunt urmatoarele:
Tabelul 4.1.
Valorile coeficientului K pentru zidarie cu elementele fabricate in Romania si mortar pentru utilizare generala (G)
|
Tipul elementului pentru zidarie |
Coef.K |
|
Caramizi ceramice pline | |
|
Caramizi si blocuri ceramice cu goluri verticale | |
|
Blocuri cu goluri din beton obisnuit si usor | |
|
Blocuri mici de zidarie din b.c.a. |
(4) Pentru elementele pentru zidarie provenite din import din tarile care au adoptat documentul normativ de referinta EN 1996-1-1 se vor folosi valorile K date in acesta.
(5) Pentru elementele pentru zidarie provenite din import din tari care nu au adoptat documentul normativ de referinta EN 1996-1-1 valoarea coeficientului K va fi declarata de producator sau va fi determinata prin incercari conform 1.1 (10).
(6) Formula (4.1.) poate fi folosita pentru determinarea rezistentei carac-teristice la compresiune a zidariei numai daca sunt satisfacute toate conditiile specificate in continuare:
Rezistenta elementului pentru zidarie fb≤75N/mm2;
Rezistenta moratarului satisface conditiile fm≤20N/mm2 si fm≤2fb;
Zidaria este alcatuita in conformitate cu prevederile din prezentul Cod;
Coeficientul de variatie a rezistentei elementelor pentru zidarie este ≤25%;
Toate rosturile zidariei sunt umplute cu mortar;
Grosimea zidariei este egala cu latimea sau lungimea elementului pen-tru zidarie, astfel incat nu exista rost de mortar paralele cu fata peretelui pe toata lungimea acestuia sau pe orice portiune din perete (figura 4.1.a); in cazul in care exista rost de mortar paralel cu fata peretelui (figura 4.1b) valoarea rezultata din relatia (4.1) se reduce cu 20%.
In absenta unor date obtinute conform 1.1. (10), rezistenta carac-teristica la compresiune, perpendicular pe rosturile orizontale, a zidariei cu caramizi pline din argila arsa, pentru care δ=0.81 si mortare pentru utilizare generala (G), va fi luata din tabelul 4.2a.
Tabelul 4.2a
Rezistenta caracteristica la compresiune (fk in N/mm2) a zidariilor cu caramizi pline din argila arsa 240x115x63 mm
|
Rezistenta caramizii fmed(N/mm2) |
Tesere |
Rezistenta medie a mortarului (N/mm2) |
|||
|
M10 |
M5 |
M2.5 |
M1 |
||
|
fig.4.1a | |||||
|
fig.4.1b | |||||
|
fig.4.1a | |||||
|
fig.4.1b | |||||
|
fig.4.1a | |||||
|
fig.4.1b | |||||
NOTE.
10.fmed este rezistenta medie la compresiune a elementelor pentru zidarie declarata de producatore avand ca document normativ de referinta SR EN 771;
20.fm este rezistenta medie la compresiune a mortarului definita in documentul normativ de referinta SR EN 998-2:2004;
30. Banca nationala de date pentru rezistenta caracteristica la com-presiune a zidariei realizata cu diferite combinatii de elemente de zidarie si mortare de uz curent este foarte redusa. Datele existente la INCERC Bucuresti se refera numai la zidarii realizate din caramizi pline 240x155x63 mm si caramizi cu goluri verticale 240x115x88 mm cu mortar M 2,5, M5 si M10 si au fost obtinute-in mare majoritate-inainte de adoptarea documentului normativ de referinta SR EN 1052-1.
(8) Pentru zidariile executate cu alte elemente produse in Romania-a se vedea 3.1.1.(2)-valoarea caracteristica a rezistentei la compresiune se determina prin inmultirea valorilor din tabelul 4.2a, in functie de modul de tesere, cu urmatorii coeficienti de corectie:
- fδ=0.95 pentru elementele cu goluri verticale cu dimensiunile:
240x115x88 mm;
240x115x138 mm;
290x240x138 mm.
- fδ=1.10 pentru elementele cu goluri verticale cu dimensiunile;
240x115x138mm;
290x240x138 mm;
290x240x188 mm.
- fδ=1.22 pentru elemente cu goluri din beton obisnuit si usor:
290x240x188 mm.
(9) Pentru zidariile executate cu blocuri din BCA valoarea rezistentei caracteristice la compresiune se va lua din tabelul 4.2b.
Tabelul 4.2b
Rezistenta la compresiune (fk in N/mm2) a zidariilor cu blocuri din BCA fabricate in Romania
|
Rezistenta blocului fmed(N/mm2) |
Rezistenta medie a mortarului fm (N/mm2) |
||
|
M5 |
M2.5 |
M1 |
|
(10) In absenta unor date obtinute conform 1.1. (10), rezistenta carac-teristica la compresiune, pe directie paralela cu rosturile orizontale, poate fi determinata deasemeni cu relatia (4.1.) in care:
- fbh rezistenta la compresiune standardizata a elementului pentru zidarie pe directie paralela cu rostul orizontal;
- factorul de transformare δ din tabelul 3.1a sau 3.1b, va fi luat ≤1.0
- pentru elementele pentru zidarie din grupa 2, coeficientul K din tabelul 4.1 va fi multiplicat cu 0.5;
- pentru elementele pentru zidarie din grupa 2S coeficientul K din tabelul 4.1 va fi multiplicat cu 0.4.
4.1.1.1.2. Rezistenta unitara de proiectare la compresiune a zidariei
Rezistenta unitara de proiectare la compresiune a zidariei se va deter-mina cu relatia:
(4.2)
unde:
mz-coeficientul conditiilor de lucru, conform 4.1.1.1.3;
fk-rezistenta caracteristica la compresiune a zidariei deter-minata conform 4.1.1.1.1;
gM-coeficientul de siguranta al materialului, conform 2.3.2.3.
4.1.1.1.3. Coeficientii conditiilor de lucru pentru zidarie
Valorile coeficientului conditiilor de lucru mz pentru elementele struc-
turale si nestructurale din zidarie, se vor lua, diferentiat in raport cu starea limita care se verifica, dupa cum urmeaza:
i. Pentru verificarile la starea limita ultima (ULS)
mz,ULS=1.0- pentru toate cazurile, cu exceptia celor mentionate in continuare;
mz,ULS=0.85-pentru elementele cu aria sectiunii transversale<0.30m2;
mz,ULS=0.85- pentru zidariile executate cu mortar de ciment (fara adaos de var), pentru rezistenta de calcul la compresiune;
mz,ULS=0.75-idem, pentru rezistentele de calcul la intindere din incovo-iere, forfecare in lungul rostului orizontal si eforturi principale de intindere;
mz,ULS-1.25-pentru verificarea rezistentei elementelor cu tencuiala deco-rativa si la constructii cu finisaje de calitate superioara;
ii. Pentru verificari la starea limita de serviciu (SLS)
mz,SLS = 1.0 pentru toate cazurile cu exceptia celor mentionate in continuare;
mz,SLS = 2.0 pentru elementele cu tencuiala obisnuita;
mz,SLS = 1.5 pentru elementele cu tencuiala hidroizolatoare care lucreaza sub actiunea presiunii hidrostatice;
mz,SLS = 1.2 pentru elementele cu tencuiala decorativa si la constructii cu finisaje de calitate superioara.
4.1.1.2. Rezistenta zidariei la forfecare in rost orizontal
4.1.1.2.1. Rezistenta unitara caracteristica a zidariei la forfecare in rost orizontal
(1) Rezistenta unitara caracteristica initiala la forfecare a zidariei-sub efort unitar de compresiune egal cu zero-,fvk0, va fi obtinuta din rezultatele incercarilor pe zidarie efectuate avand ca document normativ de referinta SR EN 1052-3:2003 sau in conditiile stabilite la 1.1. (10).
NOTA: In cazul zidariilor cu mortare performante (definite conform 1.3.2) valoarea fvk0 este data in documentul de referinta SR EN 998-2:2004, anexa C.
(2) Daca nu sunt disponibile rezultate obtinute conform (1), valorile pentru rezistenta caracteristica initiala la forfecare a zidariei executata cu mortar pentru zidarie pentru utilizare generala (G), fvk0, in N/mm2, vor fi luate din tabelul 4.3 (preluat din documentul normativ de referinta EN 1996-1-1.)
Tabelul 4.3
Rezistenta unitara caracteristica initiala la forfecare a zidariei (fvk0), in N/mm2
|
Elemente pentru zidarie |
Rezistenta medie a mortarului fm (N/mm2) |
||
|
M10 |
M5,M2.5 |
M1 |
|
|
Ceramice | |||
|
Beton obisnuit sau usor | |||
|
Beton celular autoclavizat | |||
(3) Rezistenta unitara caracteristica la forfecare a zidariei,fvk, realizata cu mortar pentru zidarie pentru utilizare generala (G), cu toate rosturile umplute, se va lua egala cu cea mai mica dintre valorile:
i. Pentru elemente pentru zidarie din grupa 1
fvk= fvk0+0,4σd (4.3.a)
fvk=(0,034fb+0.14σd) (4.3.b)
ii.Pentru elemente pentru zidarie din grupa 2
fvk= fvk0+0,4σd (4.3.a)
fvk=0,9(0,034fb+0.14σd) (4.3.c)
unde:
fvk0- rezistenta unitara caracteristica initiala la forfecare, conform tabelului 4.3;
σd- efortul unitar de compresiune perpendicular pe planul de forfecare in peretele de zidarie, in sectiunea considerata, corespunzator incarcarilor de proiectare;
fb- rezistenta standardizata la compresiune a elementelor pentru zidarie.
(4) Pentru zidariile executate cu elemente pentru zidarie din grupele 1 si 2 valorile rezistentei caracteristice la forfecare fvk (in N/mm2) se vor lua din tabelele 4.4a si 4.4b. Pentru zidariile executate cu elemente din BCA din grupa 1, valorile rezistentelor caracteristice la forfecare in rost orizontal se vor lua din tabelul 4.4c.
Tabelul 4.4a
Rezistenta unitara caracteristica la forfecare in rost orizontal fvk a zidariei cu elemente pentru zidarie din argila arsa din grupa 1
|
fb N/mm2 |
Mortar |
Efort unitar de compresiune s d (N/mm2) |
|||||||||
|
M10 | |||||||||||
|
M5/2.5 | |||||||||||
|
M1 | |||||||||||
|
M10 | |||||||||||
|
M5/2.5 | |||||||||||
|
M1 | |||||||||||
|
M5/2.5 | |||||||||||
|
M1 | |||||||||||
Tabelul 4.4b
Rezistenta unitara caracteristica la forfecare in rost orizontal fvk a zidariei cu elemente pentru zidarie din argila arsa din grupa 2
|
fb N/mm2 |
Mortar |
Efort unitar de compresiune s d (N/mm2) |
|||||||||
|
M10 | |||||||||||
|
M5/2.5 | |||||||||||
|
M1 | |||||||||||
|
M10 | |||||||||||
|
M5/2.5 | |||||||||||
|
M1 | |||||||||||
|
M5/2.5 | |||||||||||
|
M1 | |||||||||||
Tabelul 4.4c
Rezistenta unitara caracteristica la forfecare in rost orizontal fvk a zidariei cu elemente pentru zidarie din beton celular autoclavizat
|
fb N/mm2 |
Mortar |
Efort unitar de compresiune s d (N/mm2) |
|||||||||
|
M5/2.5 | |||||||||||
|
M1 | |||||||||||
|
M5/2.5 | |||||||||||
|
M1 | |||||||||||
|
M5/2.5 | |||||||||||
|
M1 |
|||||||||||
NOTE:
10 In tabelele 4.4a, 4.4b si 4.4c, pentru cazurile din casetele posate, valoarea caracteristica este data de rezistenta rostului orizontal (rezulta din relatia 4.3a) iar in celelalte cazuri este data de rezistenta standardizata a elementului pentru zidarie (rezulta din relatiile 4.3b si 4.3c).
20 Pentru valori ale fb diferite de cele din tabele ( de exemplu, in cazul in care rezistenta standardizata este obtinuta din rezistenta medie conform 3.1.3.1.1.) valorile fvk se vor determina prin interpolare sau extrapolare.
(5) Pentru elementele pentru zidarie ceramice din grupa 2S, valoarea rezistentei initiale la forfecare fvk0 , va fi declarata de fiecare producator pe baza incercarilor efectuate conform metodei prezentate in documentul normativ de referinta SR EN 1052-3:2003. Pentru aceasta grupa de elemente ceramice producatorul fiecarui tip de element va confirma posibilitatea formulelor (4.3a)(4.3c) sau va comunica eventualele corectii necesare.
4.1.1.2.2. Rezistenta unitara de proiectare a zidariei la forfecare in rost orizontal
Rezistenta unitara de proiectare a zidariei la forfecare in rost orizon-tal fvd se va calcula cu formula:
(4.4)
in care:
- coeficientul de siguranta pentru material γM se va lua conform 2.3.2.3.;
- coeficientul conditiilor de lucru mz, se va lua conform 4.1.1.1.3.
4.1.1.3. Rezistenta unitara la intindere din incovoiere
perpendicular pe planul zidariei
In cazul solicitarii la incovoiere, produsa de forte perpendiculare pe planul zidariei, vor fi luate in considerare rezistentele corespunzatoare urmatoarelor situatii du rupere:
rezistenta la incovoiere dupa un plan de rupere paralel cu rosturile ori-zontale, fxl;
rezistenta la incovoiere dupa un plan de rupere perpendicular pe rostu-rile orizontale, fx2
4.1.1.3.1. Rezistentele unitare caracteristice la intindere din incovoiere perpendicular pe planul zidariei
(1) Rezistentele unitare caracteristice la intindere din incovoiere ale zida-riei, fxl si fx2, vor fi obtinute din rezultatele incercarilor pe zidarie sau conform 1.1. (10).
In cazul in care nu sunt disponibile date experimentale valorile rezistentelor unitare caracteristica la incovoiere ale zidariei, cu toate rosturile complet umplute, realizata cu mortar pentru zidarie pentru utilizare generala (G), fxl si fx2, in N/mm2, se vor lua din tabelul 4.5.
Tabelul 4.5.
Rezistente unitare caracteristice la incovoiere perpendicular pe planul zidariei
|
Tipul elementelor |
Rezistenta medie a mortarului |
|||
|
M10*,M5 |
M2.5 |
|||
|
fxk1 |
fxk2 |
fxk1 |
fxk2 |
|
|
Argila arsa, pline sau cu perforatii verticale | ||||
|
Beton celular autoclavizat | ||||
*Mortarul M10 nu se foloseste pentru elemente cu fmed=5N/mm2 si pentru elemente din BCA
In cazul zidariilor cu rosturi verticale de tip nut si feder, rezistentele caracteristice la incovoiere fxl si fx2 vor fi declarate de producator, conform prevederilor de la 1.1. (10)
4.1.1.3.2. Rezistentele unitare de proiectare la intindere din incovoiere perpendicular pe planul zidariei
Rezistentele de proiectare la intindere din incovoiere, perpendicular pe planul peretelui ale zidariei se vor calcula cu formulele:
(4.5a)
(4.5b)
in care:
- coeficientul de siguranta pentru material, γM, se va lua conform 2.3.2.3.
- coeficientul conditiilor de lucru, mz, se va lua conform 4.1.1.1.3.
4.1.1.4. Rezistenta caracteristica de ancorare
(1) Rezistenta caracteristica de ancorare prin aderenta a armaturii inglo-bate in beton va fi obtinuta din rezultatele incercarilor.
(2) Daca nu se dispune de date experimentale, rezistenta caracteristica de aderenta, fbok, se va lua dupa cum urmeaza:
pentru armaturile inglobate in sectiuni de beton cu dimensiuni mai mari sau egale cu 150 mm (in elementele de confinare), din tabelul 4.6.;
pentru armaturile inglobate in mortar sau in sectiuni de beton cu dimen-siuni mai mici de 150 mm (betonul din stratul median al ZIA), din tabelul 4.7.
Tabelul 4.6.
Rezistenta caracteristica de aderenta a armaturilor in betonul elementelor de confinare (N/mm2)
|
Clasa de rezistenta a betonului |
C12/15 |
C16/20 |
|
fbok pentru bare de otel beton netede (N/mm2) | ||
|
fbok pentru bare de otel beton profilate(N/mm2) |
Tabelul 4.7.
Rezistenta caracteristica de aderenta a armaturilor in mortar sau in betonul din ZIA (N/mm2)
|
Clasa de rezistenta a mortarului (M) |
M5 |
M10 |
|
fbok pentru bare de otel beton netede (N/mm2) | ||
|
fbok pentru bare de otel beton profilate(N/mm2) |
4.1.2. Proprietati de deformabilitate ale zidariei
4.1.2.1. Relatia efort unitar-deformatie specifica (σ-ε)
(1) Pentru calculul rezistentei sectiunilor elementelor structurale si nestructurale din zidarie, se foloseste o lege constitutiva (relatia efort unitar-deformatie specifica) de tip elasto-plastic cu ductilitate limitata si fara rezistenta la intindere, care poate avea una dintre urmatoarele forme:
- liniar-parabolica;
- parabolic-dreptunghiulara;
- dreptunghiulara.
(2) Pentru simplificarea relatiilor de calcul, in prezentul Cod se foloseste relatia σ-ε de formγ drepunghiulara, cu precizarile care sunt date in text pentru fiecare caz in parte.
(3) Valoarea deformatiei specifice ultime (εuz) se va lua dupa cum urmeaza:
pentru elemente de argila arsa din grupa 1: εuz=3.0;
pentru elemente din argila arsa cu goluri verticale din grupa 2: εuz=2.0;
pentru elemente din argila arsa cu goluri verticale din grupa 2S: valoarea εuz va fi declarata de producator conform 1.1.(10);
pentru elemente din BCA: εuz-2.0;
pentru elemente cu goluri din beton obisnuit: εuz=3.0
pentru elemente cu goluri din beton usor: εuz=2.0.
(4) Prevederile prezentului Cod privitoare la calculul rezistentei de proiectare a zidariei (capitolul 6.6.) si ale Codului P100-1/2006, privitoare la valorile factorului de comportare q si la numarul maxim de niveluri admis, nu se aplica in cazurile in care legea constitutiva a zidariei este de tip fragil (aproximativ liniara, cu εuz=ε1). Domeniile de utilizare si modelele/metodele de calcul pentru aceste zidarii vor fi stabilite prin Agremente tehnice eliberate de autoritatile competente din Romania.
4.1.2.2. Modulul de elasticitate al zidariei
4.1.2.2.1. Modulul de elasticitate longitudinal
(1) Pentru calculul deformatiilor longitudinale ale elementelor structurale si nestructurale din zidarie simpla se folosesc, in functie de situatia de proiectare respectiva, urmatoarele valori ale modulului de elasticitate longitudinal:
modulul de elasticitate secant de scurta durata, Ez;
modulul de elasticitate de lunga durata,Ez,M.
(2) Modulul de elasticitate secant de scurta durata Ez va fi determinat prin incercari utilizand metoda prezentata in documentul normativ de referinta SR EN 1052-1 sau va fi stabilit conform pct.1.1. (10).
In absenta valorilor determinate conform (2), modulul de elasticitate secant de scurta durata al zidariei nearmate (Ez), executata cu elemente pentru zidarie din grupele 1 si 2, cu mortar pentru zidarie pentru utilizare generala (G), cu toate rosturile complet umplute cu mortar, va fi luat din tabelul 4.8, in functie de rezistenta caracteristica a zidariei la compresiune fk.
Tabelul 4.8.
Valorile modulului de elasticitate secant de scurta durata al zidariei (Ez)
|
Tipul calculului (situatia de proiectare) |
Zidarie cu elemente din argila arsa sau din beton |
Zidarie cu elemente din BCA |
|
Stabilirea caracteristicilor dinamice |
1000 fk |
850 fk |
|
Deformatii in ULS |
500 fk |
400 fk |
|
Deformatii in SLS (numai pentru sisteme static nedeterminate) |
800 fk |
650 fk |
(4) Pentru zidariile executate cu elemente pentru zidarie din grupa 2S valorile modulului de elasticitate secant de scurta durata, Ez, vor fi declarate de producator, conform prevederilor de la 1.1. (10).
In cazul zidariei simple cu armaturi in rosturile orizontale valorile Ez stabilite ca mai sus vor fi majorate cu 10%.
(6) Modulul de elasticitate echivalent de scurta durata al zidariei confinate (ZC) si al zidariei cu inima armata (ZIA) se va calcula cu relatia
(4.7.)
unde:
Ez si Eb- modulii de elasticitate longitudinali ai zidariei si betonului;
Iz si Ib- momentele de inertie ale sectiunilor de zidarie si de beton,
calculate in raport cu axele principale de inertie ale peretelui.
In cazul zidariei confinate cu armaturi in rosturile orizontale (ZC+AR), valorile date de relatia (4.7) se vor majora cu 10%.
(7) Modulul de elasticitate de lunga durata Ez,ld se va determina din valoarea modulului secant de scurta durata Ez, redusa conform relatiei (4.8), pentru a tine cont de efectele curgerii lente:
(4.8.)
unde:
Φ∞ - coeficientul final de curgere lenta dat in tabelul 4.9.
4.1.2.2.2. Modulul de elasticitate transversal
(1) Modulul de elasticitate transversal, Gz, pentru zidaria nearmata, cu elemente pentru zidarie din toate grupele (1,2,2S), se determina cu relatia:
Gz=0.4Ez (4.9.) unde:
Ez-modulul de elasticitate secant de scurta durata, cu valorile corespunzatoare situatiei de proiectare respective, stabilite conform 4.1.2.2.1.
In lipsa unor date mai exacte, stabilite prin incercari, modulul de deformatie transversala echivalent pentru peretii de zidarie confinata (ZC) si peretii de zidarie cu inima armata (ZIA) se va calcula cu relatia:
GZC(ZIA)=0,40 EZC(ZIA) (4.10)
4.2. Proprietatile fizice ale zidariei
(1) Urmatoarele proprietati fizice ale zidariei sunt relevante pentru obiectul Codului:
- Curgerea lenta;
- Variatiile de volum datorate modificarilor umiditatii;
- Dilatarea termica.
(2) Valorile de proiectare ale acestor proprietati trebuie sa fie determinate prin incercari sau stabilite conform 1.1. (10).
In absenta unor date mai exacte, valorile de proiectare respective vor fi luate, orientativ, in limitele indicate in tabelul 4.9.
Tabelul 4.9
Valorile principalelor proprietati fizice ale zidariei
|
Tipul elementului pentru zidarie |
Coeficientul de curgere lenta finala |
Valoarea ultima de umflare la umiditate sau
contratia |
Coeficientul de dilatare termica |
|
Domeniul de variatie (valoare de referinta) |
|||
|
Ceramice(*) |
4 8 (5 x 10-6) |
||
|
Beton greu si piatra artificiala | |||
|
Beton cu agregate usoare | |||
|
Beton celular autoclavizat |
7 9 (8 x 10-6) |
||
(*) Pentru zidaria executata cu elemente din grupa 2S, valorile principalelor proprietati fizice ale zidariei, din tabelul 4.9 vor fi declarate de producator conform 1.1. (10).
4.3. Durabilitatea zidariei
4.3.1. Generalitati
(1) Cladirile din zidarie vor fi proiectate astfel incat sa aiba durabilitatea necesara pentru a fi utilizate in conformitate cu cerintele si cu durata de exploatare stabilite prin tema de proiectare, in conditiile specifice ale mediului inconjurator.
4.3.2. Clasificarea conditiilor de mediu inconjurator
4.3.2.1. Conditii de microclimat de expunere
(1) La proiectarea cladrilor din zidarie vor fi luate in considerare conditiile de microclimat la care va fi expusa zidaria in timpul exploatarii.
(2) Pentru stabilirea conditiilor de microclimat de expunere ale zidariei, se va tine seama si de:
- Efectul finisajelor si al placajelor de protectie;
- Modul in care detaiile de finisaj impiedica mentinerea/ acumularea apei pe fatade.
(3) Conditiile de microclimat de expunere a zidariei terminate se incadreaza in clase de expunere, definite dupa cum urmeaza:
- MX1-mediu ambiant uscat;
- MX2-expus la umiditate sau umezire;
- MX3-expus la umezire cu cicluri de inghet-dezghet;
- MX4-expus la aer saturat de sare, apa de mare sau alte ape cu saruri;
- MX5-mediu ambiant chimic agresiv.
(4) Pentru determinarea clasei de expunere se vor lua in considerare:
- Factorii climatici specifici ai amplasamentului:
ploaia si zapada;
actiunea simultana a vantului cu ploaia;
variatiile de temperatura;
variatiile umiditatii
- Severitatea expunerii la umezire;
- Expunerea la cicluri inghet/dezghet;
- Prezenta compusilor/substantelor chimice care, in contact cu apa, pot conduce la reactii care afecteaza integritatea zidariei.
4.3.3. Durabilitatea componenetelor zidariei
4.3.3.1. Elemente pentru zidarie
(1) Elementele pentru zidarie vor fi suficient de durabile pentru a rezista, in conditiile relevante de expunere, pe toata durata de exploatare proiectata a cladirii.
In cazul zidariilor aparente se vor respecta prevederile documentului normativ de referinta SR EN 771-1 privind conditiile de folosirea elemen-telor pentru zidarie in functie de densitatea acestora.
4.3.3.2. Mortar
(1) Mortarul pentru zidarie va fi suficient de durabil pentru a rezista, in conditiile relevante de microclimat de expunere, pe toata durata de exploatare proiectata a cladirii si nu va contine componenti care pot avea efect daunator asupra proprietatilor sau durabilitatii mortarului, otelului sau altor materiale cu care se afla in contact.
4.3.3.3. Otel pentru armaturi
(1) Otelul pentru armaturi, inglobat in beton sau in mortar, va fi suficient de durabil, astfel ca, atunci cand este pus in opera in conditiile prevazute la capitolul 8, sa reziste la conditiile locale de expunere pe toata durata de exploatare proiectata a cladirii.
(2) Pentru asigurarea durabilitatii se va folosi otel pentru beton armat (otel carbon), protejat prin masurile date in continuare, sau otel rezistent la coroziune.
(3) Pentru clasa de expunere MX1, otelul poate fi neprotejat (cu exceptia zidariei de placaj).
(4) Pentru clasele de expunere MX2 si MX3, protectia otelului se poate realiza prin:
- Inglobare in mortar sau beton;
- Galvanizare;
- Acoperire cu rasini epoxidice; sau printr-o combinatie a acestor procedee.
(5) Protectia armaturilor prin inglobare in mortar trebuie sa indeplineasca urmatoarele conditii:
Tipul si marca minima a mortarului vor fi:
mortar de ciment-var M5-pentru incaperi cu umiditate relativa interioara permanenta a aerului ≤60%;
mortar de ciment cu adaos de plastifianti M10-pentru incaperi cu umiditate relativa interioara permanenta a aerului >60%.
Acoperirea laterala cu mortar a barelor dispuse in rosturile orizontale va fi ≥ 20 mm la peretii care se tencuiesc ulterior si ≥ 35 mm la peretii care raman netencuiti; grosimea stratului de protectie va fi sporita pana la 45 mm in cazul peretilor care trebuie sa ramana netencuiti (zidarie aparenta sau de placaj), in conditiile de expunere MX4 si MX5;
Zidaria va fi tencuita cu mortar ≥M2.5.
(6) Protectia armaturilor din elementele de confinare prin inglobare in beton se asigura prin prevederea in proiecte a unui strat de acoperire minim a carui grosime va corespunde cerintelor din documentul normativ de referinta STAS 10107/0-90, Art.6.1.
(7) Protectia prin galvanizare se va realiza cu o acoperire de zinc de minimum 900g/m2 sau cu o acoperire de zinc de minimum 60 g/m2 completata cu o acoperire cu rasina epoxidica cu grosime medie recomandata 100μm.
NOTA: Otelul va fi galvanizat dupa fasonare.
4.3.3.4. Durabilitatea betoanelor
Pentru betoanele care intra in alcatuirea cladirilor de zidarie se vor avea in vedere prevederile generale referitoare la durabilitatea prezentate in documentul normativ de referinta STAS 10107/0-90, NE 012-99 si masurile specifice din prezentul Cod.
4.3.3.5. Straturi de rupere a capilaritatii
(1) Straturile pentru ruperea capilaritatii vor avea durabilitatea cores-punzatoare tipului de cladire la care se utilizeaza si conditiile de mediu respective; ele vor fi alcatuite din materiale care sa nu poata fi strapunse la utilizare si vor fi capabile sa reziste la eforturile mecanice fara sa favorizeze producerea condensului.
(2) Straturile pentru ruperea capilaritatii pot fi realizate din:
- Materiale plastice;
- Tencuieli hidrofuge.
4.3.3.6. Elemente de legatura pentru pereti
(1) Elementele de legatura pentru pereti si prinderile lor vor fi ca-pabile sa reziste la actiunea relevanta a mediului inconjurator si la miscarile relative intre straturi. Ele vor avea rezistenta la coroziune corespunzatoare mediului in care sunt utilizate.
(2) Elementele de ancorare ale placajelor din zidarie sau ale stratului exterior al fatadelor ventilate (cu gol de aer) vor fi executate din otel inoxidabil.
4.3.3.7. Eclise, scoabe si corniere
Eclisele, ancorele, scoabele si cornierele inglobate in zidarie vor avea rezistenta la coroziune corespunzatoare conditiilor de mediu in care sunt utilizate. Protectia acestora se va realiza cu orice procedeu recunoscut in practica curenta pentru conditii de mediu similare.
4.4.4. Durabilitatea zidariei aflata sub nivelul terenului
Zidaria asflata sub nivelul terenului va fi proiectata astfel incat sa nu fie afectata defavorabil de conditiile terenului sau va fi protejata in mod cores-punzator.
In acest scop:
Se vor lua masuri pentru a proteja zidaria de efectele umezelii provenite din contactul cu pamantul, mai ales impotriva propagarii umiditatii prin capilaritate;
In cazul in care, prin studiul geotehnic efectuat pe amplasament, se constata ca terenul contine substante chimice care pot afecta integritatea si durabilitatea zidariei, aceasta va fi proiectata din materiale rezistente la aceste
CAPITOLUL 5. PROIECTAREA PRELIMINARA A CLADIRILOR CU PERETI STRUCTURALI DIN ZIDARIE
5.1. Proiectarea preliminara arhitectural-structurala a cladirilor etajate curente
(1) Deoarece alcatuirea structurilor cladirilor din zidarie rezulta, in principal, din alcatuirea planului de arhitectura, proiectarea cladirilor cu pereti structurali din zidarie situate in zone seismice implica parcurgerea unui proces iterativ de propunere-evaluare la care trebuie sa participe, inca din faza initiala a proiectului, arhitectul si inginerul structurist.
(2) Alegerea configuratiei de ansamblu a cladirii este atributia principala a arhitectului. Conceptia structurii revine inginerului de structuri dar nu poate fi independenta de cerintele functionale si de plastica formulate de investitor si de arhitect.
(3) Proiectarea preliminara arhitectural-structurala constituie si o faza de proiectare cu caracter de predimensionare, care precede verificarea prin calcul a sigurantei structurale, si care conditioneaza, intre altele, alegerea modelului si a metodei folosite pentru calculul la actiunea incarcarilor verticale si orizontale, conform cerintelor stabilite la Cap.6 din prezentul Cod.
(4) Proiectarea preliminara arhitectural-structurala implica parcurgerea urmatoarelor etape:
i. Stabilirea formei generale a cladirii in plan si in elevatie.
ii.Proiectarea preliminara a suprastructurii verticale (ansamblul peretilor structurali).
iii. Proiectarea preliminara a planseelor.
iv. Proiectarea preliminara a infrastructurii.
5.1.1. Principii de alcatuire arhitectural-structurala a cladirilor etajate curente
(1) In faza de proiectare preliminara arhitectural-structurala a cladirilor din zidarie se va urmari ca forma in plan si volumetria cladirii, distributia spatiilor, amplasarea si alcatuirea peretilor structurali sa fie astfel alese incat raspunsul seismic al cladirii sa fie favorabil si sa poata fi determinat prin calcul, cu suficienta exactitate, folosind modele si metode curente (simple).
(2) Pentru zonele cu acceleratie seismica de proiectare ag≥0,20g se recomanda alegerea configuratiilor de plan si volumetric care conduc la cladiri cu regularitate structurala in plan si pe verticala definita conform criterilor de la art.5.1.3.
5.1.2. Alcatuirea cladirii in plan si in elevatie
(1) Se recomanda adoptarea unor partiuri compacte, cu simetrie geometrica (data de forma in plan) si cu simetrie mecanica (rezultata din dispunerea in plan a peretilor structurali) sau cu disimetrii limitate, care se incadreaza in limitele din fig. 5.1.
Adoptarea unor astfel de forme este obligatorie in cazul cladirilor cu pereti structurali din zidarie fundate direct pe terenuri dificile (PUCM, PSU).
(2) Aria planseului va fi mentinuta, de regula, constanta la toate nivelurile cladirii. Se pot accepta reduceri de arie, de la un nivel la altul imediat superior, de circa 1015% cu conditia ca traseul de scurgere a incarcarilor catre fundatii sa nu fie intrerupt (de exemplu, prin rezemarea unui perete structural pe planseu).
(3) Cladirile cu pereti structurali din zidarie vor fi alcatuite astfel incat sa se realizeze o structura spatiala formata din:
Elemente verticale: pereti structurali dispusi, cel putin, pe doua directii ortogonale;
Elemente orizontale: plansee care, de regula, constituie diafragma (sai-ba) rigida in plan orizontal.
(4) Caracterul spatial al structurii din zidarie se obtine prin:
A. Legaturile dintre peretii structurali de pe cele doua directii principale, la colturi, intersectii si ramnificatii, care se realizeaza prin:
teserea zidariei conform prevederilor din Capitolul 8, asociata, in situatiile mentionate la pct. 7.1.2.1.(7) pentru zidaria nearmata, cu arma-turi de legatura dispuse in rosturile orizontale;
stalpisori de beton armat turnati in strepii zidariei in cazul zidariei confinate;
teserea zidariei din straturile exterioare si continuitatea betonului si armaturii din stratul median, in cazul zidariei cu inima armata.
B. Legaturile intre plansee si peretii structurali care se realizeaza, in functie de tipul (alcatuirea) zidariei, dupa cum urmeaza:
la zidaria nearmata (ZNA): prin centuri de beton armat turnate pe toti peretii;
la zidaria confinata (ZG): prin inglobarea/ancorarea armaturilor din stalpisori in sistemul de centuri de la fiecare planseu;
la zidaria cu inima armata (ZIA): prin inglobarea/ancorarea armaturilor din stratul median al peretelui in sistemul de centuri de la fiecare planseu.
(5) Rigiditatea structurii va fi aproximativ egala pe cele doua directii principale ale cladirii; se recomanda ca diferenta intre rigiditatile res-pective sa nu depaseasca 25%.
(6) Rezistenta si rigiditatea cladirii vor fi mentinute aproximativ constante pe toata inaltimea cladirii. Se recomanda ca eventualele reduceri de rezistenta si de rigiditate sa nu depaseasca 20% si sa se realizeze prin reducerea:
densitatii zidurilor;
grosimii zidurilor;
rezistentei zidariei la compresiune.
5.1.3. Criterii de regularitate structurala
(1) Sistemul structural va fi simplu, continuu si va avea suficienta capacitate de rezistenta si rigiditate pentru a asigura un traseu direct si neintrerupt al fortelor verticale si orizontale, pana la terenul de fundare.
(2) Cladirile din zidarie sunt considerate cu regularitate structurala in plan daca:
forma in plan satisface urmatoarele criterii:
- este aproximativ simetrica in raport cu 2 directii ortogonale;
- este compacta, cu contururi regulate si cu un numar cat mai redus de colturi intrande;
- eventualele retrageri/proeminente in raport cu conturul curent al plan-seului nu depasesc, fiecare, cea mai mare dintre valorile: 10% din aria planseului sau 1/5 din dimensiunea laturii respective;
distributia in plan a peretilor structurali nu conduce la disimetrii impor-tante ale rigiditatii laterale, ale capacitatilor de rezistenta si/sau ale
incarcarilor permanente in raport cu directiile principale ale cladirii;
rigiditatea planseelor in plan orizontal este suficient de mare incat sa fie asigurata compatibilitatea deplasarilor laterale ale peretilor structurali sub efectul fortelor orizontale;
la parter, pe fiecare din directiile principale ale cladirii, distanta intre centrul de greutate (CG) si centrul de rigiditate (CR) nu depaseste 0.1 L unde L este dimensiunea cladirii pe directia perpendicu-lara directiei de calcul.
(3) Cladirile din zidarie sunt considerate cu regularitate structurala in elevatie daca:
inaltimile nivelurilor adiacente sunt egale sau variaza cu cel mult 20%;
peretii structurali au, in plan, aceleasi dimensiuni la toate nivelurile su-praterane sau prezinta variatii care se incadreaza in urmatoarele limite:
- reducerea lungimii unui perete fata de nivelul inferior nu depaseste 20%;
- reducerea ariilor nete totale de zidarie la nivelurile superioare, pentru cladirile cu nniv ³ 3 nu depaseste 20% din aria zidariei de la parter;
cladirea nu are niveluri 'slabe' (care au rigiditate si/sau capacitate de rezistenta mai mica decat cele ale nivelurilor superioare).
(4) Cladirile care nu satisfac aceste conditii sunt considerate fara re-gularitate structurala, dupa caz, in plan sau in elevatie.
(5) Pentru proiectare (calcul si detaliere constructiva) in conformitate cu prevederile prezentului Cod, cladirile cu pereti structurali din zidarie se clasifica in grupe de regularitate dupa cum urmeaza:
Tabelul 5.1
Clasificarea cladirilor cu pereti structurali din zidarie in grupe de regularitate
|
Grupa de regularitate a cladirii |
Regularitate |
||
|
Plan |
Elevatie |
||
|
Cladiri regulate |
Da |
Da |
|
|
Nu |
Da |
||
|
Cladiri neregulate |
Da |
Nu |
|
|
Nu |
Nu |
||
(6) Cladirile cu structuri de tip dual, la care peretii structurali din zidarie conlucreaza cu cadre din beton armat, se incadreaza in clasa cladirilor neregulate al caror raspuns seismic depinde de raportul intre cele doua subsisteme. Determinarea fortei seismice si distribu-tia acesteia la cele doua subsisteme se va face conform prevederilor generale de la pct. 6.3.2.1.(3). Subsistemul 'cadre' va fi proiectat conform cerintelor din Codul P100-1/20Q6 si Codul NP 007-97. Subsistemul 'pereti structurali din zidarie' va fi proiectat conform prevederilor din Codul P100-1/2006, cap.8 si din prezentul Cod.
5.1.4. Separarea cladirii in tronsoane
(1) Separarea cladirii in tronsoane este necesara daca:
lungimea cladirii depaseste valorile maxime stabilite conform 5.1.5.1.;
forma in plan are neregularitati care depasesc limitele din figura 5.1.;
terenul pe care este amplasata cladirea prezinta neregularitati (de stratificatie, de consistenta., umpluturi locale,etc).
NOTA. Pentru exemplificarea tronsonarii cladirilor cu forme neregulate a se vedea Codul P100-1/2006, fig.4.1.
(2) Se recomanda ca rapoartele principalelor dimensiuni ale tronsoanelor rezultate prin fragmentarea cladirii cu rosturi sa se incadreze in limitele :
inaltime /latime ≤ 1.5;
lungime /latime ≤ 4.0.
(3) Fiecare dintre tronsoanele rezultate din fragmentarea cladirii prin ros-turi trebuie sa aiba o alcatuire arhitectural-structurala care corespunde, in totalitate prevederilor de la pct. 5.1.2.
(4) Rosturile de separatie intre cladirile / tronsoanele adiacente se clasifica in functie de rolul in structura si de modul in care se dezvolta pe verticala cladirii:
rosturi complete, care traverseaza atat suprastructura cat si infra-structura:
- rosturi de tasare, care au rolul de a limita eforturile din structura datorate neuniformitatii terenului de fundare si/sau valoarea tasarilor cladirii in cazul fundarii pe terenuri dificile;
rosturi partiale, care se realizeaza numai in suprastructura:
- rosturi seismice, care au, in principal, rolul de a elimina sau de a di-minua efectele negative ale torsiunii de ansamblu in cazul cladirilor cu forme complexe in plan; in cazul cladirilor cu lungime deosebit de mare, rosturile seismice vor traversa si fundatiile cu scopul de a evita efectele nesincronismului miscarii seismice la fundatiile situate la distante relative mari;
- rosturi de contractie-dilatare, care au rolul de a limita eforturile care pot rezulta din variatiile de temperatura sau ca efect al fenomenelor reologice specifice zidariei/betonului.
(5) Rosturile intre tronsoane se vor realiza prin dublarea peretilor struc-turali, vor fi plane si vor separa complet atat elementele structurale cat si elementele nestructurale ale cladirii.
(6) Dimensiunea spatiului liber dintre elementele de constructie ale tronsoanelor adiacente va fi stabilita prin calcul, conform prevederilor Codului P100-1/2006, Cap.4.
Inchiderea spatiului liber dintre tronsoane se va face cu materiale sau dispozitive care nu impiedica miscarea relativa a tronsoanelor alaturate, sunt impermeabile la apa si la aer, nu permit propagarea focului si sunt acceptabile din punct de vedere al aspectului. Nu se permite inchiderea rostului cu tencuiala.
5.1.5. Dimensiuni maxime ale cladirilor
Dimensiuni maxime in plan
(1) Pentru cladirile din zidarie fundate pe terenuri normale, lungimea maxi-ma a tronsoanelor va fi de 50.0 m.
(2) Pentru cladirile fundate pe terenuri dificile de fundare, lungimea maxima a tronsoanelor se va stabili in conformitate cu reglementarile specifice: P 7-2000 si/sau NP 001-2000.
Dimensiuni maxime in elevatie
(1) Numarul maxim de niveluri (nniv) peste sectiunea de incastrare definita la pct. 6.3.1 (2) si valoarea minima constructiva asociata a densitatii peretilor structurali (p%), pentru care se aplica prevederile prezentului Cod, se limiteaza, conform Codului P 100-1/2006, in functie de:
acceleratia seismica de proiectare la amplasament (ag);
clasa de regularitate/neregularitate structurala definita la pct.5.1.3.;
clasa de importanta a cladirii, stabilita conform P100-1/2006;
tipul/alcatuirea zidariei (ZNA, ZC, ZC+AR, ZIA);
densitatea peretilor structurali p% stabilita conform pct. 5.2.1.(2);
tipul si grupa elementelor pentru zidarie (1,2,2S), stabilite conform pct. 3.1.2.2.
NOTA. Utilizarea zidariei nearmate (ZNA) pentru cladiri etajate, in conditiile prevazute in Codul P100-1/2006 este permisa numai daca sunt respectate toate cerintele constructive prevazute la art. 5.2.2.1. (2).
(2) In cazul cladirilor din ZNA, mansarda se considera 'nivel', care se include in numarul total admis conform Codului P 100-1/2006., chiar daca indeplineste conditiile de la aliniatul (3).
In cazul cladirilor din zidarie armata (ZC, ZC+AR si ZIA) cu mansarda peste ultimul nivel curent, aceasta nu se include in numarul de niveluri maxim (nniv) admis conform Codului P 100-1/2006, daca sunt indeplinite urmatoarele conditii:
densitatea minima constructiva a peretilor data in Codul P 100-1/2006 se majoreaza cu 1.0%;
peretii perimetrali din zidarie nu depasesc inaltimea medie de 1.25 m;
peretii de compartimentare sunt de tip usor (gips-carton sau similar);
sarpanta din lemn este proiectata astfel incat sa nu rezulte impingeri in peretii perimetrali;
zidaria peretilor structurali de la mansarda este confinata cu stalpisori de beton armat in continuarea celor de la nivelul inferior;
la partea superioara a peretilor de zidarie ai mansardei este prevazuta o centura de beton armat.
Daca cel putin una din aceste conditii nu este indeplinita, mansarda va fi considerata 'nivel' iar cladirea se va incadra, din punct de vedere al inaltimii si al densitatii peretilor structurali, in conditiile date in Codul P100-1/2006.
In cazul in care pe planseul peste ultimul nivel curent al cladirii sunt prevazute constructii anexe (uscatorii, spalatorii, etc) care ocupa mai putin de 20% din suprafata etajului curent si a caror inaltime nu este mai mare decat inaltimea acestuia, incaperile respective vor fi considerate ca o proeminenta a cladirii principale si vor fi proiectate conform prevederilor din pct. 6.3.2.1 (nu vor fi considerate ca 'nivel' in limitele indicate mai sus).
5.2. Proiectarea preliminara a subansamblurilor structurale verticale (pereti structurali)
5.2.1.Alegerea sistemului de pereti structurali
(1) Alegerea sistemului de pereti structurali se va face astfel incat sa rea-lizeze, concomitent, satisfacerea urmatoarelor categorii de cerinte:
functionale, stabilite de investitor: dimensiunile spatiilor libere, inaltimea de nivel, tipul circulatiilor, etc;
de confort;
de siguranta structurala.
(2) Densitatea peretilor structurali ai cladirilor din zidarie, pe fiecare din directiile principale ale cladirii, este definita prin procentul ariei nete totale a peretilor din zidarie (Az,net) de pe directia respectiva, raportata la aria planseului (Ap1) de la nivelul respectiv:
(5.1)
(3) Pentru structurile din zidarie care fac obiectul prezentului Cod, den-sitatea peretilor structurali se stabileste prin calcul cu respectarea valorilor minime constructive, in functie de acceleratia seismica de proiectare (ag) si de numarul de niveluri (nniv), conform prevederilor Codului P100-1/2006. Valorile rninime constructive p% se refera la nivelul de baza al cladirii (peste sectiunea de incastrare de-finita la pct. 6.3.1.(2)). La nivelurile superioare ale cladirii, densitatea minima constructiva poate fi redusa fara insa a deveni mai mica de 3% pe fiecare directie principala a cladirii. Reducerea densitatii pe-retilor se va face tinand seama de recomandarile de la pct. 5.1.2.(6), urmarind sa nu rezulte o disimetrie pronuntate a sistemului structural.
NOTA. Prevederea in proiect a densitati minime constructive de pereti nu inlocuieste obligatia proiectantului de a verifica prin calcul siguranta structurii conform cerintelor de la capitolul 6 din prezentul Cod si preve-derilor Codului P 100-1/2006.
(4) Toti peretii de zidarie care indeplinesc conditiile geometrice minime privind lungimea si grosimea date la art. 5.2.5(6), 5.2.6 (2) si 5.2.6 (3), care au continuitate pana la fundatii si care sunt executati din materialele mentionate la Cap. 3 si 4, vor fi considerati 'pereti structurali' si vor fi calculati si alcatuiti conform prevederilor din prezentul Cod.
In cazul planseelor care descarca pe o singura directie (plansee din lemn, plansee cu grinzi metalice, plansee din elemente prefabricate liniare de beton armat) peretii paraleli cu directia elementului de planseu sunt definiti ca 'pereti structurali de contravantuire' care au, in principal, rolul structural de a prelua fortele orizontale pe directia respectiva. O parte din incarcarea aferenta peretilor adiacenti, pe care reazema planseul, este transmisa si peretilor de contravantuire conform pct. 6.2.2.1. si figura 6.1.
(6) Pereti structurali care intra in alcatuirea unei structuri din zidarie sunt de doua categorii:
pereti izolati (montanti),legati intre ei,la fiecare nivel,numai cu placa planseului;
pereti cuplati (cu goluri de usi si/sau ferestre), constituiti din montanti (spaleti) legati intre ei, la nivelul fiecarui planseu, prin grinzi de cuplare de beton armat.
(7) Peretii de zidarie care nu indeplinesc conditiile de la (4) si (5) vor fi considerati nestructurali' si vor fi proiectati conform prevederilor din Codul P100-1/2006. Cap.10 cu respectarea conditiilor construc-tive date la pct 7.3.
(8) Peretii de zidarie care constituie panouri de umplutura in cadrele de beton armat sau de otel vor fi proiectati conform prevederilor de la Capitolul 6 din prezentul Cod si din Codul P100-1/2006, capitolele 5 si 8.
5.2.1.1 Structuri cu pereti desi
(1) Structurile cu pereti desi (sistem fagure), sunt definite de urmatorii parametri geometrici;
inaltimea de nivel ≤ 3,20 m;
distantele maxime intre pereti, pe cele doua directii principale ≤ 5,00 m;
aria celulei formata de peretii de pe cele doua directii principale ≤ 25,0 m.
In aceasta alcatuire, de regula, pozitiile in cladire ale peretilor structurali interiori rezulta din conceptia planului de arhitectura (separa incaperile principale ale cladirii).
In cazul in care, la un nivel oarecare al unei cladiri cu pereti desi, sunt necesare local, spatii mai mari, se accepta realizarea acestei cerinte prin suprimarea unui perete structural la nivelulul respectiv, cu obligatia suprimarii acestui perete si la toate nivelurile superioare astfel incat sa se evite formarea unul etaj slab. Daca prin aceasta operatie aria peretilor structurali de pe directia respectiva se reduce cu mai mult de 20%, cladirea va fi incadrata in clasa cladirilor fara regularitate pe verticala (pozitiile 3 si 4 din tabelul 5.1.).
In conditiile de la (2), structura verticala si planseul rezultate trebuie sa aiba capacitatea de rezistenta; rigiditatea si ductilitatea necesare pentru preluarea solicitarilor datorate celor mai defavorabile grupari de incarcari, considerand si efectul eventualelor disimetrii structurale care ar putea rezulta din suprimarea peretelui respectiv.
(4) Folosirea sistemului de pereti este recomandata in cazul cladirilor fundate pe terenuri dificile.
5.2.1.2. Structuri cu pereti rari
(1) Structurile cu pereti rari (sistem celular), sunt definite de urmatorii parametrii geometrici:
inaltimea de nivel ≤ 4,00m;
distantele maxime intre pereti, pe cele doua directii principale ≤ 9,00 m;
aria celulei formata de peretii de pe cele doua directii principale ≤ 75,0 m2 .
In aceasta alcatuire peretii structurali interiori se dispun, de regula, la limita intre unitatile functionale (intre apartamente - la locuinte, intre salile de clasa - la unitatile de invatamant, etc) ceea ce elimina, in cele mai multe cazuri, slabirea lor cu goluri de trecere.
Alegerea tipului de zidarie
La proiectarea cladirilor cu pereti structurali din zidarie, alegerea tipului de zidarie (alcatuirea zidariei) pentru peretii structurali se va face cu respectarea conditiilor limita stabilite in Codul P100-1/2006 in functie de :
numarul de niveluri supraterane (nniv);
regularitatea structurala a cladirii;
grupa elementelor pentru zidarie;
acceleratia seismica de proiectare la amplasament (ag);
precum si in functie de posibilitatile tehnologice de executie.
5.2.2.1. Zidaria nearmata (ZNA)
(1) Din cauza capacitati scazute de a disipa energia seismica, datorita rezistentei mici la intindere si la forfecare si a ductilitatii reduse, se re-comanda ca utilizarea straturilor de zidarie nearmata (ZNA) sa fie evitata.
(2) Structurile de zidarie nearmata (ZNA) cu elemente ceramice din grupele 1, 2 si 2S, pot fi folosite, in conditiile stabilite in Codul P100-1/2006, privind acceleratia seismica de proiectare (ag), numarul de niveluri (nniv) si densitatea minima constructiva a peretilor structurali (p%) pe ambele directii, numai daca sunt indeplinite toate conditiile de mai jos:
cladirea se incadreaza in categoria 'cladiri regulate cu regularitate in plan si in elevatie', pozitia 1 din tabelul 5.1.;
cladirea se incadreaza in clasele de importanta III sau IV conform Codului P100-1/2006;
sistemul de asezare a peretilor este de tip 'pereti desi' (sistem agure);
inaltimea nivelului hetaj ≤ 3.00 m;
- sunt respectate cerintele de alcatuire a zidariei si planseelor din acest Cod;
calitatile materialelor folosite sunt cele prevazute la Cap.3 si in Codul P100-1/2006.
Zidaria armata (ZC, ZC+AR. ZIA)
Cladirile cu structuri de zidarie confinata (ZC), cu sau fara armaturi in rosturile orizontale, si cele de zidarie cu inima armata (ZIA) pot fi utilizate, in conditiile de calcul, de dimensionare si de alcatuire constructiva precizate in acest Cod cu conditia limitarii numarului de niveluri (nniv) si a densitatii minime constructive a peretilor structurali pe fiecare directie (p%), in functie de acceleratia seismica de proiectare (ag), conform prevederilor din Codul P100-1/2006.
Dispunerea in plan a peretilor structurali
(1) Dispunerea in plan a peretilor structurali se va face cat mai uniform in raport cu axele principale ale cladirii, pentru se evita efectele defavorabile ale rasucirii de ansamblu. Pentru asigurarea rezistentei si a rigiditatii la torsiune se recomanda ca peretii structurali cu rigiditate mare sa fie dispusi cat mai aproape de conturul cladirii.
In acelasi scop, in cazul tronsoanelor dreptunghiulare, la care fatadele longitudinale au raportul ρ intre ariile in plan ale golurilor de usi si ferestre si ariile plinurilor de zidarie apropiat de valorile maxime stabilite prin Codul P 100-1/2006, se recomanda ca peretii structurali transversali de la cape-tele tronsoanelor sa fie cat mai putin slabiti prin goluri.
(3) Se recomanda ca sumele ariilor nete de zidarie ale peretilor de pe cele doua directii principale ale cladirii sa fie aproximativ egale astfel incat sa fie indeplinita recomandarea de la pct. 5.1.2.(5).
(4) Se va urmari ca, in planul cladirii, peretii cu forme complexe cu o singura axa de simetrie (L,t) sa aiba talpile amplasate simetric fata de axele principale ale cladirii.
5.2.4. Dispunerea stalpisorilor si centurilor de beton armat la zidaria confinata
In cazul zidariei confinate (ZC), stalpisorii de beton armat vor fi ampla-sati in urmatoarele pozitii:
i. la capetele libere ale fiecarui perete;
ii. de ambele parti ale oricarui gol cu suprafata ≥ 2.5 m2 (orientativ un gol de usa cu dimensiunile 1.20 x 2.10 m); golurile cu dimensiuni mai mici vor fi marginite cu stalpisori daca necesitatea prevederii acestora rezulta din calcule sau din cerinta iv;
iii. la toate colturile exterioare si intrande de pe conturul constructiei;
iv. in lungul peretelui, astfel incat distanta intre axele stalpisorilor sa nu depaseasca:
- 4.0 m in cazul structurilor cu pereti rari (sistem celular);
5.0 m in cazul structurilor cu pereti desi (sistem fagure);
v. la intersectiile peretilor, daca cel mai apropiat stalpisor amplasat conform regulilor de mai sus se afla la o distanta mai mare de 1.5 m;
vi. in spaletii care nu au lungimea minima prevazuta la art. 5.2.5.(6).
(2) Stalpisorii vor fi executati pe toata inaltimea constructiei.
(3) Centurile de beton armat vor fi prevazute in urmatoarele pozitii:
la nivelul fiecarui planseu al constructiei, indiferent de materialul din care este executat planseul si de tehnologia de realizare a acestuia;
in pozitia intermediara, intre plansee, la constructiile etajate cu pereti rari (sistem celular) si la constructiile tip 'sala/hala', in conditiile stabilite de Codul de proiectare seismica P100-1/2006, diferentiat in functie de acceleratia seismica de proiectare (ag) la amplasament.
(4) Armarea longitudinala a stalpisorilor si centurilor, se va stabili prin calcul, tinand seama de efectele incarcarilor verticale si ale fortelor seismice de proiectare si va respecta conditiile minime date la Cap.7 din Cod.
(5) Stalpisorii si centurile din peretii de pe conturul cladirilor vor fi prevazuti la exterior cu protectie termica pentru evitarea formarii puntilor termice.
Goluri in peretii structurali din zidarie
(1) Stabilirea dimensiunilor golurilor pentru usi si ferestre si amplasarea acestora in peretii de zidarie se va face avand in vedere satisfacerea urmatoarelor categorii de cerinte:
functionale;
de plastica fatadelor;
structurale.
(2) Cerintele structurale se refera la:
evitarea reducerii exagerate a capacitatii de rezistenta si a rigiditatii unor pereti prin care se creeaza premizele unei comportari defavorabile la torsiunea de ansamblu;
obtinerea unor arii nete de zidarie aproximativ egale pe cele doua directii principale ale cladirii;
satisfacerea cerintelor de rezistenta si ductilitate pentru plinurile verticale (spaleti) si orizontale (grinzi de cuplare, buiandrugi) dintre goluri.
Pentru satisfacerea cerintelor structurale enumerate mai sus se vor lua masurile de la aliniatele urmatoare.
(3) Raportul ρ intre ariile in plan ale golurilor de usi si ferestre si ari-ile plaiurilor de zidarie., va fi limitat, conform prevederilor din Codul P 100-1/2006, in functie de:
acceleratia seismica de proiectare la amplasament (ag);
numarul de niveluri (nniv);
pozitia peretelui in cladire.
(4) Golurile de usi si de ferestre vor fi, de regula, dispuse pe aceeasi verticala la toate nivelurile. Poate fi acceptata dispunerea lor alternanta cu respectarea unor distante care sa permita transmiterea incarcarilor printr-un sistem de tip 'grinda cu zabrele.
5) La amplasarea golurilor de usi si ferestre se va urmari ca spaletii care rezulta sa aiba lungimi egale sau cat mai apropiate. In cazul peretilor lungi (peretii longitudinali ai cladirilor tip 'bara, de exemplu) daca aceasta prevedere nu poate fi realizata din considerente func-ionale sau de plastica a fatadelor, se recomanda ca spaletii cu dimensiuni mult diferite sa fie dispusi alternativ in lungul peretelui.
(6) Lungimea minima (Imin) a spaletilor adiacenti golurilor de usi si de fe-restre se limiteaza., in functie de cea mai mare inaltime a golurilor adiacente (hgol) sau de grosimea peretelui (t), dupa cum urmeaza:
pentru zidaria nearmata (ZNA);
- spaleti marginali (de capat) la pereti de fatada si interiori :
lmin=0.6hgol ≥1.20 m
- spaleti intermediari la pereti de fatada si interiori :
lmin=0.5hgol ≥1.00 m
pentru zidaria confinata(ZC sau ZC+AR):
- spaleti marginali (de capat) la pereti de fatada si interiori :
lmin=0.5hgol ≥1.00 m
- spaleti intermediari la pereti de fatada si interiori :
lmin=0.4hgol ≥0.80 m
pentru zidaria cu inima armata (ZIA): Imin = 3 t unde t este grosimea totala a peretelui.
(7) Se recomanda ca dimensiunile in plan ale plinurilor de zidarie, intre goluri sau pana la capatul peretelui, sa fie multiplu de ½ din lungimea ele-mentului pentru zidarie prevazut in proiect.
(8) Conditia de la (7) este obligatorie pentru zidariile realizate cu ele-mente din grupa 2S, pentru a se elirnina taierea/spargerea la santier a elementelor si a se folosi numai elementele speciale, cu lungimea de ½ din lungimea nominala, din sortimentele respective. In cazurile in care nu se realizeaza aceasta modulare se vor spori dimensiunile stalpisorilor din beton armat astfel incat pentru zidarie sa nu fie folosite fragmente de bloc diferite de ½ din lungimea blocului.
In cazul zidariilor cu inaltimea de referinta a randului ≥200 mm, inaltimea panoului de zidarie, intre centurile de beton armat, va fi un multiplu intreg al inaltimii randului (inaltimea elementului + grosimea stratului de mortar de circa 1012 mm).
In cazul in care prevederile proiectului de arhitectura nu permit realizarea spaletilor cu lungimile minime date la (6) se vor introduce stalpisori de beton armat pentru sporirea rezistentei spaletului la forta taietoare sau spaletul va fi inlocuit, in totalitate, cu un stalp de beton afinat.
5.2.6. Grosimea peretilor structurali
(1) Grosimea peretilor structurali va fi stabilita, prin calcule de specialitate, pentru satisfacerea urmatoarelor cerinte:
siguranta structurala;
izolare termica/economie de energie;
izolare fonica;
protectie la foc.
(2) Grosimea minima a peretilor structurali, indiferent de tipul elementelor din care este executata zidaria va fi 240 mm.
(3) Din punct de vedere al sigurantei structurale, indiferent de rezultatele calculelor, raportul intre inaltimea etajului (het) si grosimea peretelui (t) trebuie sa satisfaca urmatoarele conditii minime:
- zidarie nearmata (ZNA) het/t £
zidarie confinata (ZC) si zidarie cu inima armata (ZIA) het/t£
In afara acestei conditii, grosimea peretilor solicitati predominant la forta axiala, trebuie sa indeplineasca si cerintele de la art. 6.6.2. (1).
In cazul in care dimensiunile alese pentru grosimea peretilor in faza de proiectare preliminara nu satisfac cerintele de siguranta structurala de la art. 6.7., se poate adopta una dintre urmatoarele masuri:
schimbarea tipului / alcatuirii zidariei (de exemplu, din ZNA in ZC sau ZIA);
sporirea grosimii peretilor;
folosirea unor materiale (elemente de zidarie si/sau mortar) cu rezistente superioare.
5.3. Proiectarea preliminara a subansamblurilor structurale orizontale (plansee, sarpanta)
(1) La proiectarea preliminara a planseelor se va urmari realizarea lor ca diafragme rigide in plan orizontal tinand seama de rolul lor in ceea ce priveste:
colectarea fortelor de inertie si transmiterea lor la elementele verticale ale structurii;
asigurarea conlucrarii elementelor verticale pentru preluarea fortelor seismice orizontale:
- distributia fortei seismice de nivel intre peretii structurali proportional cu rigiditatea de translatie a fiecaruia;
- retransmiterea catre peretii care dispun de rezerve de capacitate portanta a incarcarile suplimentare care rezulta dupa cedarea peretilor cu capacitate de rezistenta insuficienta;
posibilitatea de adoptare a unor modele de calcul structural simplificate, avand, dupa caz, numai unu sau trei grade de libertate la fiecare nivel.
(2) Rigiditatea planseelor in plan orizontal depinde de:
alcatuirea constructiva a planseului;
dimensiunile si pozitiile golurilor mari in plansee.
(3) Rigiditatea planseelor in plan orizontal va fi superioara rigiditatii laterale a peretilor structurali astfel incat deformabilitatea planseelor sa nu influenteze semnificativ distributia fortei seismice intre elementele structurale verticale.
In cazul planseelor din elemente prefabricate imbinarile vor fi pro-iectate astfel incat comportarea planseului la forte orizontale sa fie cat mai apropiata de cea a planseelor din beton armat monolit iar imbinarile sa ramana in stadiul elastic de comportare pentru solicitarile rezultate din actiunea fortelor corespunzatoare cutremurului de proiectare multiplicate cu coeficientul de comportare 'q'.
5.3.1. Tipul planseului
(1) Planseele cladirilor din zidarie sunt clasificate, din punct de vedere al rigiditatii in plan orizontal, in doua categorii:
plansee rigide in plan orizontal;
plansee cu rigiditate nesemnificativa in plan orizontal.
In conditiile in care nu sunt slabite semnificativ de goluri (a se vedea art. 5.3.2.), sunt considerate 'rigide in plan orizontal planseele care au urmatoarele alcatuiri constructive:
plansee din beton armat monolit sau din predale cu suprabetonare continua cu grosime ³ 60 mm, armata cu plasa de otel beton cu aria ³ 250 mm2 /m (de exemplu, ³ 5Ф8/m);
plansee din panouri sau semi panouri prefabricate din beton armat imbinate pe contur prin piese metalice sudate, bucle de otel beton si beton de monolitizare;
plansee executate din elemente prefabricate de tip 'fasie', cu bucle sau cu bare de legatura la extremitati si cu suprabetonare continua cu grosime ³ 60 mm, armata cu plasa din otel beton cu aria ³ 250 mm2/m (³ 5Ф8/m).
(3) Urmatoarele categorii de plansee sunt considerate cu rigiditate nesem-nificativa, in plan orizontal:
plansee executate din elemente prefabricate de tip 'fasie' cu bucle sau cu bare de legatura la extremitati, fara suprabetonare armata sau cu sapa nearmata cu grosimea ≤ 30 mm;
plansee executate din elemente prefabricate din beton cu dimensiuni mici, sau din blocuri ceramice, cu suprabetonare armata;
plansee din lemn.
(4) De regula, planseele cladirilor din zidarie vor fi proiectate ca plansee 'rigide in plan orizontal'.
(5) Utilizarea planseelor cu rigiditate nesemnificativa in plan orizontal (in particular, planseele din lemn) este permisa numai in conditiile stabilite in Codul P100-1/2006.
(6) Fata superioara a planseelor va avea, de regula, aceeasi cota de nivel pe toata suprafata constructiei, in mod exceptional, pot fi acceptate decalari ale fetei superioare a planseului mai mici decat inaltimea curenta a centurilor (1520 cm).
5.3.2. Pozitionarea golurilor mari in plansee
(1) Pozitiile golurilor de dimensiuni mari in plansee vor fi alese astfel incat sa nu conduca la reducerea rigiditatii si a rezistentei planseelor.
In acest scop, se va evita pozitionarea golurilor la colturile planseelor, in pozitii adiacente fatadelor si/sau alaturarea mai multor goluri.
In cazurile in care slabirea semnificativa a planseelor prin goluri nu poate fi evitata se va tine seama de efectul rigiditatii finite a planseului pentru repartitia fortei seismice totale intre subansamblurile structurale verticale iar rezistenta planseului va fi verificata conform sectiunii 6.5.
5.3.3. Supante. Console
(1) In cladirile curente, la care se refera prevederile prezentului Cod, nu se accepta planseele partiale (supante, dezvoltate numai pe o parte a cladirii), astfel incat, in anumite zone, inaltimea nivelului rezulta egala cu dublul inaltimii nivelului curent.
(2) Consolele care depasesc linia exterioara a peretilor structurali de contur (balcoane, copertine) vor fi amplasate la nivelul planseului curent, eventual cu o denivelare care se incadreaza in limitele de la art. 5.3.1.(6) dar cu asigurarea continuitatii structurale. Consolele vor fi realizate din acelasi material ca si planseul (beton armat sau lemn).
In mod exceptional se accepta amplasarea unor console de beton armat in pozitii intermediare, incastrate in zidarie, cu respectarea urmatoarelor conditii:
deschiderea consolei Lc ≤ 3t unde t este grosimea peretelui in care este incastrata consola;
accesul oamenilor pe consola nu este decat intamplator (pentru intre-tinere);
rezemarea consolei se face pe toata latimea zidului.
In cazul deschiderilor mai mari decat 3t, stabilitatea si rezistenta consolei vor fi asigurate prin elemente de beton armat introduse in grosimea peretelui; in toate cazurile, stabilitatea si rezistenta consolelor si a elementelor de care acestea sunt fixate vor fi verificate prin calcul.
(4) Cladirile cu pereti structurali din zidarie care nu satisfac cerinta de la (1) vor fi considerate cladiri neregulate si proiectarea acestora se va face conform prevederilor de la art. 6.3.2.1.(3).
5.3.4. Sarpante
(1) La proiectarea sarpantelor se va urmari adoptarea unei configuratii cu rigiditate spatiala suficienta, pentru asigurarea indeformabilitatii acestora, pe toate directiile, sub efectul incarcarilor din zapada, vant si cutremur. In cazul incarcarii cu zapada se vor avea in vedere efectele incarcarilor nesimetrice care se pot produce ca urmare a aglomerarii zapezii pe anumite portiuni ale acoperisului.
(2) Stabilitatea generala si locala a sarpantei in ansamblu si a ele-mentelor acesteia sub actiunea vantului vor fi verificate prin calcul pentru fortele stabilite prin Codul NP-082-04 si prin masuri constructive (ancorarea sigura a cosroabelor de structura cladirii, de exemplu).
(3) Schema statica ale sarpantei va fi aleasa astfel incat sa nu rezulte impingeri in elementele de reazem (pereti, atice, calcane, etc), in cazul in care o astfel de schema nu poate fi realizata se vor prevedea elemente structurale suficient de rezistente pentru a prelua impingerile. Rezistenta si rigiditatea acestor elemente vor fi verificate prin calcul.
(4) La reazemele interioare, popii sarpantei vor fi rezemati pe peretii structurali sau pe grinzile planseului peste ultimul nivel. Rezemarea popilor direct pe placa se poate face numai in conditiile in care se verifica prin calcul indeplinirea cerintelor de rezistenta si de rigiditate (cu considerare deformatiilor de lunga durata) pentru placa pe care sunt asezati popii respectivi.
5.4. Proiectarea preliminara a infrastructurii
(1) Infrastructura cladirilor din zidarie este constituita din urmatoarele elemente:
cladiri fara subsol: fundatii, socluri si placa de beton care constituie suportul pardoselii de la parter;
cladiri cu subsol: fundatii, pereti de subsol, placa de beton care constituie suportul pardoselii de la subsol, planseul peste subsol.
(2) Proiectarea preliminara a infrastructurii trebuie sa tina seama de:
marimea fortelor verticale care trebuie transmise la teren;
severitatea actiunii seismice la amplasament;
natura si proprietatile mecanice ale terenului de fundare;
efectele posibile ale apelor subterane.
In faza de proiectare preliminara, infrastructura trebuie sa fie conceputa ca un ansamblu de elemente structurale cu rezistenta si rigiditate spatiala adecvate intensitatii solicitarilor verticale si seismice si caracteristicilor terenului de fundare care sa asigure:
transmiterea la teren a tuturor solicitarilor din sectiunea de incastrare a peretilor, fara producerea deformatiilor postelastice in elementele infra-structurii si/sau in terenul de fundare;
limitarea deformatilor verticale ale cladirii la valori care nu pericliteaza integritatea structurii, a elementelor nestructurale si a bransamentelor la retelele exterioare.
(4) Alcatuirea infrastructurii constructiilor de zidarie va respecta de-asemeni principiile generale date in Codul P10 si in Codul P100-1/2006 precum si prevederile specifice date in continuare.
Fundatii
(1) Fundatiile peretilor structurali din zidarie vor fi continue sub ziduri si pot fi realizate, in functie de marimea eforturilor pe teren, de natura terenului si de adancimea cotei de fundare, ca:
blocuri din beton simplu, cu una sau mai multe trepte;
blocuri de beton simplu si cuzineti din beton armat;
talpi din beton armat.
In cazurile prevazute in Codul P100-1/2006, se pot prevedea si fundatii izolate din beton simplu, legate cu grinzi din beton armat pe ambele directii.
(3) Pentru peretii nestructurali de la subsol, in functie de dimensiunile si de greutatea proprie, se poate alege una din urmatoarele solutii de fundare:
rezemare pe placa de la subsol, daca, din calcul, rezulta ca aceasta are rezistenta si rigiditatea necesare pentru a prelua incarcarile respective in conditiile de siguranta specifice pentru ULS si SLS;
ingrosarea locala a placii de la subsol, pentru obtinerea rezistentei si rigiditatii necesare;
fundarea directa.
Socluri
In cazul constructiilor fara subsol, soclul si fundatiile vor fi, de regula, axate fata de peretii structurali.
(2) Latimea soclului va fi cel putin egala cu grosimea peretelui de la parter pentru a permite preluarea eventualelor abateri de trasare/turnare; se admite o retragere de maximum 5 cm a fetei exterioare a soclului in raport cu planul zidariei de la parter.
(3) Soclul se va executa, de regula, din beton armat.
In cazul amplasamentelor cu teren normal de fundare, soclul poate fi executat din beton simplu numai in conditiile stabilite prin Codul P100-1/2006.
Pereti de subsol
(1) Peretii de subsol vor fi dispusi, de regula, axat, sub toti peretii struc-turali din parter.
(2) Peretii de subsol se vor realiza, de regula, din beton armat.
(3) In cazul amplasamentelor pe teren normal de fundare, peretii de subsol pot fi executati din beton simplu in conditiile stabilite prin Codul P100-1/2006, si cu realizarea masurilor constructive date in Capitolul 7 din prezentul Cod.
(4) Grosimea peretilor de subsol se va stabili, prin calcul, pentru sa-tisfacerea cerintei de rezistenta sub efectul incarcarilor verticale, al incarcarilor provenite din actiunea seismica si al impingerii pamantului, in cazul peretilor de pe conturul subsolului. Totodata grosimea peretilor de subsol va permite preluarea eventualelor abateri de executie pentru a se evita incarcarea acestora cu excentricitati importante.
(5) Se va urmari ca rigiditatea subsolului sa fie superioara rigiditatii nive-lurilor supraterane. In acest scop se recomanda adoptarea urmatoarelor masuri de conformare generala, arhitectural-stucturaia, a subsolului:
numarul si dimensiunile golurilor in peretii subsolului vor fi reduse la strictul necesar din punct de vedere functional;
golurile de usi si ferestre din peretii de subsol vor fi amplasate, in plan, in pozitii decalate fata de golurile de la parter astfel incat sa se evite crearea unor zone slabite in perete; in cazul in care aceasta rezolvare nu este posibila, dimensiunile golurilor de la subsol vor fi mai mici decat cele de la parter, sectiunea plinurilor va fi sporita iar zonele slabite vor fi verificate prin calcul;
in cazul cladirilor cu pereti dispusi in sistem 'celular', in zonele cu acceleratia seismica de proiectare ag ≥ 0.24g, se recomanda sporirea rigiditatii subsolului prin introducerea unor pereti suplimentari, in limita posibilitatilor rezultate din planurile de arhitectura.
In cazul amplasamentelor pe terenurile dificile de fundare (PSU, PUCM), dispunerea si alcatuirea peretilor de subsol se va face conform reglementarilor specifice mentionate la art. 5.1.5(2).
5.4.4. Plansee la infrastructura
In cazul cladirilor fara subsol, placa suport a pardoselii de la parter se va executa din beton armat, inclusiv in cazul in care, conform prevederilor de la art.5.3.1.(5), planseele nivelurilor supraterane pot fi cu rigiditate nesemnificativa in plan orizontal.
Aceasta placa va fi legata monolit cu soclurile cladirii constituind o legatura rigida in plan la nivelul fundatiilor.
In cazul cladirilor cu subsol, indiferent de natura terenului de fundare, placa planseului peste subsol va avea cel putin aceeasi grosime ca si placile etajelor supraterane.
In cazul cladirilor cu subsol, amplasate pe terenuri de fondare dificile, placa suport a pardoselii subsolului se va executa din beton armat, legata de talpile de fundatie; solutia este recomandata si pentru cladirile fundate pe teren normal, situate in zonele seismice cu ag≥ ≥0.24g. Aceasta placa va fi deasemeni executata din beton armat daca trebuie sa suporte pereti nestructurali in conditiile de la art. 5.4.1 (3).
CAPITOLUL 6. CALCULUL CLADIRILOR CU PERETI STRUCTURALI DlN ZIDARIE
Principii generale de calcul
(1) Zidaria este un material neomogen, anizotrop si caracterizat de comportare inelastica chiar pentru niveluri reduse de solicitare. Rea-lizarea unui model de calcul care sa ia in considerare toate aceste particularitati si, in acelasi timp, sa poata fi aplicat cu usurinta in pro-iectarea curenta este practic imposibila.
(2) Pentru proiectarea structurilor cladirilor curente, definite la 1.1. (5), determinarea eforturilor si deformatiilor in elementele de zidarie, se poate face utilizand un model de calcul, suficient de precis, bazat pe urmatoarele ipoteze simplificatoare:
i. zidaria este un material presupus omogen, izotrop si cu raspuns elastic pana in stadiul ultim;
ii. caracteristicile sectionale ale peretilor de zidarie se determina pentru sectiunea bruta (nefisurata);
iii. pentru aplicatiile curente, rezultatele calculelor obtinute prin modelele bazate pe ipotezele i si ii se afecteaza cu factori de corectie stabiliti astfel incat sa se obtina o concordanta cat mai buna cu datele rezultate din incercari.
(3) Modelul de calcul pentru determinarea eforturilor sectionale si a rezistentei de proiectare a peretilor (elementelor) de zidarie trebuie sa reprezinte in mod adecvat proprietatile de rezistenta, de rigiditate si de ductilitate ale intregului sistem structural.
Calculul structurilor la incarcari verticale
6.2.1. Modelul de calcul pentru incarcari verticale
(1) Peretii structurali din zidarie sunt elemente verticale ale suprastructurii cladirii care preiau, in principal, incarcarile de tip gravitational aduse de plansee si le transmit terenului de fundare prin intermediul infrastructurii.
(2) Pentru calculul sub actiunea incarcarilor verticale, peretii structurali sunt considerati console rezemate la nivelul planseului peste subsol (in cazul cladirilor cu subsol) sau la fata superioara a fundatiilor (in cazul cladirilor fara subsol).
(3) Peretii din zidarie pot fi solicitati, simultan cu incarcarile verticale, si de incercari orizontale, cu caracter local, care actioneaza perpendicular pe planul peretelui:
incarcari din actiunea cutremurului, pentru toti peretii structurali si nestructurali;
incarcari date de presiunea vantului, pentru peretii exteriori din elevatia cladirii;
incarcari date de impingerea pamantului, pentru peretii de contur de la subsol (aceste incarcari vor include si eventualele suprasarcini pe terenul din imediata vecinatate a cladirii);
forte datorate irnpingerilor produse de bolti, arce, sau sarpante;
incarcari de exploatare (mobiler sau echipamente/instalatii suspendate pe console, impingerea oamenilor in spatii aglomerate, etc.).
(4) Modelul de calcul trebuie sa tina seama de:
particularitatile modului de aplicare a incarcarilor verticale;
excentricitatile corespunzatoare momentelor incovoietoare produse de incarcarile orizontale perpendiculare pe planul peretelui mentionate la (3);
zveltetea peretelui.
Metode de calcul pentru incarcari verticale
6.2. 2.1 .Determinarea fortelor axiale de compresiune in peretii structurali
(1) Forta axiala de compresiune intr-o sectiune de calcul a unui perete structural se compune din:
suma incarcarilor aplicate pe zonele aferente ale planseelor aflate peste nivelul sectiunii de calcul;
greutatea proprie a portiunii de perete aflata peste nivelul sectiunii de calcul.
In cazul planseelor alcatuite din placi de beton armat care transmit incarcarile pe doua directii, indiferent de tehnologia de realizare (monolit, prefabricat din panouri mari, mixt-predale cu suprabetonare), peretii preiau incarcarile aplicate pe portiunile de placa aferente, determinate de bisectoarele unghiurilor formate de laturile placilor (l1≤l2). Aceste incarcari se considera uniform distri-buite pe lungimea peretelui respectiv la care, in cazul peretilor cu goluri de usi si/sau ferestre se adauga cate ½ din latimea golurilor care marginesc peretele.
In cazul peretilor in forma complexa T,L,I, se considera ca, prin lega-tura creata prin teserea zidariei sau prin stalpisorii de beton de la intersectii sau ramificatii, se realizeaza o distributie uniforma a intensitatii fortelor de compresiune pe intreaga suprafata a peretelui (figura 6.1a).
In cazul planseelor de beton armat care descarca pe o singura directie (fasii pline sau cu goluri) sau in cazul planseelor cu grinzi metalice sau din lemn, se considera ca incarcarile se transmit atat peretilor pe care acestea reazema cat si zonelor active la compresiune ale peretilor transversali (talpiIor) (figura 6.1b).
Lungimea zonelor active ale talpilor se determina conform 6.3.1.(3).
(4) Pentru incarcarile concentrate sau pentru incarcarile distribuite aplicate numai pe anumite zone ale peretelui se admite ca repartizarea eforturilor in perete se face dupa linii inclinate la 30 fata de verticala ca in figura 6.2a. In cazul peretilor cu goluri traseul de descarcare se modifica conform figurii 6.2b.
In situatiile curente se admite ca rezultanta incarcarilor verticale se aplica in centrul de greutate al sectiunii active a peretelui. In cazul in care distanta dintre centrul de greutate al incarcarilor verticale si centrul de greutate al sectiunii orizontale a peretelui este relativ importanta (cazul cladirilor cu balcoane/bowindow-uri pe o singura latura a cladirii, de exem-plu) si daca efectul excentricitatilor nu se echilibreaza pe ansamblul struc-turii, este necesar sa se evalueze eforturile suplimentare rezultate din aceasta situatie.
Determinarea excentricitatilor de aplicare a incarcarilor verticale
In cladirile din zidarie, incarcarile verticale aduse de plansee consi-derate, de regula, ca se transmit catre fundatii ca forte axiale in pereti, sunt asociate, in realitate, unor excentricitati care provin din mai multe surse:
alcatuirea constructiva a structurii., care poate implica deviatii ale fluxului fortelor verticale de la un nivel Ia. altul;
existenta unor imperfectiuni de executie., inevitabile - in anumite limite - in practica curenta, in ceea ce priveste geometria structurii, ornogenitatea materialelor structurii, pozitiile relative ale subansamblurilor/elementelor structurii;
efectele unor incercari cu caracter local, de intensitate mai mica, dar nu neglijabila, decat cea a incarcarilor permanente sau fortelor seismice.
(2) Efectele acestor excentricitati se concretizeaza in momente incovo-ietoare suplimentare, care solicita peretele perpendicular pe planul de rezistenta/rigiditate maxime si care, in anumite conditii pot periclita rezistenta si stabilitatea peretelui.
In calculele curente de dimensionare/verificare, efectele excen-tricitatilor, din toate categoriile mentionate mai sus, se introduc prin coeficienti de reducere a capacitatii teoretice de rezistenta calculata pen-tru incarcarile idealaxiale.
6.2.2.2.1. Excentricitati provenite din alcatuirea structurii.
(1) Excentricitatile provenite din alcatuirea structurii se produc in zonele in care se produce transferul fortelor verticale de la un etaj la altul si se datoreaza :
suprapunerii excentrice pe verticala a peretilor Ia etajele adiacente;
rezemarii excentrice a planaeelor pe perete;
rezemaril pe perete a unor plansee cu deschideri si incarcari diferite.
(2) Momentele incovoietoare rezultate din excentricitatile mentionate la (1) variaza liniar pe inaltimea peretelui intre valoarea maxima la partea superioara a peretelui si zero, la partea inferioara a peretelui.
(3) Excentricitatea datorata tuturor incarcarilor verticale aplicate peste nivelul de calcul, provenita din modul de alcatuire a structurii, se determina cu relatia:
(6.1)
unde: N1 - incarcarea transmisa de peretele de la etajul superior;
d1 - excentricitatea cu care este aplicata incarcarea N1;
N2 - incarcarile aduse de planseul/planseele care reazema direct pe perete;
d2 - excentricitatile cu care sunt aplicate incarcarile N2.
Excentricitati datorate imperfectiunilor de executie (excentricitate accidentala)
(1) Excentricitatea accidentala a fortelor verticale (ea) poate fi cauzata de urmatoarele categorii de imperfectiuni de executie:
deplasarea relativa a planurilor mediane ale peretilor de la doua niveluri adiacente;
abaterile de la valoarea nominala a grosimii peretilor;
abaterile de la pozitia verticala a peretelui;
neomogenitatea materialelor.
In calcule, excentricitatea accidentala se va introduce cu cea mai mare dintre valorile:
(6.2a)
(6.2b)
unde:
t - grosimea peretelui;
het - inaltimea etajului.
Excentricitatea datorata momentelor incovoietoare produse de fortele orizontale perpendiculare pe planul peretelui
(1) Pentru determinarea excentricitatii de calcul, momentele incovoietoare Mhm(i) produse de fortele orizontale din vant sau cutremur pot fi calculate simplificat cu relatia (6.8) de la 6.4.2.
(2) Excentricitatea fortei verticale corespunzatoare momentelor Mhm(i) este data de relatia:
(6.3.)
unde:
N1 - incarcarea transmisa de peretele superior;
ΣN2 - suma reactiunilor planseelor care reazema pe peretele care se verifica.
6.3. Calculul structurilor din zidarie la incarcari orizontale.
(1)Tinand seama de inaltimea redusa a cladirilor din zidarie pentru care, in toate zonele seismice, fortele provenite din actiunea vantului sunt inferioare fortelor seismice, verificarea structurilor din zidarie la actiunea vantului in planul peretilor nu este necesara.
Incarcarile din vant vor fi luate in considerare numai pentru:
calculul excentricitatii fortei verticale datorate momentelor incovoietoare date de actiunea vantului perpendicular pe fatada (conform 6.2.2.2.3)
calculul sarpantelor;
verificarea rezistentei si rigiditatii fatadelor din sticla de mari dimensiuni.
(3) In cazul cladirilor etajate din zidarie care constituie obiectul pre-zentului Cod se vor lua in considerare numai fortele orizontale provenite din actiunea seismica. Pentru cladirile tip 'sala/hala' componenta verticala a actiunii seismice se va lua in calcul pentru structura acoperisului in conditiile prevazute in Codul P100-1/2006.
6.3.1. Modelul de calcul pentru forte seismice orizontale.
(1) Suprastructura cladirii se va modela prin subansambluri structurale verticale dispuse pe directiile principale, constituite din pereti plini sau cu goluri, legate prin plansee orizontale.
(2) Sectiunea de incastrare a ansamblului peretilor structurali pentru cal-culul la forte orizontale (in raport cu care se defineste numarul de niveluri nniv) se va lua:
la nivelul superior al soclurilor, in cazul cladirilor fara subsol;
la planseul peste subsol, la cladirile cu pereti desi (sistem fagure) sau la cele cu pereti rari (sistem celular) la care s-au prevazut pereti suplimentari in subsol conform recomandarii de la 5.4.3 (4);
peste nivelul fundatiilor la cladirile cu pereti rari, daca nu se prevad pereti suplimentari in subsol conform recomandarii de la 5.4.3.(4).
(3) Peretii activi de pe fiecare directie a cladirii, participanti la preluarea fortelor seismice se delimiteaza considerand, in cazul sectiunilor compuse (L,T,I), lungimile talpilor active egale cu grosimea peretelui la care se adauga, de fiecare parte a inimii, cea mai mica dintre valorile:
in zona comprimata:
htot/5 - unde htot este inaltimea totala a peretelui structural considerat;
½ din distanta intre peretii structurali care sunt legati cu un perete transversal;
- distanta pana la capatul peretelui transversal de fiecare parte a inimii;
- ½ din inaltimea libera a peretelui (h).
in zona intinsa:
- 3/4 din inaltimea libera a peretelui (h);
- distanta pana la capatul peretelui transversal de fiecare parte a inimii.
(4) Golurile din talpi cu dimensiunea maxima ≤ h/4 pot fi neglijate iar golurile cu dimensiune > h/4 vor fi considerate margini ale talpii.
(5) Pentru determinarea eforturilor seismice de proiectare din peretii structurali se utilizeaza modele de calcul care descriu comportarea structurii la actiunea dinamica a cutremurului.
In acest scop, modelul structural trebuie sa schematizeze cat mai exact urmatoarele elemente:
alcatuirea generala structurii:
- geometria de ansamblu si a fiecarui subansamblu in parte;
- legaturile intre subansamblurile structurale si legaturile dintre compo-nentele fiecarui subansamblu;
- proprietatile mecanice relevante ale materialelor;
distributia maselor de nivel, in plan si pe inaltimea cladirii;
caracteristicile de rigiditate stabilite conform (8) sau (9) si capacitatea de amortizare.
(6) Constructiile etajate, cu plansee din beton armat rigide in planul lor (conform 5.3.1.), se modeleaza ca sisteme elastice cu trei grade de libertate dinamica (doua translatii orizontale si o rotire in jurul axei verticale) pentru fiecare nivel.
In cazul cladirilor cu regularitate structurala, pozitiile 1 si 2 din tabelul 5.1, pentru determinarea valorilor eforturilor seismice de proiectare care actioneaza in planul fiecarui perete, calculul se poate face considerand doua modele plane constituite, fiecare, din totalitatea peretilor structurali de pe una din directiile principale, in acest caz, pentru cladirile cu plansee rigide in plan orizontal, fiecare model plan constituie un sistem dinamic elastic cu un singur grad de libertate la fiecare nivel (translatie in planul peretilor).
Se considera ca forta seismica actioneaza succesiv si independent pe fiecare din directiile principale iar raspunsurile seismice astfel obtinute nu se suprapun. Eventualele eforturi suplimentare provenite din efectele torsiunii de ansamblu pot fi evaluate prin procedee simplificate si adaugate eforturilor determinate pe fiecare din modelele plane (acest procedeu este dat in Codul P100-1/2006, art.4.5.3.24.)
In cazul cladirilor la care peretii nu sunt dispusi pe doua directii ortogonale in plan fortele seismice vor fi considerate ca actionand pe directiile principale ale sistemului de pereti.
(8) Pentru cladirile care nu prezinta regularitate structurala, pozitiile 3 si 4 din tabelul 5.1, modelul de calcul folosit va tine seama de caracterul spatial al actiunii seismice si al raspunsului structurii.
(9) Rigiditatea elementelor structurale trebuie sa fie evaluata luand in considerare atat deformabilitatea din incovoiere cat si cea din forfecare si, daca este cazul, deformabilitatea axiala. Pentru calcule se poate folosi rigiditatea elastica a zidariei nefisurate.
(10) Daca se urmareste o evaluare mai precisa a deplasarilor, in calcule se poate folosi rigiditatea zidariei fisurate pentru a tine seama de influenta fisurarii asupra deformabilitatii, in absenta unor evaluari mai exacte, rigiditatile de incovoiere si de forfecare ale zidariei fisurate vor fi luate egale cu jumatate din rigiditatea elastica a sectiunii intregi de zidarie nefisurata.
(11) Rigiditatea riglelor de cuplare din beton armat se va lua in calcul cu valorile folosite, in mod curent, pentru calculul cladirilor cu pereti structurali din beton armat.
(12) Ïn modelul de calcul pentru peretii cu goluri din zidarie nearmata nu se va tine seama de efectul riglelor de cuplare. Acestea vor fi armate constructiv, dar astfel incat cedarea riglei prin incovoiere sa preceada:
cedarea riglei prin forta taietoare;
cedarea reazemului (montantului) prin zdrobirea locala a zidariei.
6.3.2. Metode de calcul pentru forte orizontale
(1) Pentru calculul cladirilor din zidarie la incarcari orizontale, provenite in situatiile curente din actiunea seismica, se folosesc metode simplificate de calcul in care se admite comportarea liniar elastica a materialelor, in paragrafele urmatoare se dau precizari pentru folosirea acestor metode in concordanta cu prevederile Codului P100-1/2006.
(2) Pentru evaluarea si validarea unor alcatuiri arhitectural-structurale care nu respecta in totalitate recomandarile din Cap.5 al Codului pot fi folosite procedee de calcul care iau in considerare comportarea postelastica a peretilor structurali de zidarie.
Aplicarea acestor metode implica, in prealabil, dimensionarea completa a structurii prin procedee de calcul elastic (inclusiv stabilirea armarilor din stalpisori, centuri, rigle de cuplare si din rosturile orizontale ale zidariei).
(3) Procedeul de calcul static neliniar (calcul 'biografic'), urmareste, pe masura sporirii incarcarilor laterale, evolutia nivelurilor de solicitare atinse de peretii structurali (montanti si, dupa caz, rigle de cuplare) pana la iesirea succesiva din lucru a acestora.
Aplicarea procedeului, fara suportul unui program de calcul specializat, este dificila deoarece implica modificarea schemei statice a ansamblului dupa iesirea din lucru a fiecarui perete. Capacitatea ultima a structurii se considera atinsa atunci cand s-a produs arti-cularea plastica a montantilor care, impreuna, preiau cel putin 15% din forta seismica totala capabila a cladirii.
(4) Folosirea procedeelor de calcul dinamic neliniar nu este justificata pentru cladirile cu pereti structurali din zidarie.
6.3.1.1. Calculul fortelor seismice orizontale pentru ansamblul cladirii
(1) Pentru cladirile cu regularitate structurala (pozitiile 1 si 2 din tabelul 5.1) calculul fortelor seismice pentru cladire se va face cu metoda fortelor laterale asociate modului de vibratie fundamental descrisa in paragraful 4.5.3.2.2. din Codul P 100-1/2006.
In aceasta metoda, caracterul dinamic al actiunii seismice este reprezen-tat in mod simplificat prin forte statice (metoda statica echi-valenta).
Distributia fortei seismice totale pe inaltimea cladirii se va face, consi-derand comportarea elastica a structurii, conform paragrafului 4.5.3.2.3. din P100-1/2006 iar efectele torsiunii de ansamblu vor fi luate in considerare conform paragrafului 4.5.3.2.4. din P100-1/2006.
In cazul cladirilor cu regularitate structurala care au peste planseul ultimului nivel proeminente (constructii de mici dimensiuni) care se incadreaza in conditiile de la 5.1.5.(9), calculul fortelor seismice se va conduce dupa cum urmeaza:
i. Forta taietoare de baza (Fb) pentru intreaga cladire (cu masa totala m) se va calcula ca la (1) considerand ca masa proeminentei (mp) se adauga masei ultimului nivel.
ii. Forta taietoare de baza (Fp) aferenta masei proeminentei (mp) se va determina considerand ca aceasta este o constructie independenta, cu un singur grad de libertate, asezata pe teren, cu relatia:
(6.4.)
(3) Pentru cladirile care nu au regularitate structurala (pozitiile 3 si 4 din tabelul 5.1), fortele seismice pentru ansamblul cladirii se vor determina cu metoda de 'calcul modal cu spectre de raspuns' descrisa in paragraful 4.5.3.3. din Codul P100-1/2006.
Daca aceste cladiri au o proeminenta la ultimul etaj, structura acesteia va fi introdusa in modelul general de calcul pentru cladirea principala, chiar daca se incadreaza in conditiile de la 5.1.5. (9).
(4) Pentru toate tipurile de cladiri, factorii de comportare 'q' pentru structurile de zidarie, se stabilesc in functie de tipul zidariei si de grupa de regularitate a constructiei conform Codului P 100-1/2006.
(5) Pentru calculul fortelor seismice se va tine seama de coeficientii de suprarezistenta (αu/α1) ai structurilor din zidarie definiti in Codul P100-1/2006, care au in vedere, rezervele de rezistenta structurala a cladirilor etajate cu pereti structurali din zidarie. Aceste rezerve provin, de regula, din mai multe surse: redundanta sistemului structural (articulatiile plastice de la baza montantilor nu se produc simultan), suprarezistenta armaturilor, efectele favorabile ale unor masuri constructive, etc.
In cazul peretilor cu goluri de usi si/sau ferestre, plinurile de zidarie (sub/peste nivelul planseului-buiandrugi si/sau parapeti) pot fi considerate, in modelul de calcul, ca grinzi de cuplare intre doua elemente de perete daca acestea sunt tesute efectiv cu montantii alaturati si daca sunt legate atat cu centura planseului cat si cu buiandrugul de beton armat de sub zidarie (daca acesta este separat de centura planseului).
(7) Daca sunt indeplinite conditiile de la (6), sau daca riglele de cuplare sunt integral din beton armat, se poate folosi un calcul de cadru pentru determinarea efectelor actiunilor verticale si seismice in montanti si in grinzile de cuplare.
6.3.2.2. Calculul eforturilor sectionale in peretii structurali
(1) Distributia fortei totale intre peretii structurali rezulta din modelul de calcul.
(2) Pentru constructiile cu plansee rigide in plan orizontal, forta seismica de proiectare pentru ansamblul constructiei, calculata conform 6.3.2.1., se distribuie peretilor structurali proportional cu rigiditatea laterala a fiecaruia determinata pe baza principiilor din Codul P100-1/2006.
(3) Pentru constructiile cu plansee cu rigiditate nesemnificativa in plan orizontal, forta seismica de proiectare pentru ansamblul constructiei, calculata conform 6.3.2.1., se distribuie peretilor structurali proportional cu masa aferenta fiecaruia.
(4) Fortele taietoare de baza pentru peretii structurali determinate prin calculul liniar elastic, conform 6.3.1.(8), pot fi redistribuite intre peretii de pe aceeasi directie, cu conditia ca echilibrul global sa fie satisfacut si ca forta taietoare in oricare perete sa nu fie redusa/sporita cu mai mult de 20%.
In cazul peretilor cu sectiune compusa (I,T,L) forta de lunecare verticala in sectiunea dintre inima si talpa (Lv,et) se calculeaza, pentru un etaj, cu relatia :
(6.5.)
unde:
ΔM = Minf-Msup cu:
- Minf - momentul incovoietor de proiectare in sectiunea de la baza etajului pentru care se calculeaza lunecarea;
- Msup - idem, in sectiunea de la baza etajului superior;
Si - momentul static al sectiunii ideale a talpii fata de centrul de greutate al sectiunii ideale a peretelui;
Ii - momentul de inertie al sectiunii ideale a peretelui.
Caracteristicile geometrice ale sectiunii ideale (Si si Ii) se determina folosind coeficientul de echivalenta nech dat de relatia (6.2.4).
(6) Pentru determinarea eforturilor sectionale (N,M,V) in elementele structurii si pentru determinarea deplasarilor laterale ale acesteia poate fi folosit orice program de calcul bazat pe principiile recunoscute ale mecanicii structurilor.
6.3.2.3. Calculul deformatiilor si deplasarilor laterale in planul peretelui
(1) Calculul deformatiilor si deplasarilor laterale ale peretilor de zidarie sub efectul fortelor laterale aplicate in planul lor se va efectua tinand seama de deformatiile specifice de incovoiere si de forfecare si, daca sunt relevante, de deformatiile specifice axiale.
(2) Calculul deformatiilor si deplasarilor laterale se va face cu relatiile curente ale staticii constructiilor, tinand seama de conditiile de fixare de la extremitatile peretelui.
(3) Pentru calculul deformatiilor si deplasarilor laterale ale peretilor de zidarie sub actiunea fortelor seismice de proiectare se vor folosi:
pentru zidaria nearmata (ZNA) :
- caracteristicile geometrice ale sectiunii nefisurate de zidarie;
- ½ din valoarea modulul de elasticitate secant de scurta durata al zidariei (Ez) determinat conform prevederilor de la 4.1.2.2.1. (2) sau cu valoarea data in tabelul 4.9, in functie de rezistenta caracteristica la compresiune a zidariei (fk);
- ½ din valoarea modulului de elasticitate transversal calculat cu relatia (4.9);
pentru zidaria confinata (ZC) si pentru zidaria cu inima armata (ZIA):
- caracteristicile geometrice ale sectiunii nefisurate de zidarie si de beton;
- ½ din valoarea modulului de elasticitate longitudinal echivalent, de scurta durata, (Ezc(ZIA)) calculat cu relatia (4.7);
½ din valoarea modulului de elasticitate transversal echivalent (Gzc(ZIA)) calculat cu relatia (4.10).
NOTA. In cazul peretilor cu sectiune compusa (L,T,I), dimensiunile talpilor introduse in calculul caracteristicilor geometrice se vor lua conform 6.3.1.(3).
6.4. Calculul peretilor structurali si nestructurali la incarcari orizontale perpendiculare pe planul peretelui.
(1) Incarcarile orizontale care pot actiona perpendicular pe planul peretilor din zidarie sunt cele mentionate la 6.2.1.(3).
(2) Valorile de proiectare ale fiecarei categorii de forte care actioneaza perpendicular pe planul peretelui se vor lua din reglementarile specifice respective.
6.4.1. Modele de calcul pentru incarcari perpendiculare pe planul peretelui
(1) Pentru calculul momentelor incovoietoare sub efectul incarcarilor perpendiculare pe planul lor peretii se modeleaza ca placi elastice reze-mate, sus si jos, pe planseele etajului respectiv si, lateral, pe peretii de rigidizare (perpendiculari pe planul peretelui considerat).
In cazul peretilor de subsol, pentru calculul momentului incovoietor dat de impingerea pamantului, peretele va fi considerat articulat sau incastrat la nivelul fundatiei (in functie de rezolvarea constructiva adoptata) si incastrat elastic la nivelul planseului peste subsol.
6.4.2. Metode de calcul pentru incarcari perpendiculare pe planul peretelui
(1) Pentru panourile de zidarie fara goluri de usi sau ferestre, momentele incovoietoare de proiectare produse de fortele perpendiculare pe planul peretelui (MSxd1 si MSxd2) pot fi calculate, in absenta unei metode mai exacte (de exemplu, cu elemente finite) folosind relatiile cunoscute din teoria placilor elastice. Conditiile de margine vor fi stabilite in functie de legaturile efective de rezemare/ fixare de la extremitatile panourilor.
In cazul panourilor cu goluri, pentru calculul momentelor incovoietoare de proiectare, panourile vor fi divizate in semipanouri care pot fi calculate folosind regulile de la panourile plin asa cum este exemplificat in figura 6.6 (luand ca document normativ de referinta EN 1996-1-1)
(3) Forta seismica de proiectare perpendiculara pe planul peretilor va fi calculata conform Codului P 100-1/2006, cap 10. Greutatea de calcul a peretelui va include si greutatea in exploatare a mobilierului sau altor echipamente sau instalatii suspendate de perete (de exemplu, rafturi de biblioteca inclusiv cartile, bilere si sisteme de conducte inclusiv apa continuta, etc.).
(4) Pentru simplificare, momentele incovoietoare maxime pot fi de-terminate, negljand efectul reazemelor laterale, ca pentru o fasie verticala continua in dreptul planseelor. Se accepta ca momentele incovoietoare in dreptul planseelor (Mhi) si Ia mijlocul inaltimii eta-jului (Mhm) sunt egale si se vor calcula cu relatia:
(6.6)
unde:- pentru incarcarea orizontala din vant ph este forta uniform distribuita, aferenta fasiei respective;
- pentru incarcarile orizontale din cutremur, ph este forta medie pe inaltimea etajului respective calculata conform Codului P100-1/2006, Cap.10.
6.5. Calculul planseelor
(1) Planseele cladirilor din zidarie se dimensioneaza pentru:
incarcari verticale, permanente si de exploatare;
incarcari orizontale care actioneaza in planul median al planseului.
(2) Proiectarea planseelor din beton armat pentru incarcari verticale se va face luand ca document normativ de referinta STAS 10107/14.
(3) Proiectarea planseelor din lemn pentru incarcari verticale se va face luand ca document normativ de referinta NP 019-1997 si NP 005-2003.
(4) Proiectarea planseelor de beton armat la incarcari orizontale are ca scop asigurarea capacitatii de rezistenta si a rigiditatii necesare pentru ca planseul sa poata fi considerat diafragma rigida in plan orizontal.
(5) Verificarea rezistentei si rigiditatii planseelor la forte orizontale este necesara pentru urmatoarele categorii de cladiri din zidarie:
cladiri etajate cu pereti rari (sistem celular);
cladiri tip 'sala/hala', pentru planseul de acoperis;
cladiri etajate cu goluri mari in plansee;
cladiri plansee prefabricate ( pentru verificarea capacitatii imbinarilor).
In cazul cladirile cu pereti desi (sistem fagure) verificarea planseelor din beton armat la forte orizontale nu este necesara.
6.5.1.ModeluI de calcul
(1) La cladirile cu forme simple in plan, care pot fi inscrise, aproximativ, intr-un dreptunghi, pentru calculul eforturilor sectionale (forte taietoare si moment incovoietor) provenite din fortele seismice orizontale, planseul va fi considerat ca grinda continua, rezemata pe peretii structurali. In acest caz calculul eforturilor sectionale in plan-seu se va face conform 6.5.2.
(2) Pentru proiectarea planseelor cu alcatuiri complicate (cu forme neregulate si cu goluri relativ mari, etc) si pentru proiectarea planseelor in structuri cu neregularitati (lipsa de uniformitate) in plan si pe verticala se vor utiliza modelele si metode de calcul care pot sa evidentieze suficient de exact comportarea acestora la incarcari verticale si la cutremur (in particular, efectul rigiditatii planseelor asu-pra distributiei fortelor seismice intre peretii structurali si efectul cedarii premature a unor pereti).
6.5.2.Metoda de calcul
In conditiile de la 6.5.1(1) forta totala de calcul pentru un planseu este egala cu forta seismica aplicata la nivelul respectiv. In mod simplificat, aceasta forta se poate considera distribuita liniar pe lungimea planseului, cu rezultanta trecand prin centrul de rigiditate al structurii de la nivelul respectiv.
In aceasta ipoteza valorile extreme ale fortei pmax/min care actioneaza asupra planseului sunt:
(6.7)
unde :
Sniv - forta seismica de proiectare aplicata la nivelul planseului respectiv;
dRG - distanta intre centrul de greutate al planseului (G) si centrul de rigiditate (R);
L - dimensiunea cladirii perpendicular pe directia de calcul.
(2) Reactiunea din sectiunea de rezemare a planseului pe un perete structural (Fi) se poate lua proportionala cu suma capacitatilor de re-zistenta la forta taietoare a tuturor montantilor peretelui respectiv (ΣVRdi):
(6.8.)
unde:
vr - capacitatea de rezistenta la forta taietoare a cladirii pe directia de calcul.
(3) Momentul incovoietor M si forta taietoare T in planseu se determina din conditiile de echilibru static sub efectul incarcarii p si al reactiuniilor Fi.
In cladirile cu regularitate structurala, care au toate planseele identice si la care forta seismica este distribuita liniar pe inaltime, verificarea se va face numai la ultimul nivel, unde Sniv are valoarea maxima.
6.6. Calculul rezistentei de proiectare a peretilor de zidarie
6.6.1.Conditii generale de calcul
6.6.1.1.Modelul de calcul.
(1) Modelul de calcul pentru determinarea rezistentei de proiectare a peretilor (elementelor) de zidarie trebuie sa tina seama de:
geometria peretelui;
conditiile de rezemare pe contur ale peretelui;
conditiile particulare de aplicare a incarcarilor;
proprietatile de rezistenta si de deformabilitate ale zidariei;
conditiile probabile de executie.
(2) Datele privind geometria peretelui se refera la:
forma sectiunii transversale;
raportul inaltime / grosime;
existenta unor zone slabite (slituri, nise,etc).
(3) Conditiile de rezemare pe contur se refera la:
modul de fixare la nivelul planseelor;
modul de fixare laterala;
efectele golurilor asupra conditiilor de rezemare.
(4) Conditiile particulare de aplicare a incarcarilor se refera la:
excentricitatile de aplicare rezultate din alcatuirea constructiva;
excentricitatile rezultate din imprecizia de executie (inclusiv din neuniformitatea proprietatilor materialelor);
efectele incarcarilor de lunga durata.
(5) Proprietatile de rezistenta si deformabilitate se refera la:
legea constitutiva a zidariei σ-ε;
proprietatile reologice ale zidariei;
compatibilitatea deformatiilor specifice ultime ale zidariei si betonului (in cazul cladirilor din zidarie armata - ZC, ZC+AR, ZIA).
(6) Rezistenta de proiectare a peretilor structurali se determina pentru:
a.) solicitarile sectionate datorate sistemelor de forte care actioneaza in planul median al peretelui:
forta axiala (NRd);
moment incovoietor (MRd);
forta taietoare (VRd);
forta de lunecare verticala in peretii cu sectiuni compuse (VLhd);
b.) solicitarile sectionale datorate fortelor care actioneaza perpendicular pe planul median al peretelui:
moment incovoietor in plan paralel cu rosturilor orizontale (MRxd1);
moment incovoietor in plan perpendicular pe rosturile orizontale (MRxd2).
(7) Pentru calculul rezistentei de proiectare a peretilor structurali se vor folosi caracteristicile geometrice ale peretilor si rezistentele de proiectare ale materialelor stabilite conform paragrafelor urmatoare.
6.6.1.2. Ipoteze de calcul
(1) Rezistenta de proiectare a peretilor de zidarie se determina in raport cu starea limita ultima (ULS) si, in cazurile special mentionate in text, in raport cu starea limita de serviciu (SLS).
In conditiile simplificatoare mentionate la 6.1.1.(2), determinarea
eforturilor si deformatiilor din elementele de zidarie, se face pe baza
urmatoarelor ipoteze:
ipoteza sectiunilor plane;
rezistenta la intindere a zidariei pe directie perpendiculara pe rostul orizontal este nula;
relatia efort unitar - deformatia specifica este dreptunghiulara pentru calculul la starea limita ultima (ULS);
relatia efort unitar deformatia specifica este triunghiulara pentru calculul la starea limita de serviciu (SLS).
NOTA .Ipoteza de la (2) privind relatia efort unitar-deformatie specifica de forma dreptunghiulara se aplica numai daca legea constitutiva a zidariei σ-ε are forma din figura 4.3. Pentru zidariile care au o alta forma a relatiei σ-ε se aplicγ prevederile de la 4.1.2.1.(4).
6.6.1.3.Caracteristici geometrice ale sectiunii orizontale a peretelui
(1) Dimensiunile sectiunii transversale a peretilor de zidarie, folosite pentru calcul, sunt dimensiunile 'nete' (perete netencuit) care satisfac:
conditiile minime de lungime de la 5.2.5.(6);
conditiile minime de grosime de la 5.2.6. (2) si (3);
conditiile maxime de lungime a talpilor active de la 6.3.1.(3).
(2) Peretii cu goluri cu dimensiunea maxima £ 0.2 lw pot fi considerati in calcul ca pereti plini, daca golul este situat in treimea mijlocie a inaltimii nivelului iar plinurile de zidarie pana la marginile peretelui sunt cu cel putin 20% mai mari decat valorile minime date la 5.2.5.(6).
(3) Golurile din talpi cu dimensiunea maxima £ h/4 pot fi neglijate iar golurile cu dimensiune > h/4 vor fi considerate margini ale talpii.
6.6.1.4. Rezistente unitare de proiectare ale zidariei, betonului si armaturii
(1) Valorile rezistentelor unitare de proiectare ale zidariei, pentru calculul la starea limita ultima (ULS) se vor determina conform Cap.4 din prezentul Cod.
(2) Valorile rezistentelor unitare de proiectare ale zidariei, pentru calculul la starea limita de serviciu (SLS) se vor determina cu relatia (4.2), folosind:
i. Valoarea coeficientului partial de siguranta:
ym 1,50 pentru peretii structurali si nestructurali ai constructiilor din clasa de importanta I, definita conform Codului P100-1/2006;
ym 1,0 pentru toate celelalte elemente structurale si nestructurale, indiferent de clasa de importanta a constructiei.
ii. Valorile coeficientilor conditiilor de lucru mz,SLS, conform 4.1.1.1.3.
(3) Valorile rezistentelor de proiectare pentru beton si armatura se vor lua din documentul de referinta STAS 10107/0-90.
6.6.2. Rezistenta de proiectare a peretilor la forta axiala
(1) Grosimea peretilor structurali pentru care se aplica prevederile acestui capitol, trebuie sa satisfaca, in afara conditiilor minime stabilite la 5.2.6. (2) si (3), si urmatoarele cerinte:
pentru pereti din zidarie armata (ZC, ZC+AR, ZIA): coeficientul de zveltete hef/t ≤ 20;
pentru pereti din zidarie nearmata (ZNA): coeficientul de zveltete hef/t ≤ 16; unde hef este inaltimea efectiva a peretelui stabilita conform 6.6.2.1.3.
(2) Pentru peretii din zidarie, nearmata sau armata, solicitati la com-presiune axiala, deformatia specifica maxima in zidarie (scurtare) se va lua εmax = -2.
6.6.2.1. Rezistenta la compresiune a peretilor din zidarie nearmata (ZNA) cu elemente din argila arsa
(1) Rezistenta de proiectare la compresiune centrica pentru un element din ZNA cu sectiune oarecare, se va determina cu relatia:
NRd=Ф1(m)Afd (6.9)
unde:
Фi(m)- coeficientul de reducere a rezistentei datorita efectului zveltetei elementului si efectului excentricitatilor de aplicare a incarcarilor in sectiunile extreme (Ф1) si, respectiv, in sectiunea de la 2/3 din inaltimea elementului masurata de la baza (Фm);
A - aria sectiunii transversale a elementului;
fd - rezistenta de proiectare la compresiune a zidariei.
In cazul peretilor de zidarie cu sectiune dreptunghiulara, rezistenta de proiectare la compresiune centrica se calculeaza, de regula, pentru unitatea de lungime a peretelui. Ecuatia (6.9) devine:
NRd(1)=Фi(m)tfd (6.9a)
unde:
t - grosimea peretelui;
NRd(1) - rezistenta de proiectare a peretelui dreptunghiular pe unitatea de lungime.
6.6.2.1.1. Determinarea coeficientului de reducere a rezistentei Фi
Coeficientul de reducere a rezistentei in sectiunile de la extremitatile peretelui (Фi) - sus si jos - depinde numai de excentricitatea de aplicare a incarcarilor si se va determina cu relatia:
(6.10)
unde:
t - grosimea peretelui;
ei - excentricitatea de calcul, in raport cu planul peretelui, in sectiunea de la extremitatea peretelui (sus/jos) in care se face verificarea, calculata cu relatia:
ei=e0i+ehi+ea ≥0.05t (6.11)
cu notatiile:
ei0 - excentricitatea datorata tuturor incarcarilor aplicate peste nivelul de calcul determinata cu relatia (6.1);
ehi - excentricitatea datorata fortelor aplicate perpendicular pe planul peretelui determinata cu relatia (6.3);
ea - excentricitatea accidentala definita la 6.2.1.2.2.
6.6.2.1.2.Determinarea coeficientului de reducere a rezistentei Фm
Pentru zidariile executate cu elemente din argila arsa, cu mortar pentru utilizare generala (G), cu toate rosturile complet umplute, coeficientul de reducere a rezistentei Фm va fi luat din tabelul 6.1, in functie de rapoartele hef/t si emk/t in care emk este excentricitatea de calcul in zona centrala a peretelui (la 2/3 het, masurata de la baza peretelui) calculata cu relatia:
emk=em+ek (6.12)
in care
(6.13)
si
unde
hef- inaltimea efectiva a peretelui calculata conform 6.6.2.1.3.;
ei0 - excentricitatea in sectiunea de sus a peretelui calculata cu relatia (6.1);
ehm - excentricitatea datorata efectului incarcarilor orizontale, in
sectiunea de la ⅔ din inaltimea peretelui, calculata cu relatia (6.3);
ea - excentricitatea accidentala determinata conform 6.2.1.2.2.;
ek -excentricitatea datorata curgerii lente;
Ф∞ - coeficientul de curgere lenta dat in tabelul 4.10.
Tabelul 6.1 Valorile coeficientului Фm
|
Zveltetea hef/t |
Excentricitatea relativa emk/t |
|||||
NOTE 1. Tabelul 6.1 este preluat din documentul normativ de referinta EN 1996-1-1 si este calculat cu modulul de elasticitate al zidariei Ez = 1000 fk. Pentru alte valori ale modulului de elasticitate, calculul coeficientului Фm se poate face cu relatiile din anexa E (informativa) la documentul de referinta EN 1996-1-1 .
2 Pentru valori intermediare ale rapoartelor hef/t si emk/t valorile Ф se pot obtine prin interpolare. Nu este permisa extrapolarea valorilor din tabel.
3. Excentricitatea ek poate fi neglijata in cazul zidariilor cu elemente din argila arsa.
6.6.2.1.3. Determinarea inaltimii efective a peretelui
Inaltimea efectiva a unui perete de zidarie (hef) se stabileste in functie de dimensiunile panoului (h, lw) si de conditiile de legatura ale acestuia cu elementele adiacente (plansee si/sau pereti perpendiculari).
(2) Pentru a fi considerate reazeme laterale, elementele care marginesc peretele trebuie sa aiba rigiditate comparabila cu cea a peretelui pe care il rigidizeaza.
(3) Un perete din zidarie poate fi considerat rigidizat daca este legat, prin tesere, cu un perete din zidarie perpendicular care indeplineste urmatoarele conditii:
lungimea peretelui de rigidizare este ≥ 1/5 din inaltimea etajului;
grosimea peretelui de rigidizare este ≥½ din grosimea peretelui care este rigidizat;
in cazul in care peretele de rigidizare are goluri in vecinatatea peretelui rigidizat, lungimea acestuia trebuie sa indeplineasca conditiile din figura 6.9.
(4) Rigidizarea unui perete poate fi asigurata si prin executarea unor stalpi de zidarie (pilastri) cu grosimea tpilastru ≤ 3t dispusi la distante interax dpilastru ≤ 20t unde t este grosimea peretelui care se rigidizeaza. Zidaria peretelui va fi tesuta cu cea a pilastrului.
NOTA. In cazul peretilor cu grosimea de 240 mm, peretii de rigidizare de ½ caramida (120 mm) sunt luati in considerare numai ca element de rigidizare pentru stabilirea inaltimii efective a peretelui si nu sunt considerati pereti activi pentru preluarea fortelor seismice.
(5) Pentru calculul capacitatii de rezistenta, grosimea reala a peretelui rigidizat cu pilastri de zidarie (t), se multiplica cu coeficientul supraunitar ρw din tabelul 6.2.
tcalc = ρwt (6.15)
Tabelul 6.2
Coeficientul de majorare a grosimii peretelui rigidizat cu pilastri
|
Raportul dpilastru/bpilastru |
Raportul tpilastru/t |
||
NOTA. Pentru situatiile intermediare se poate interpola intre valorile din tabel.
Inaltimea efectiva (hef) a unui perete de zidarie va fi calculata cu relatia
hef=ρnh (6.16)
unde
ρn (n = 24) - coeficient care tine seama de conditiile de rezemare pe contur si de numarul laturilor peretelui care sunt rezemate/ rigidizate;
h - inaltimea libera a peretelui;
lw - lungimea sectiunii orizontale a peretelui.
(7) Coeficientii ρn se stabilesc dupa cum urmeaza:
i1. Perete fixat cu planseu de beton armat sau din lemn dispus pe ambele parti: ρ2 = 0.75
i2. Perete fixat cu planseu de beton armat sau din lemn dispus pe o singura parte (perete exterior , de exemplu): ρ2=1.00
In functie de conditiile de fixare la nivelul planseelor (ρ2) coeficientii ρ3 (pentru perete rigidizat pe o latura verticala) si ρ4 (pentru perete rigidizat pe doua laturi verticale) se determina conform tabelul 6.3.
Tabelul 6.3
|
Val. ρ2 |
Valori ρ3 |
Valori ρ4 |
||
|
h≤3.5lw |
h>3.5lw |
h≤lw |
h>lw |
|
|
|
|
|
|
|
|
|
|
|||
Rezistenta la compresiune a peretilor din zidarie armata ZC, ZC+AR,ZIA
(1) Rezistenta peretilor din zidarie armata se va calcula prin trans-formarea sectiunii mixte intr-o sectiune ideala de zidarie folosind coeficientul de echivalenta dat de relatia (6.2.4). Calculul se va conduce apoi ca la 6.6.2.1.
(2) Contributia armaturilor din stalpisori (ZC, ZC+AR) si din stratul median (ZIA) la preluarea fortei de compresiune se va neglija.
Rezistenta peretilor la compresiune locala sub efectul incarcarilor concentrate
(1) Pentru un perete din ZNA, alcatuit cu elemente de zidarie din grupa 1, rezistenta de proiectare la compresiune locala datorita incarcarilor concentrate se va determina cu relatia:
NRd,cl=βAbfd (6.17)
unde:
(6.18)
cu notatiile:
β - coeficient de majorare pentru ξncarcari concentrate;
a1 - distanta de la capatul peretelui pana la cea mai apropiata margine a ariei pe care se transmite incarcarea;
Ab - aria pe care se aplica incarcarea ≤ 0.45 Aef;
Ho - inaltimea peretelui de la baza pana la nivelul la care se aplica incarcarea concentrata;
Aef - aria incarcata;
Aef = t Lef unde
este
lungimea efectiva de preluare a incarcarii masurata la jumatatea inaltimii
peretelui sau pilastrului rezultata prin descarcarea fortei verticale la un
unghi de 60 cu orizontala (vezi figura 6.2a).
Valorile din relatia (6.18) se limiteaza dupa cum urmeaza:
βmax= 1.25 daca ![]()
βmax= 1.50 daca ![]()
Pentru
valorile
se vor obtine prin interpolare liniara intre valorile βmax date
mai sus.
(2) Excentricitatea de aplicare a fortei concentrate, fata de planul median al peretelui, nu va depasi l/4 din grosimea t a peretelui.
In cazurile in care efectele fortelor concentrate se suprapun, sectiunea de la mijlocul inaltimii peretelui va fi verificata cu relatia (6.17).
(4) Forta concentrata trebuie sa fie aplicata pe o zidarie cu elemente de grupa 1 sau, in cazul zidariilor cu elemente din grupele 2 si 2S, prin intermediul unui material rigid care sa permita distributia pe verticala a incarcarii la un unghi de 30 cu verticala asigurand realizarea unei lungimi de incalcare Lef ca in figura 6.2a(1) (in cazul reazemelor situate la capatul peretelui, descarcarea la 30 se va considera numai pe o singura parte a incarcarii). - figura 6.2a(2).
In cazul in care forta concentrata este aplicata prin intermediul unui cuzinet cu rigiditate satisfacatoare efortul de compresiune sub forta concentrata (σcl) nu trebuie sa depaseasca 1.5 fd in cazul elementelor de zidarie din grupele 1 si 2 si fd in cazul elementelor de zidarie din grupa 2S.
NOTA. Se poate considera ca un cuzinet cu latimea egala cu grosimea peretelui, cu inaltimea de 200 mm si cu lungimea de trei ori mai mare decat lungimea pe care este rezemata incarcarea are rigiditatea necesara pentru a satisface aceste conditii.
6.6.3. Rezistenta de proiectare la forta axiala si incovoiere in planul median a peretilor din zidarie
6.6.3.1.Conditii generale de calcul
(1) Ipotezele generale de calcul folosite pentru determinarea rezistentei de proiectare la forta axiala si moment incovoietor in planul peretelui pentru zidarii nearmate si armate sunt urmatoarele:
ipoteza sectiunilor plane;
in cazul sectiunilor din zidarie armata (ZC si ZIA) betonul conlucreaza cu zidaria pana in stadiul ultim; deformatiile ultime ale betonului (εub) luate in calcul nu pot insa depasi valorile deformatiilor specifice ultime ale zidariei (εuz) care sunt date in 4.1.2.1.(3);
rezistenta la intindere a zidariei se neglijeaza;
in stadiul ultim, eforturile unitare in zona comprimata a zidariei se con-sidera uniform distribuite; idem pentru beton;
relatia efort unitar-deformatie specifica pentru armaturi se va lua din documentul normativ de referinta STAS 10107/0-90;2
NOTA.Ipoteza referitoare la distributia uniforma a eforturilor unitare in zidarie este valabila numai daca legea constitutiva a zidariei are forma din figura 4.3. Pentru zidariile care au o alta forma a relatiei σ-ε se aplicγ prevederile de la 4.1.2.1.(4).
In cazul peretilor cu forma complexa a sectiunii transversale (I, L,T) rezistenta de proiectare la forta axiala si moment incovoietor in planul peretelui se va determina pe baza sectiunii de calcul cu lungimile talpilor determinate la art.6.3.1.(3); se va verifica, daca talpa comprimata satisface conditia de rezistenta la compresiune data la 6.6.2.1.
(3) Legaturile dintre inima si talpile peretilor cu forma complexa precum si sectiunile slabite prin slituri verticale (a se vedea 7.1.1.2) vor fi verificate pentru eforturile de lunecare verticale conform prevederilor de la 6.8.1.1.(2).
(4) Verificarea de la (3) nu este necesara daca legatura intre talpa si inima peretelui satisface conditiile de mai jos:
i) Pentru zidaria nearmata (ZNA):
zidurile de pe cele doua directii sunt executate simultan (complet tesute);
sectiunea de legatura intre pereti nu este slabita prin slituri verticale;
la colturi, intersectii si ramificatii sunt prevazute in rosturile orizontale armaturile minime stabilite in Codul P 100-1/2006.si in prezentul Cod;
ii) Pentru zidaria confinata, cu sau fara armaturi in rosturile orizontale (ZC/ZC+AR):
strepii reprezinta 50% din suprafata de contact intre zidarie si beton;
sectiunea de legatura intre pereti nu este slabita prin slituri verticale;
la colturi, intersectii si ramificatii sunt prevazute in rosturile orizontale armaturile minime stabilite in Codul P 100-1/2006 si in prezentul Cod.
(5) Daca la legatura intre inima si talpa sau pe lungimea talpii active se afla slituri cu adancime mai mare decat valoarea limita data la 7.1.1.1., sectiunea respectiva se considera margine libera.
6.6.3.2. Pereti din zidarie nearmata
(1) Rezistenta de proiectare la incovoiere (MRd), asociata fortei axiale de proiectare (NSd), pentru incarcari neseismice (gravitationale) aplicate in planul median al unui perete, se va calcula pe baza ipotezelor de la 6.6.3.1. considerand ca blocul eforturilor de compresiune are forma dreptunghiulara cu valoare 0.8fd.
In conditiile de la (1), rezistenta de proiectare la incovoiere (MRd) se va calcula dupa cum urmeaza:
1. Se determina aria zonei comprimate a peretelui
(6.19)
2. Se determina distanta yzc de la centrul de greutate al peretelui pana la centrul de greutate al zonei comprimate.
3. Se determina rezistenta de proiectare laincovoiere (MRd) cu relatia
MRd = NsdYzc (6.20)
(3) In cazul particular al unui perete dreptunghiular, cu lungime lw si grosime t relatiile (6.19) si (6.20) devin:
adancimea zonei comprimate :
(6.19a)
momentul incovoietor de proiectare
(6.20a)
In cazul in care forta axiala este aplicata excentric fata de planul peretelui, adancimea zonei comprimate se va determina eu relatia:
(6.21)
unde coeficientul Фi(m) se va determina conform prevederilor de la 6.6.2.1.1 si 6.6.2.1.2.
In cazul peretilor din zidarie nearmata la care incovoierea in planul peretelui este produsa de forta seismica, rezistenta de proiectare la incovoiere (MRd) asociata fortei axiale de proiectare (NEd) se va determina ca si pentru incarcarile neseismice, dar cu limitarea ariei pe care se dezvolta eforturi de intindere prin conditia
yzc<1.2rsc (6.22)
unde:
rzc- distanta de la centrul de greutate al sectiunii orizontale a peretelui pana la limita samburelui central aflata de aceeasi parte cu fibra comprimata.
NOTA Forta axiala de proiectare NEd se determina din gruparea de incarcari care include actiunea seismica, conform prevederilor Codului P 100-1/2006.
In cazul particular al unui perete dreptunghiular cu lungime lw, din conditia (6.22) relatia (6.20a) devine:
MRd=0.2lwNEd (6.20b)
6.6.3.3. Pereti din zidarie confinata cu sau fara armaturi in rosturile orizontale
(1) Calculul rezistentei de proiectare la incovoiere (Mrd) asociata fortei axiale de proiectare din incarcari seismice (NEd) pentru peretii de zidarie confinata (ZC, ZC+AR), executati cu elemente de zidarie din grupele 1, 2 si 2S, se face in urmatoarele ipoteze:
se neglijeaza:
- rezistenta la eforturi unitare de intindere a betonului din stalpisorul de la extremitatea solicitata la intindere a peretelui (pentru ipoteza respectiva de incarcare);
- rezistenta mortarului din rosturile orizontale ale zidariei; sectiunea de beton si armatura eventualilor stalpisori intermediari;
se tine seama de aportul elementelor de confinare verticale:
- sectiunea de beton a stalpisorului de la extremitatea comprimata;
- armatura ambilor stalpisori de la extremitati.
in stadiul ultim, starea de deformatie, in situatia de 'balans', este urmatoarea:
- la extremitatea comprimata se ating valorile maxime ale deformatiilor specifice ale zidariei/ betonului date la 6.6.3.1.(1)
- in armatura stalpisorului de la extremitatea intinsa se atinge rezistenta de curgere a otelului.
blocul eforturilor de compresiune in zidarie si/sau beton este drep-tunghiular si se dezvolta pe o adancime de 0.80 x unde 'x' este distanta de la axa neutra pana la fibra cea mai comprimata.
Nota. Ipoteza referitoare la distributia uniforma a eforturilor unitare in zidarie este valabila numai daca legea constitutiva a zidariei are forma din figura 4.3. Pentru zidariile care au o alta forma a relatiei σ-ε se aplicγ prevederile de la 4.1.2.1.(4).
In cazul folosirii elementelor din grupele 2 si 2S, pentru care εuz < εub,se va proceda dupa cum urmeaza:
pentru extremitatile fara talpi ale peretelui, deformatia specifica a zidariei, la limita cu stalpisorul de beton, nu va fi mai mare decat deformatia specifica maxima conform 6.6.3.1., iar deformatia specifica maxima in betonul stalpisorului, rezultata din ipoteza sectiunilor plane, nu va depasi εc = - 3.0%o
pentru extremitatile la care exista talpa, deformatia specifica maxima a betonului din stalpisor (εub) nu va fi mai mare decat deformatia specifica maxima a zidariei data la 6.6.3.1.
(3) Pentru a se asigura atingerea stadiului ultim prin curgerea otelului inaintea ruperii fragile prin zdrobirea zidariei din zona comprimata, aria armaturii din stalpisori se va lua egala cu cel mult 50% din armatura care realizeaza simultan atingerea deformatiilor ultime in otelul intins si in zidaria comprimata (armatura de 'balans'').
(4) Daca nu este necesar un calcul mai exact, rezistenta de proiectare la incovoiere asociata fortei axiale de proiectare (Ned), pentru un perete de zidarie confinata de forma oarecare, poate fi calculata prin insumarea rezistentei de proiectare la incovoiere a sectiunii ideale de zidarie nearmata MRd (zna,i) cu rezistenta de proiectare la incovoiere corespunzatoare armaturilor din stalpisorii de la extremitati MRd(As) calculate conform aliniatelor (5) (7).
MRd = MRd (zna,i) + MRd(As) (6.23)
(5) Rezistenta de proiectare la incovoiere a sectiunii ideale de zidarie ne-armata se calculeaza in urmatoarele ipoteze:
este valabila ipoteza sectiunilor plane;
aria de beton armat a stalpisorilor comprimati poate fi inlocuita cu o arie echivalenta de zidarie; coeficientul de echivalenta nech se ia egal cu raportul dintre valoarea de baza a rezistentei de proiectare la compresiune a betonului din stalpisor (fcd*) redusa cu coeficientul conditiilor de lucru m=0.75 si rezistenta de proiectare la compresiune a zidariei (fd):
(6.24)
blocul eforturilor de compresiune are forma dreptunghiulara, cu valoarea maxima egala cu 0,80 fd;
adancimea maxima a zonei comprimate va fi x≤xmax=0,30lw unde lw este lungimea peretelui.
NOTE.1. Ipoteza referitoare la distributia uniforma a eforturilor unitare in zidarie este valabila numai daca legea constitutiva a zidariei are forma din figura 4.3. Pentru zidariile care au o alta forma a relatiei σ-ε se aplicγ prevederile de la 4,1.2.1.(4).
2 Pentru zidariile la care εuz ≤ 2 coeficientul de echivalenta se va determina tinand seama de valoarea efortului din beton corespunzatoare deformatiei efective rezultata din conditiile de la (2) si din ipoteza sectiunilor plane (in multe cazuri aceasta valoare poate fi mai mica decat fcd*)
(6) Cu ipotezele de la (5) rezulta:
aria sectiunii ideale de zidarie comprimata (Azci)
(6.25)
momentul incovoietor de proiectare al sectiunii ideale de zidarie
MRd(zna,i) = NEdyzei (6.26)
unde
yzci - distanta de la centrul de greutate al peretelui pana la centrul de greutate al zonei comprimate a sectiunii ideale de zidarie
(7) Rezistenta de proiectare la incovoiere data de armaturile stalpisorilor MRd(As) se calculeaza cu relatia
MRd(As) =1sAsfyd (6.27)
unde
ls - distanta intre centrele de greutate ale celor doi stalpisori de la extremitati;
As - cea mai mica dintre ariile de armare ale celor doi stalpisori;
fyd - rezistenta de calcul a armaturii din stalpisori.
6.6.3.4. Pereti de zidarie cu inima armata
(1) Rezistenta de proiectare la incovoiere (MRd) asociata fortei axiale de proiectare (NEd), pentru zidaria cu inima armata (ZIA) se va calcula folosind urmatoarele ipoteze:
ipoteza sectiunilor plane;
zidaria, betonul si armatura au comportare ductila definita de curbele 'σ-ε' respective;
straturile paralele de zidarie si beton conlucreaza pana in stadiul ultim;
blocul eforturilor de compresiune in stadiul ultim este dreptunghiular cu adancimea xconv = 0. 80x unde x este distanta de la fibra cea mai comprimata pana la axa neutra a sectiunii orizontale a peretelui;
deformatiile specifice in stadiul ultim ale zidariei si betonului sunt egale εub= εuz=- 3.0 daca se folosesc elemente de zidarie din grupa 1; in cazul zidariei cu elemente din grupele 2 si 2S deformatia ultima a betonului va fi luata egala cu deformatia ultima a zidariei, respectiv εuz = - 2 pentru elemente din grupa 2 sau valoarea declarata de catre producator pentru elemente din grupa 2S;
armatura stratului median este uniform distribuita in lungul peretelui (as in mm2/m).
NOTA. Ipoteza referitoare la distributia uniforma a eforturilor unitare in zidarie este valabila numai daca legea constitutiva a zidariei are forma din figura 4.3. Pentru zidariile care au o alta forma a relatiei σ-ε se aplicγ prevederile de la 4.1.2.1.(4).
(2) In ipotezele mentionate la (1) rezistenta de proiectare la incovoiere (MRd) asociata fortei axiale de proiectare (NEd) se poate calcula, suficient de precis, prin insumarea rezistentei de proiectare la incovoiere a sectiunii ideale de zidarie nearmata cu rezistenta de proiectare a armaturilor din stratul median
MRd (ZIA) = MRd (zna,i) + MRd (as) (6. 28)
(3) Grosimea echivalenta a sectiunii ideale de zidarie nearmata se va calcula cu relatia:
tech = 2tz +nechtm (6.29)
unde:
tz - grosimea straturilor de zidarie exterioare;
tm - grosimea stelatului median de mortar/beton (grouf);
nech- coeficientul de echivalenta calculat cu relatia (6.24)
(4) Rezistenta de proiectare a sectiunii ideale de zidarie nearmata MRd (zna,i) se va calcula conform art.6.6.3.3.
(5) Rezistenta de proiectare a armaturilor, MRd (as), se va calcula cu relatia:
(6.30)
6.6.4. Rezistenta de proiectare la forta taietoare a peretilor structurali de zidarie
Ipoteze de calcul
(1) Rezistenta de proiectare la forta taietoare a peretilor dreptunghiulari de zidarie se determina considerand ca eforturile unitare tangentiale date de forta taietoare de proiectare sunt uniform distribuite pe lungimea zonei comprimate a peretelui. Lungimea zonei comprimate rezulta din solicitarile sectionale de proiectare (moment incovoietor si forta axiala) provenite din gruparea respectiva de incarcari si se determina conform metodologiei de la 6.6.3.
In cazul peretilor in forma de I,L,T rezistenta de proiectare la forta taietoare a peretelui este egala cu rezistenta de proiectare la forta taietoare a inimii (sectiunea dreptunghiulara).
Pereti de zidarie nearmata
(1) Rezistenta de proiectare la forta taietoare VRd a peretilor de zidarie nearmata, se va calcula cu relatia
VRd = fvd tlc (6.31)
unde
fvd - rezistenta unitara de proiectare la forfecare a zidariei, stabilita cu relatia (4.4) ;
t - grosimea inimii peretelui;
lc - lungimea zonei comprimate a inimii peretelui.
(2) Efortul unitar de compresiune (σd) folosit pentru determinarea rezis-tentei unitare de proiectare (fvd) in relatia (6.31), se va calcula considerand ca incarcarea verticala de proiectare din gruparea respectiva de incarcari, NSd sau NEd este uniform distribuita pe zona comprimata a peretelui determinata conform 6.6.3.2. In cazul peretilor cu sectiune compusa (L,T,I), in zona comprimata pentru care se determina σd se includ si talpile cu dimensiunile stabilite la 6.6.3.1.(3).
NOTA. In cazul solicitarii seismice, aria zonei comprimate se va de-termina avand in vedere limitarea excentricitatii fortei axiale din relatia (6.22).
(3) Armatura constructiva dispusa in centurile planseelor conform prevederilor al.7.1.2.1.(5) nu va fi luata in considerare pentru calculul rezistentei la forta taietoare.
6.6.4.3. Pereti de zidarie confinata
(1) Rezistenta de proiectare la forta taietoare a peretilor de zidarie confinata, VRd, se obtine prin insumarea de rezistente de proiectare la forta taietoare a panoului de zidarie nearmata (VRd1) si a rezistentei de proiectare la forfecare datorata armaturii din stalpisorul de la extremitatea comprimata a peretelui (VRd2).
VRd= VRd1+ VRd2 (6.32)
(2) Rezistenta de proiectare la forta taietoare a panoului de zidarie nearmata (VRd1) se va calcula conform 6.6.4.2. cu relatia (6.31) in care se va introduce lungimea zonei comprimate determinata conform 6.6.3.3.
In cazul fortei taietoare provenita din actiunea seismica, valoarea rezistentei de proiectare a panoului de zidarie nearmata (VRd1), determinata cu relatia (6.31) va fi redusa prin inmultire cu un coeficient subunitar stabilit prin Codul P 100-1/2006.
(4) Rezistenta de proiectare la forfecare a armaturii verticale din stalpisorul comprimat se va calcula cu relatia:
VRd2=0.2Aascfyd (6.33)
unde
Aasc - aria armaturii din stalpisorul de la extremitatea comprimata;
fyd - rezistenta de proiectare a armaturii din stalpisorul comprimat.
(5) O parte, cel mult 50%, din armatura din centura planseului superior, prevazuta conform 7.1.2.2.2.(5), poate fi considerata ca armatura in rosturile orizontale a carei contributie se calculeaza conform pct. 6.6.4.4.
6.6.4.4. Pereti de zidarie confinata si armata in rosturile orizontale (ZC+AR)
(1) Rezistenta de proiectie la forta taietoare a peretilor de zidarie confinata si armata in rosturile orizontale se calculeaza prin insumarea rezistentei la forta taietoare a zidariei confinate (VRd1+ VRd2
-determinata cu relatiile de la 6.6.4.3.) si a rezistentei de proiectare a armaturilor din rosturile orizontale (VRd3).
VRd=VRd1+VRd2 + VRd3 (6.34)
(2) Rezistenta de proiectare a armaturilor din rosturile orizontale (VRd3) se calculeaza, in cazul peretilor cu inaltimea totala (htot) ≥ lungimea peretelui (lw) cu relatia:
(6.35)
unde
lw - lungimea peretelui;
Asw - aria armaturilor din rostul orizontal (pentru preluarea fortei ta-ietoare);
s - distanta pe verticala intre doua randuri succesive de armaturi Asw;
fysd - rezistenta de proiectare a armaturii din rosturile orizontale.
In cazul peretilor cu inaltimea totala (htot) < lungimea peretelui (lw) in relatia (6.35) se va inlocui lw cu htot.
(3) O parte, cel mult 50%, din armatura din centurile planseelor poate fi adaugata armaturii din rosturile orizontale intersectata de o fisura la 45(ΣASW).
6.6.4.5. Pereti de zidarie cu inima armata
(1) Rezistenta de proiectare la forta taietoare a peretilor din zidarie cu inima armata - VRd (ZIA) se determina prin insumarea rezistentelor de proiectare la forta taietoare ale celor trei materiale componente:
VRd(ZIA)=VRdz +VRdb+VRda (6.36)
unde
VRdz - rezistenta de proiectare la forta taietoare a zidariei;
VRdb - rezistenta de proiectare la forta taietoare a stratului median de beton sau mortar-beton;
VRda -rezistenta de proiectare la forta taietoare a armaturilor orizontale din stratul median.
(2) Lungimea zonei comprimate a peretelui din zidarie cu inima armata si valoarea efortului unitar de compresiune in perete se determina pe baza ipotezelor de la 6.6.4.4.
(3) Rezistenta de proiectare la forta taietoare a zidariei VRdz se determina cu relatia
VRdz=fvdlctz (6.37)
in care
fvd - rezistenta de proiectare la forfecare a zidariei;
lc - lungimea zonei comprimate a peretelui;
tz - grosimea totala a celor doua straturi de zidarie.
In cazul in care forta taietoare provine din actiunea cutremurului, rezistenta de proiectare la forfecare a zidariei se va reduce prin inmultire cu un coeficient subunitar conform prevederilor Codului P 100- 1/2006.
(5) Rezistentele de proiectare la forta taietoare ale stratului de beton (VRdb) si ale armaturilor orizontale (VRda) se vor calcula conform pre-vederilor Codului de proiectare CR.2- 1-1.1.
6.6.4.6. Rezistenta de proiectare la forta de lunecare verticala asociata incovoierii peretelui
Rezistenta de proiectare la forta de lunecare verticala la legatura intre inima si talpa unui perete cu sectiune compusa (I,L,T) si in sectiunile slabite de slituri verticale se calculeaza pe inaltimea unui etaj admitand ca eforturile unitare de forfecare sunt uniform distribuite pe inaltimea etajului, cu relatia:
(6.38)
unde
VLhd - rezistenta de proiectare la lunecare pe inaltimea etajului;
het - inaltimea etajului;
tL - grosimea peretelui in sectiunea in care se calculeaza rezis-tenta peretelui;
fvk0 - rezistenta caracteristica la forfecare a zidariei sub efort de com-presiune egal cu zero;
УM - coeficientul de siguranta conform 2.3.2.3.
6.6.5. Rezistenta de proiectare a panourilor de zidarie de umplutura
(1) Rezistenta de proiectare a panourilor de zidarie de umplutura FRd (zu) va fi luata egala cu cea mai mica dintre valorile corespunzatoare urmatoarelor moduri de rupere ale zidariei:
rupere prin lunecare din forta taietoare in rosturile orizontale (de regula, la jumatatea inaltimii panoului) - FRd1(zu) - figura 6.16 Rd1;
strivirea diagonalei comprimate la coltul cadrului FRd2 (zu) - figura 6.16 Rd2;
fisurarea diagonala in lungul bielei comprimate FRd3 (zu) - figura 6.16 Rd3;
FRd (zu) = min (FRd1,FRd2,FRd3) (6.39)
(2) Rezistenta de proiectare corespunzatoare mecanismului de rupere prin lunecare din forta taietoare in rosturile orizontale se determina cu relatia:
(6.40)
unde
(6.41)
(3) Rezistenta de proiectare corespunzatoare mecanismului de rupere prin strivirea diagonalei comprimate se determina cu relatia:
(6.42)
(4) Rezistenta de proiectare corespunzatoare mecanismului de rupere prin fisurarea diagonala in lungul diagonalei comprimate se determina cu relatia:
(6.43)
In relatiile (6.40) (6.43) s-au folosit notatiile:
hp - inaltimea panoului de zidarie;
lp - lungimea panoului de zidarie;
tp - grosimea panoului de zidarie;
θ - unghiul cu orizontala al diagonalei panoului de zidγrie;
Eb, Ez - modulii de elasticitate al betonului din cadru si al zidariei (valorile de scurta durata);
Ist - valoarea medie a momentelor de inertie ale stalpilor care margi-nesc panoul;
fd - rezistenta de proiectare la compresiune a zidariei;
fvdo -rezistenta de proiectare la forfecare sub efort de compresiune zero a zidariei.
6.6.6. Rezistenta de proiectare a peretilor supusi la incovoiere perpendicular pe planul median
(1) Pentru calculul rezistentelor de proiectare la incovoiere perpendicular pe planul peretelui de zidarie (MRxd1 si MRxd2) se vor folosi rezistentele de proiectare la intindere din incovoiere perpendicular pe planul zidariei, fxd1, fxd2, determinate cu relatiile (4.5a) si (4.5b).
(2) Pentru peretii de zidarie confinata si armata in rosturile orizontale, la calculul momentului MRxd2 (cu plan de rupere perpendicular pe rosturile orizontale) se va tine seama si de armaturile din rosturile orizontale care sunt ancorate corespunzator in stalpisorii care marginesc panoul.
(3) Valorile MRxd1si MRxd2 (in Nmm) se calculeaza, pentru o banda din perete de latime egala cu 1000 mm, cu relatiile:
MRxd1 = Ww fxd1 (6.44a)
MRxd2 = Ww fxd2 (6.44b)
unde
modulul
de rezistenta al peretelui (mm3);
t - grosimea peretelui in mm.
Calculul rezistentei de proiectare a planseelor
(1) Capacitatea de rezistenta a planseelor de beton armat la incarcari verticale se va stabili luand ca document normativ de referinta STAS 10107/04.
(2) Capacitatea de rezistenta a planseelor din lemn la incarcari verticale se va lua din documentele normative de referinta NP 019-1997 si NP 005-2003.
Verificarea sigurantei cladirilor din zidarie
(1) Verificarea sigurantei cladirilor de zidarie se va face prin calcul, cu exceptia 'Structurilor simple', proiectate conform prevederilor din Codul P 100-1/2006.
(2) Verificarea sigurantei cladirilor de zidarie se face in raport cu:
starile limita ultime de rezistenta si de stabilitate (ULS);
starea limita a exploatarii normale (SLS).
6.8.1. Verificarea cerintei de rezistenta
6.8.1.1. Verificarea cerintei de rezistenta pentru solicitarile in planul peretelui
(1) Elementele structurale si nestructurale de zidarie vor fi proiectate pentru a avea, in toate sectiunile, rezistentele de proiectare la eforturi sectionale (NRd, MRd, VRd) mai mari decat eforturile sectionale de proiectare (NSd, MSd,VSd) rezultate din incarcarile cele mai defavorabile din gruparile de incarcari, luand ca document normativ de referinta STAS 10101/OA-77.
In cazul in care incarcarile cele mai defavorabile provin din grupari care includ actiunea seismica se va proceda dupa cum urmeaza:
rezistentele de proiectare la eforturi sectionale(NRd, MRd, VRd) ale pere-tilor structurali vor fi stabilite conform 6.6, considerand suprarezistenta armaturilor in situatiile mentionate in Codul P100-1/2006;
eforturile sectionate de proiectare vor avea valorile (NEd, MEd, VEd), care vor fi determinate conform prevederilor din Codul P 100-1/2006;
in cazurile mentionate la 6.6.4.6. rezistenta de proiectare la lunecare verticala (VLhd) vafi mai mare decat forta de lunecare verticala Lv,et calculata conform 6.3.2.2.; pentru calculul fortei de lunecare, in relatia (6.5) momentele incovoietoare se vor introduce cu valorile de proiectare stabilite conform Codului P 100-1/2006;
verificarea cerintei de rezistenta se va face in conditiile stabilite prin Codul P 100-1/2006.
(3) Peretii de zidarie de umplutura din structurile din cadre se vor verifica la starea limita ultima, separat, pentru:
efectele rezultate din interactiunea cu structura in cazul solicitarii seismice;
efectele actiunii seismice sau a presiunii vantului perpendiculara pe planul peretelui.
(4)Cerinta de siguranta pentru efectele rezultate din interactiunea peretilor de zidarie de umplutura cu cadrul este indeplinita daca este satisfacuta relatia;
FEd(zu)<FRd(zu) (6.45)
unde
FEd(zu) - forta axiala de proiectare din diagonala comprimata corespun-zatoare actiunii seismice de proiectare;
FRd(zu) - rezistenta de proiectarea a panoului de umplutura determinata conform 6.6.5.
(5) Stalpii si grinzile cadrului se vor verifica pentru fortele si deformatiile suplimentare rezultate din interactiunea cu panoul de zidarie luand valorile din documentul normativ de referinta STAS 10107/0-90. In cazul cadrelor din beton armat cele din documentul de refe-rinta STAS 10108/0-78 in cazul cadrelor din otel.
6.8.1.2. Verificarea cerintei de rezistenta pentru solicitarile perpendiculare pe planul peretelui
(1) Cerinta de rezistenta la actiunea fortelor perpendiculare pe plan, este indeplinita daca exista relatiile:
MRxd1≥MSxd1 (6.46a)
MRxd2≥MSxd2 (6.46b)
unde
MSxd1 si MSxd2 sunt momentele incovoietoare de proiectare datorate fortelor perpendiculare pe plan stabilite conform 6.4.
MRxd1 si MRxd2 sunt rezistentele pe proiectare la incovoiere perpendicular pe planul peretelui de zidarie determinate conform 6.6.6.
In cazul curent, cand incarcarea perpendiculara pe plan provine din actiunea seismica, momentele incovoietoare de proiectare vor avea valorile MExd1 si Mexd2 determinate conform Codului P 100-1/2006;
(3) Panourile de zidarie pentru care nu sunt indeplinite conditiile (6.46a) si (6.46b) vor fi tratate conform prevederilor de la 7.3.1. (3)
6.8.1.3. Verificarea cerintei de rezistenta pentru plansee
(1) Verificarea cerintei de rezistenta pentru incarcarile verticale se face conform reglementarilor specifice pentru fiecare material de constructie.
(2) Pentru incarcarile orizontale din cutremur, cerinta de rezistenta este satisfacuta daca, prin dimensionarea si alcatuirea constructiva, se asigura comportarea planseelor in domeniul elastic pentru solicitarile asociate capacitatilor de rezistenta ale peretilor structurali in stadiul ultim.
6.8.2. Verificarea cerintei de rigiditate
(1) Cerinta de rigiditate la actiunea fortelor seismice a cladirilor de zidarie este satisfacuta daca deplasarile relative de nivel ale cladirii dr se inscriu in limitele stabilite in Codul P100-1/2006.
(2) Cerinta de rigiditate a planseelor implica:
limitarea deformatiilor verticale la valorile stabilite prin reglementarile specifice in functie de:
- materialul de constructie (beton armat sau lemn);
- pozitia planseului in cladire (planseu curent, planseu de acoperis);
- caracteristicile peretilor de compartimentare rezemati pe planseu;
- tipul finisajelor aplicate;
limitarea / evitarea vibratiilor planseelor pentru:
- planseele din beton armat cu deschideri mari in cladiri in care se petrec activitati care pot provoca vibratii (sali de gimnastica, sali de dans, etc);
- planseele de lemn la toate categoriile de cladiri.
(3) Verificarea satisfacerii cerintei de rigiditate pentru plansee se face conform reglementarilor specifice pentru materialele respective.
Verificarea cerintei de stabilitate
Cerinta de stabilitate a cladirilor de zidarie este satisfacuta daca sunt respectate cerintele de alcatuire pentru ansamblul constructiei date la 2.2.3. si cerintele geometrice si de alcatuire constructiva pentru fiecare perete date in capitolele 5 si 6.
Verificarea cerintei de ductilitate
Cerinta de ductilitate a peretilor din zidarie este considerata satisfacuta daca sunt realizate urmatoarele cerinte:
efortul unitar mediu de compresiune din incarcarile gravitationale se limiteaza la valori moderate (orientativ, circa 40% din rezistenta de proiectare la compresiune centrica);
sub efectul simultan al incarcarilor gravitationale si seismice:
- se limiteaza adancimea zonei comprimate conform 6.6.3.3.(5);
- armatura din zona intinsa reprezinta numai o fractiune din cantitatea corespunzatoare situatiei de 'balans' - conform 6.6.3.3.(3);
- deformatia specifica in zidaria talpilor peretilor cu sectiuni compuse (L,T,I) se limiteaza la valoarea deformatiei ultime (εzu) a elementelor pentru zidarie respective -conform 6.6.3.4.(1);
- capacitatea de rezistenta la forta taietoare (care poate genera ruperi de tip fragil - ruperea din forta taietoare pe sectiuni in scara, de exemplu) - este superioara fortei taietoare asociata mecanismului de rupere ductil, sau mai putin fragil, din compresiune excentrica.
CAPITOLUL 7. PREVEDERI CONSTRUCTIVE PENTRU CLẴDIRI DIN ZIDẴRIE
7.1. Prevederi constructice privind suprastuctura
7.1.1. Prevederi generale
7.1.1.1. Materiale pentru structura
Materialele pentru structura cladirilor de zidarie vor respecta conditiile minime de calitate impuse ïn Codul P 100/1/2006 ºi ïn capitolul 3 din prezentul Cod.
7.1.1.2. Sectiuni de zidarie slabite prin goluri si slituri
(1) Sectiunea orizontala a peretilor structurali nu va fi slabita prin prevederea de:
Goluri verticale pentru cosurile de fum sau ventilatii;
Slituri orizontale sau oblice pentru instalatii realizate prin spargere sau zidire.
(2) In cazul ïn care, prin proiect, se prevad slituri verticale executate prin zidire, adancimea acestora va fi £ 1/3 din grosimea peretelui. Daca rezistenta sectiunii slabite, calculata conform 6.6.3.1. (3) este insuficienta pentru preluarea eforturilor sectionale de proiectare, sectiunea respectiva va fi ïntarita prin armare ïn rosturile orizontale si/sau prin elemente de beton armat.
(3) Se accepta executarea, numai prin frezare a sliturilor verticale sau oblice, cu adancimea de maximum 2,0 cm, pentru instalatiile electrice, fara afectarea integritatii si a stratului de protectie a barelor longitudinale din centuri.
7.1.2. Prevederi specifice pentru constructii cu pereti structurai de zidarie
(1) Pentru proiectarea peretilor structurali si a planseelor se vor respecta regulile generale de alcatuire de la Cap.5 ºi regulile specifice date ïn continuare pentru fiecare tip de alcatuire a peretilor structurali.
In cazul cladirilor cu plansee alcatuite din elemente liniare (care descarca pe o singura directie), indiferent de tipul zidariei (ZNA, ZC, sau ZIA), se vor prevedea masuri constructive pentru ancorarea, la fiecare planseu, a peretilor structurali exteriori dispusi paralel cu elementele principale ale planseului.
7.1.2.1. Prevederi specifice pentru constructii cu pereti structurali de zidarie nearmata (ZNA)
(1) La nivelul fiecarui planseu, indiferent de materialul din care este realizat acesta (beton armat sau lemn), se vor prevedea centuri de beton armat ïn planul peretilor, care vor ïndeplini condiþiile de la 5.2.4.
In cazul cladirilor cu mansarda sau cu pod necirculabil si cu sarpanta din lemn se vor prevedea centuri la partea superioara a tuturor peretilor care depasesc nivelul ultimului planseu.
Inaltimea minima a centurilor va fi egala cu grosimea placii planseului pentru peretii interiori si cu dublul acesteia pentru peretii de pe conturul cladirii si de la casa scarii.
(4) Latimea centurilor pentru peretii de fatada va fi egala cu grosimea peretelui dar cel putin 25 cm, daca centura este retrasa de la fata exterioara a peretelui pentru a se realiza izolarea termica a acesteia.
(5) Armarea longitudinala a centurilor se va face cu cel putin patru bare Ф≥0,10 mm, asigurand un procent de armare ³ 0,5% cu etrieri ïnchiºi Ф≥6 mm, dispusi la maximum 15 cm distanta ïn camp curent si la maximum 10 cm distanta pe zona de ïnnadire a armaturilor longitudinale.
(6) Centurile vor alcatui contururi ïnchise; acoperirea cu beton, ïnnadirea si ancorarea barelor din centuri se vor face luand ca document de referinta STAS 10107/0-90 si precizarilor de la 7.1.2.2.2.
(7) Peste golurile de usi si de ferestre se vor prevedea buiandrugi din beton armat, de regula, legati de centura de la nivelul planseului.
In conditiile stabilite la 6.3.1. (11), armarea elementului constituit din centura si buiandrug va satisface urmatoarele conditii:
- La partea superioara, armatura din centura definita la (5) va fi continua ïn rigla de cuplare;
- La partea inferioara procentul de armare va fi de 0,1% raportat la ïntreaga secþiune de beton;
- Pentru elementele a caror ïnaltime este > 700 mm se aplica prevederile luate din documentul de referinta STAS 10107/0/90.
- Armaturile transversale vor asigura o capacitate de rezistenta la forta taietoare cu cel putin 25% celei care rezulta din momentele de plastificare ale elementului calculate tinand seama de suprarezistenta armaturilor.
(9) Daca buiandrugul prevazut conform (7) nu este legat cu centura plan-seului, armarea acestuia se va determina numai pentru ïncercarile verticale aferente, luand ca referinïa conditiile din STAS 10107/0-90 pentru elemente neparticipante la preluarea eforturilor din cutremur.
Pentru cladirile amplasate ïn zone seismice cu ag ³ 0.12 g in zonele de legatura intre peretii perpendiculari (colturi, ramnificatii si intersectii) se vor prevedea armaturi in rosturile orizontale conform 7.1.2.2.3.(2) si (3).
7.1.2.2. Prevederi specifice pentru constructii cu pereti structurali de zidarie confinata (ZC)
7.1.2.2.1. Prevederi referitoare la stalpisorii de beton armat
(1) Sectiunea transversala a stalpisorilor va satisface urmatoarele conditii:
- Aria sectiunii transversale ³ 625 cm 25x25 cm;
- Latura minima ³ 25 cm.
(2) Armarea stalpisorilor va satisface urmatoarele conditii precum si conditiile suplimentare date in Codul P 100-1/2006, diferentiate in functie de valoarea acceleratiei seismice de proiectare (ag):
-Procentul de armare longitudinala va fi ³
-Diametrul barelor longitudinale va fi ³ 12 mm;
-Diametrul etrierilor va fi ³ 6 mm; etrierii vor fi dispusi la distante £ 15 cm, in camp curent si £ 10 cm pe lungimea de innadire a arma-turilor longitudinale.
(3) Barele longitudinale ale stalpisorilor de la ultimul nivel vor fi ancorate in centurile ultimului nivel conform cerintelor luate din documentul normativ de referinta STAS 10107/9-90.
Innadirea barelor longitudinale din stalpisori se va face prin supra-punere, fara carlige, pe o lungime ³ 50 Ф; оn sectiunea de la baza ( sec-tiunea de incastrare conform 6.3.1. (2)), suprapunerea barelor longitudinale ale stalpisorilor din suprastructura cu mustatile din socluri sau din peretii de subsol se va face pe o lungime ³
7.1.2.2.2. Prevederi referitoare la centuri
(1) Centurile vor fi continue pe toata lungimea peretelui si vor alcatui con-tururi inchise. La colturile, intersectiile si ramnificatiile peretilor structurali se va asigura legatura monolita a centurilor amplasate pe cele doua directii iar continuitatea transmiterii eforturilor va fi realizata prin ancorarea barelor longitudinale in centurile perpendiculare pe o lungime de cel putin 60 Ф.
(2) Centurile de la nivelul planseelor curente si cele de la acoperis nu vor fi intrerupte de goluri de usi si ferestre cu exceptia situatiilor mentionate la (3).
(3) Continuitatea centurilor poate fi intrerupta numai in urmatoarele situ-atii:
Centura planseului curent, in dreptul casei scarii, cu conditia sa se prevada:
stalpisori din beton armat la ambele margini ale golului;
o centura-buiandrug, la podestul intermediar, legata de cei doi stalpisori;
Centura peste zidul de la mansarda, in dreptul lucarnelor, cu conditia sa se prevada:
stalpisori de beton armat la ambele margini ale golului, cu armaturile longitudinale ancorate corespunzator in centura planseului inferior;
o centura peste parapetul de zidarie al ferestrei, legata de cei doi stalpisori.
(4) Sectiunea transversala a centurilor va satisface urmatoarele conditii:
- Aria sectiunii transversale ≥ 500 cm2 -25x25 cm;
- Latimea ≥ 25 cm dar ≥ ⅔ din grosimea peretelui;
Inaltimea ≥ 20 cm.
(5) Armarea centurilor va satisface urmatoarele conditii precum si conditiile suplimentare date in Codul P 100-1/2006, diferentiate in functie de valoarea acceleratiei seismice de proiectare (ag):
- Procentul de armare longitudinala ≥ 0.8%;
- Diametrul barelor longitudinale ≥ 10 mm;
- Diametrul etrierilor ≥ 6 mm; distanta intre etrieri ≤ 15 cm in camp curent si ≤ 10 cm pe lungimea de innadire a barelor longitudinale.
Innadirile barelor longitudinale din centuri se vor face prin supra-punere, fara carlige, pe o lungime de ≥ 60Ф. Sectiunile de innadire ale barelor din centura vor fi decalate cu cel putin 1.00 m; intr-o sectiune se vor innadi cel mult 50% din barele centurii.
In cazul sliturilor verticale realizate prin zidire, conform prevederilor de la 7.1.1.1. (2) continuitatea armaturilor din centuri care se intrerup va fi asigurata prin bare suplimentare avand o sectiune cu cel putin 20% mai mare decat cea a barelor intrerupte.
In cazul cladirilor cu sarpanta, in centurile de la ultimul nivel se vor prevedea piese metalice pentru ancorarea cosoroabelor sarpantei.
7.1.2.2.2. Prevederi referitoare la riglele de cuplare
In cladirile curente, riglele de cuplare vor fi legate monolit cu centura planseului.
(2) Lungimea de rezemare a riglelor de cuplare pe peretii de zidarie va fi ≥ 40 cm cu conditia satisfacerii cerintelor de la 6.8.4.
(3) Latimea riglelor de cuplare va fi egala cu grosimea peretelui. Pentru peretii de fatada se accepta o reducere de 5 cm pentru aplicarea protectiei termice.
(4) Armarea riglelor de cuplare se va stabili prin calcul astfel incat sa fie satisfacute cerintele de la 6.8.4. si conditiile minime de la (5).
(5) Armarea longitudinala minima a riglelor de cuplare va satisface urmatoarele conditii:
- La partea superioara, armatura va fi continua in rigla de cuplare;
- La partea inferioara procentul de armare va fi ≥ 0.1% raportat la intreaga sectiune de beton a riglei de cuplare;
- Pentru elementele a caror inaltime este > 700 mm se aplica prevederile documentului normativ de referinta STAS 10107/0/90.
(6) Armaturile transversale din riglele de cuplare vor fi calculate pentru forta taietoare determinata conform Codului P 100-1/2006.
7.1.2.2.4. Armarea zidariei in rosturile orizontale
(1) Rosturile orizontale ale zidariei vor fi armate, indiferent de rezultatele calcului cerut la 7.1.2.3. (2), pentru urmatoarele elemente ale cladirilor situate in zone seismice cu ag ≥ 0.12 g;
- Spaletii intre ferestre sau usi care au raportul inaltime/latime ≤ 2.5, daca nu sunt intariti cu stalpisori din beton armat la extremitati;
- Zonele de legatura intre peretii perpendiculari (intersectii, colturi si ramnificatii);
- Parapetii de sub ferestre.
(2) Armaturile de la (1) vor respecta conditiile de alcatuire de la 7.1.2.3. (3) si (4) iar la intersectii, colturi si ramnificatii vor depasi marginea nodului respectiv, pe toate directiile, cu cel putin 1.00 m.
7.1.2.3. Prevederi specifice pentru constructii cu pereti de zidarie confinata si armata in rosturile orizontale (ZC+AR)
(1) Alcatuirea constructiilor cu pereti structurali de zidarie confinata si armata in rosturile orizontale se va face conform regulilor de la 7.1.2.2. si cu respectarea urmatoarelor reguli specifice.
(2) Sectiunea armaturilor dispuse in rosturile orizontale ale zidariei va fi determinata prin calcul. Se vor prevedea in toate cazurile armaturi orizon-tale in elementele mentionate la 7.1.2.2.4. (1).
(3) Independent de rezultatele calculului, armaturile din rosturile ori-zontale vor satisface urmatoarele conditii:
- Distanta intre rosturile orizontale armate va fi ≤ 40 cm;
- Aria armaturilor dispuse intr-un rost orizontal va fi ≥ 1.0 cm2 (minimum 2Ф8 mm);
- Acoperirea laterala cu mortar a barelor din rosturi va fi conform 4.3.3.3. (5).
(4) Armaturile dispuse in rosturile orizontale vor fi ancorate in stalpisori sau prelungite in zidarie, dincolo de marginea opusa a stalpisorului, pentru a se realiza o lungime de ancoraj de cel putin 60Ф. Barele se vor fasona fara carlige.
7.1.2.4. Prevederi specifice pentru constructii cu pereti de zidarie cu inima armata (ZIA).
(1) Peretii de caramida din straturile marginale vor avea grosimea de minimum ½ caramida (minimum 115 mm), vor fi executati cu zidaria tesuta si vor avea rosturile verticale complet umplute cu mortar. Nu se accepta folosirea elementelor cu imbinare mecanica (nut si feder) pentru straturile marginale de zidarie.
(2) Grosimea stratului median, de beton sau mortar-beton (grout), va fi ≥ 10 cm.
(3) Armarea stratului median se va determina prin calcul.
(4) Procentele de armare minime ale stratului median, la parter pentru cladiri cu inaltimea ≥ P+2E vor respecta conditiile stabilite prin Codul P 100-1/2006 in functie de valoarea acceleratiei seismice de proiectare (ag) la amplasament. Diametrul barelor va fi ≥ 8 mm iar distanta intre bare va fi ≤ 15 cm.
(5) Pentru constructiile cu inaltime < P+2E, si pentru nivelurile de peste parter ale constructiilor cu inaltime ≥ P+2E, procentele minime de armare se vor regla cu 80% din valorile de la parter pentru cladirile ≥ P+2E. In acest caz diametrul barelor va fi ≥ 6 mm iar distanta intre bare va fi ≤ 1.5 t unde t este grosimea stratului median.
(6) Armarea cu plase STNB se poate face in conditiile stabilite in Codul P 100-1/2006. Armarea cu plase STNB nu se va folosi la peretii parterului, indiferent de numarul de niveluri al cladirii.
7.1.3. Prevederi constructive referitoare la plansee
(1) Grosimea placilor planseelor de beton armat va fi stabilita prin calcul tinand seama de:
Cerintele de rezistenta si de rigiditate;
Cerintele de izolare fonica.
Grosimea minima a placii va fi 13 cm.
(2) Dimensiunile elementelor planseelor din lemn vor fi verificate pentru cerintele de la (1) si, in plus, pentru cerinta de evitare/limitare a vibratiilor produse de miscarea persoanelor pe planseu.
In cazul planseelor din lemn se vor lua masuri pentru protectia la foc si pentru protectia impotriva daunatorilor (protectia biologica) conform reglementarilor in vigoare.
(4) Pentru planseele din beton armat se vor respecta prevederile constructive prezentate in documentul normativ de referinta STAS 10107/14.
(5) Pentru planseele prefabricate din beton armat se vor adopta numai imbinari de tip umed. Principiile si detaliile de alcatuire vor fi similare cu cele adoptate pentru planseele cladirilor cu pereti structurali de beton armat.
(6) Pentru preluarea eforturilor produse de incarcarile orizontale, in cazurile prevazute la 6.5. (5), in plansee se vor prevedea armaturile necesare, rezultate din calcul, pentru eforturile sectionale determinate conform 6.5.2.
7.2. Prevederi constructive privind infrastructura
(1) Pentru toate elementele de beton armat ale infrastructurii acoperirea cu beton, innadirea si ancorarea barelor se vor face luand ca document normativ de referinta STAS 10107/0-90.
In cazul amplasamentelor pe terenurile dificile de fundare, detalierea constructiva a infrastructurilor se va face conform reglementarilor specifice.
(3) In cazurile in care, conform prevederilor de la aliniatele urmatoare, soclul si/sau peretii de subsol pot fi executati din beton simplu, proiectantul va examina oportunitatea prevederii unei armaturi minime pentru preluarea eforturilor provenite din contractia betonului.
7.2.1. Fundatii
In cazul fundatiilor care sunt in contact cu pamanturi care contin compusi chimici agresivi fata de beton se vor lua masuri de asigurare a durabilitatii betonului prin unul sau prin ambele procedee indicate mai jos:
Folosirea cimenturilor rezistente la actiunea substantelor respective;
Acoperirea betonului cu pelicule de protectie rezistente la actiunea acestor agenti.
7.2.2. Socluri
(1) In cazurile in care se executa din beton simplu, la nivelul pardoselii parterului se va prevedea un sistem de centuri care va forma contururi inchise. Aria armaturilor longitudinale din aceste centuri va fi cu cel putin 20% mai mare decat aria armaturilor din centura cea mai puternic armata de la nivelurile supraterane de pe acelasi pe-rete. In cazurile in care inaltimea soclului, peste nivelul talpii de fundare, este ≥ 1.50 m se va prevedea si o centura la baza soclului cu aceiasi armatura ca si centura de la nivelul pardoselii.
(2) Continuitatea armaturilor din socluri nu va fi intrerupta de golurile pentru instalatii.
(3) Mustatile pentru elementele verticale de beton armat din supra-structura (stalpisori si stratul median al peretilor din ZIA) vor fi ancorate in soclu pe o lungime de minimum 60Ф≥ 1.0 m si vor fi fasonate fara carlige.
NOTẴ. Se recomanda ca aceste armaturi sa fie proiectate ca rezemate la baza soclului ( pe betonul de egalizare) deoarece armaturile plasate mai sus si a caror pozitie este asigurata numai prin legare cu sarma, cad in timpul vibrarii si astfel lungimile de suprapunere la parter devin insuficiente.
(4) Soclurile peretilor de contur vor fi protejate la exterior cu tencu-iala hidrofuga. Intre fata superioara a soclului si zidul din elevatie se va prevedea un strat de hidroizolatie rigida care va satisface cerintele de la 4.3.3.5. (1).
7.2.3. Pereti de subsol
(1) In cazul in care peretii de subsol se executa din beton simplu, in-diferent de rezultatele calcului, peretele de subsol va fi prevazut cu doua centuri, care vor forma contururi inchise pe ansamblul cladirii, amplasate la baza peretelui si la nivelul planseului peste subsol. Aria armaturilor longitudinale din fiecare dintre cele doua centuri va fi cu cel putin 20% mai mare decat aria armaturilor din centura cea mai puternic armata de la nivelurile supraterane de pe acelasi perete.
(2) Continuitatea armaturilor din centuri nu va fi intrerupta de golurile pentru instalatii.
(3) In cazul in care fundatiile se executa din beton simplu,armaturile din centurile prevazute la 7.2.2. (1) si respectiv 7.2.3. (1) vor fi majorate cu cel putin 20%.
(4) Mustatile pentru elementele verticale din suprastructura (stalpisori si stratul median al peretilor din ZIA) vor fi ancorate in centura inferioara a peretelui sau, dupa caz, vor fi innadite cu mustatile din talpa de fundare. Mustatile vor fi fasonate fara carlige. Continuitatea mustatilor pentru armaturile verticale nu va fi intrerupta de golurile pentru instalatii.
(5) Daca amplasarea favorabila a golurilor la subsol, conform reco-mandarilor de la 5.4.3. (4), nu poate fi realizata, in cazul cladirilor situate in zone cu ag ≥ 0.24 g, rezistenta zonelor slabite va fi verificata prin calcul pe un model care va lua in considerare conlucrarea peretelui de subsol cu cel din suprastructura si cu terenul de fundare.
(6) Armarea peretilor de subsol se va determina prin calcul. Indiferent de rezultatele calculului procentele minime de armare vor fi:
Vertical: 0.20%;
- Orizontal: 0.15%;
(7) Golurile de usi si ferestre de beton armat vor fi bordate cu armaturi verticale ale caror sectiune totala va fi cu cel putin 20% mai mare decat sectiunea armaturilor intrerupte de gol. Ancorarea acestor armaturi dincolo de marginea golurilor se va face pe o lungime ≥ 50Ф.
In dreptul golurilor de usi, forta taietoare din sectiunile de beton (buiandrug si centura inferioara) va fi preluata integral cu armaturi verticale sau etrieri.
(9) Golurile de usi si de ferestre din peretii de beton simplu din subsol vor fi bordate dupa cum urmeaza:
- Armaturi verticale ≥ 4Ф12 PC 52 / 4Ф14 OB 37;
- Armaturi in plinurile orizontale calculate pentru efectele locale (reactiunea terenului/incarcarea adusa de planseu/perete de subsol/perete din suprastructura.
(10) Peretii de contur de la subsol vor fi prevazuti cu hidroizolatie verticala impotriva apelor de infiltratie.
(11) Peretii de contur si cei interiori de la subsol vor fi prevazuti cu hidroizolatie orizontala impotriva ascensiunii capilare a apei subterane.
Hidroizolatia va fi de regula, de tip tencuiala rigida pentru a permite realizarea continuitatii mustatilor verticale pentru armarea peretilor de subsol.
7.2.4. Plansee la infrastructura
(1) Placile de beton armat pentru pardoseala de la parter (la cladiri fara subsol) si pentru pardoseala de la subsol vor fi prevazute cu izolatie termica conform reglementarilor specifice si cu un strat de rupere a capilaritatii pentru a impiedica ascensiunea apei subterane.
(2) Stratul de rupere a capilaritatii va fi executat din pietris.
(3) Betonul va fi turnat pe un strat de folie din material plastic sau de carton pentru a se evita pierderea apei din betonul proaspat.
(4) In cazul in care pe placa suport a pardoselii de la subsol sunt rezemati pereti nestructurali se vor respecta prevederile de la 5.4.1. (3).
7.3. Prevederi constructive pentru elementele nestructurale din zidarie
7.3.1. Prevederi constructive pentru peretii exteriori nestructurali (de fatada).
(1) Peretii exteriori nestructurali, care nu constituie panouri de umplutura la cadre (de exemplu, pereti rezemati pe console, pereti cu goluri mari), executati din zidarie de caramida/blocuri vor fi proiectati pentru a rezista efectelor:
Actiunii seismice perpendiculara pe plan;
Presiunii vantului;
Deplasarile relative de nivel determinate conform Cap.10 din Codul P 100-1/2006.
(2) Peretii exteriori netrsucturali din zidarie mentionati la (1) vor fi prevazuti, dupa caz, cu stalpisori ancorati in structura principala si cu centuri. In cazul structurilor alcatuite din cadre de beton armat, sistemul de stalpisori si centuri va fi proiectat astfel incat sa se evite formarea stalpilor scurti. In cazul peretilor rezemati pe console se va tine seama si de prevederile din Codul P100-1/2006, cap. 10.
(3) Peretii exteriori nestructurali din zidarie care constituie panouri de umplutura in cadrele de beton armat sau de otel vor fi proiectati conform prevederilor 6.6.5. din prezentul Cod. Ancorarea de structura principala a acestor pereti se va face astfel incat sa nu se formeze stalpi scurti, prin introducerea unor legaturi orizontale (centuri) suplimentare.
7.3.2. Prevederi specifice pentru peretii interiori nestructurali (de compartimentare)
(1) Pentru proiectarea peretilor despartitori din zidarie executata cu elemente din toate grupele mentionate la 3.1.2.2. se va tine seama de cerintele Codului P100-1/2006, cap.10 si de prevederile aliniatelor urmatoare.
(2) Pentru proiectarea peretilor de compartimentare se vor lua in considerare urmatoarele categorii de incarcari perpendiculare pe planul peretelui:
Forta seismica perpendiculara pe plan determinata conform Codului P100-1/2006, cap.10;
Incarcarile de exploatare (utile), mentionate la 6.2.1. (3).
(3) Momentele incovoietoare de proiectare se vor determina conform 6.4.2.
(4) Peretii despartitori pot fi executati din zidarie simpla daca eforturile unitare normale, calculate cu momentele incovoietoare determinate conform (3), sunt mai mici, cel mult egale, cu rezistentele de proiectare la intindere din incovoiere perpendicular pe planul peretelui (fxd1, fxd2) date la 4.1.1.3.2.
(5) Indiferent de rezultatele calculului, legatura peretelui despartitor cu un perete de zidarie perpendicular (chiar daca este asigurata prin tesere) sau cu elementele verticale de beton armat adiacente (stalpi sau pereti structurali) va fi asigurata suplimentar prin armaturi (minimum doua bare d=6 mm OB37/500 m).
In cazul in care eforturile unitare normale din incovoiere perpendicular pe planul peretelui au valori mai mari decat valorile de proiectare fxd1, fxd2, se pot adopta urmatoarele solutii:
Peretele se armeaza in rosturile orizontale daca, din calcul, rezulta ca ruperea se produce in plan perpendicular pe rosturile orizontale in campul peretelui si la reazame (aceasta solutie este recomandata in special in cazul peretilor realizati cu elemente cu imbinare verticala mecanica-nut si feder);
Dimensiunile panoului se reduc prin centuri si stalpisori intermediari astfel incat eforturile unitare efective sa devina mai mici decat eforturile unitare de calcul; centurile si stalpisorii vor fi ancorati de structura principala si vor fi dimensionati pentru a prelua incarcarile laterale ale panourilor de zidarie.
(7) Peretii despartitori din zidarie care nu pot fi fixati la nivelul tavanului (peretii cu inaltime mai mica decat cea a etajului- la grupurile sanitare, de exemplu) vor fi legati intre ei si lateral de structura principala. Legatura se va realiza prin tesere sau cu piese metalice-bolturi impuscate-daca elementele laterale sunt pereti din beton armat.
La partea superioara a acestor pereti se va turna o centura din beton armat dimensionata astfel incat sa poata prelua si transmite la structura principala eforturile datorate incarcarilor aplicate normal pe planul peretelui. Armaturile acestei centuri vor fi ancorate corespunzator in ele-mentele de beton sau in zidaria peretilor adiacenti.
In cazul in care peretii despartitori cu inaltime partiala constituie panouri de umplutura in cadre de beton armat, centurile nu vor fi legate de stalpii structurii principale pentru a se evita scurtarea acestora.
7.3.3. Prevederi specifice pentru calcane, timpane si alte elemente de zidarie care lucreaza in consola.
(1) Rezistenta si stabilitatea elementelor de zidarie minore (cu di-mensiuni si mase reduse) care lucreaza in consola, rezemate pe planseele cladirilor cu structura din zidarie sau din beton armat (atice, parapeti la balcoane sau scari , parapeti interiori intre spatii denivelate) vor fi verificate prin calcul conform prevederilor de la 6.6.6. pentru incarcarile de exploatare orizontal prevazute in documentul normativ de referinta STAS 101010/2A1-87 si pentru fortele seismice stabilite conform Codului P100-1/2006 cap.10.
(2) Grosimea acestor elemente nu va fi mai mica de 1/8 din inaltime.
(3) Stabilitatea elementelor minore din zidarie va fi asigurata prin:
Pilastri/ingrosari locale din zidarie, conform 6.6.2.1.3. (3) si (4);
Stalpisori intermediari din beton armat cu armaturi ancorate in elementele structurii principale (centuri sau placi) sau in stalpisorii nivelului inferior;
Centuri de beton armat la partea superioara.
(4) Pentru reducerea eforturilor datorate variatiilor de temperatura, lungimile aticelor din zidarie cu grosime ≤ ½ caramida, se vor limita la 20.0 m; in aticele de lungimi mai mari se vor prevedea rosturi de dilatare.
(5) Stabilitatea cosurilor de fum sau de ventilatie din zidarie va fi asi-gurata prin:
Acoperirea zidariei cu tencuieli armate avand barele verticale ancorate in planseul de la ultimul nivel; armaturile vor fi determinate prin calcul pentru forta seismica de proiectare stabilita conform Codului P 100-1/2006, cap.10;
Bordarea exterioara cu profile laminate ancorate in planseu si acoperite cu tencuiala;
Ancorarea cosurilor, peste jumatatea inaltimii, cu tiranti prinsi de bride metalice si fixati in planseul ultimului nivel.
(6) Mortarul zidariei pentru cosurile de fum va fi realizat cu cimenturi rezistente la actiunea chimica a gazelor arse.
(7) In cazul cladirilor cu pereti structurali din zidarie de BCA, cosurile de fum si de ventilatie vor fi realizate din elementele ceramice sau din beton greu si nu vor fi legate de peretele structural din BCA.
(8) Elementele de zidarie majore-cu dimensiuni si mase mari-(calcane, frontoane, timpane) care lucreaza in consola, peste nivelul ultimului planseu, vor fi asigurate impotriva rasturnarii prin:
Ancorarea de sarpanta cladirii daca, se poate asigura sarpantei rezistenta si rigiditatea suficiente pentru a rezista fortelor de rasturnare.
Continuitatea stalpisorilor de la etajul inferior;
Prevederea speciala a unor stalpisori de beton armat in zidaria de la ultimul nivel al cladirilor din ZNA daca armaturile stalpisorilor din elemente in consola nu pot fi ancorate in centurile ultimului planseu;
Legea stalpisorilor cu o centura de beton armat la partea superioara; daca zidaria in consola are inaltime mai mare-orientativ peste 2.0 m-se va prevedea si o centura intermediara pentru fragmentarea panoului.
(9) Dimensiunile stalpisorilor prevazuti conform (3) si (8), distantele intre acestia si armaturile respective se vor determina prin calcul pentru ac-tiunea incarcarilor laterale de proiectare mentionate la 6.2.1. (3);
(10) Cornisele si braurile de pe fatade pot fi realizate prin zidarie daca partea de consola nu depaseste ½ din grosimea peretelui. Pentru consolele mai mari, stabilitatea va fi asigurata prin elemente de beton armat si se va verifica prin calcul.
CAPITOLUL 8. EXECUTIA CONSTRUCTIILOR DIN ZIDARIE
8.1. Generalitati
(1) Toate materialele utilizate precum si modul de realizare a zidariei trebuie sa fie conform specificatiei din proiect. In documentatie se va specifica in mod obligatoriu calitatea materialelor ce trebuie utilizate la executie. Modificarea prevederilor referitoare la materialele specificate se va face numai cu acordul scris al proiectantului.
(2) Se vor lua masuri adecvate pentru asigurarea stabilitatii peretilor individuali si a structurii in ansamblu pe toata durata de executie a lucrarilor. Se va tine seama atat de lucrarile de scurta durata (perioada unui schimb) cat si de lucrarile de lunga durata (pe perioada de realizare a structurii de rezistenta).
8.2. Materiale
8.2.1. Acceptare, manipulare si depozitarea materialelor
(1) Manipularea si depozitarea materialelor si a produselor de zidarie pentru realizarea peretilor trebuie facuta, in asa fel incat, acestea sa nu se degradeze si sa devina inutilizabile pentru scopul propus.
(2) Acolo unde se cere in mod expres prin caietul de sarcini materiale vor fi testate inainte de punerea in opera.
(3) Diferitele materiale vor fi depozitate separat in conformitate cu specificatiile proprii ale acestora.
8.2.2. Armaturi
(1) Suprafata armaturilor trebuie examinata inainte de utilizare si nu trebuie sa contina materiale corosive sau grasimi, ce pot afecta otelul din bare si conlucrarea dintre acestea si mortarul sau betonul de acoperire.
(2) Armaturile care vor fi puse in opera trebuie sa fie foarte bine identificate si depozitate la sol, astfel incat sa nu fie murdarite cu pamant, ulei, grasimi sau vopseluri in timpul operatiunilor de manipulare si depozitare.
(3) La depozitarea armaturilor se va urmari evitarea posibilitatii de intrare in contact a acestora, pentru o perioada mai indelungata, cu materiale corosive sau cu apa.
8.2.3.Prepararea materialelor
8.2.3.1. Prepararea mortarelor si betoanelor la santier. Generalitati
(1) Prepararea mortarelor si a betoanelor la santier se va realiza utilizand retetele prescrise, pentru atingerea caracteristicilor de proiectare. In cazurile in care in documentatia de proiectare nu sunt date retetele de preparare se va realiza o specificatie conform codurilor de produse, iar materialele rezultate vor fi testate in laboratoare acreditate.
(2) Acolo unde sunt specificate teste de santier, acestea se vor efectua conform specificatiei de proiectare. In cazul in care se constata abateri de la caracteristicile asteptate, specificatiile de santier pot fi modificate numai cu acordul proiectantului.
8.2.3.1.1. Continut de clor
La prepararea mortarelor se va avea in vedere eventualul continut de ioni de clor din mortar, care trebuie sa se inscrie in valorile permise de reglementari. La preparare se recomanda utilizarea unei surse de apa controlate.
8.2.3.1.2. Rezistenta la compresiune a mortarelor
In cazurile in care documentatia de proiectare prevede urmarirea proprietatilor mortarelor, probele se vor preleva si testa luand ca docu-ment normativ de referinta SR EN 1015-11.
8.2.3.1.3. Aditivi
In cazul in care in proiect nu sunt date indicatii speciale, la prepararea mortarelor aditivii (coloranti, aditivi de lucrabilitate, etc) pot fi utilizati numai cu acordul proiectantului.
8.2.3.1.4. Dozare
(1) Dozarea retelelor pentru mortare si betoane poate fi data prin masu-rarea materialelor componente in greutate sau in volum in proportiile din specificatie.
(2) La prepararea betoanelor se va tine seama de raportul apa-ciment, luand in considerare absortia de apa a elementelor pentru zidarie.
8.2.3.1.5. Metode si timp de preparare
(1) Metoda si timpul de preparare trebuie sa asigure omogenitatea materialului. O atentie deosebita starii de curatenie a materialelor com-ponente pentru a se evita amestecarea cu alte materiale.
(2) Prepararea manuala a amestecului va fi permisa, acolo unde pre-pararea mecanica nu poate fi utilizata, numai daca aceasta posibilitate este prevazuta prin documentatia de proiectare.
(3) Timpul de omogenizare va fi specificat in conformitate cu standardul de produs si va tine cont de posibilitatea de adaugare a componentelor in malaxor.
(4) Mortarele si betoanelor trebuie preparate astfel incat sa aiba sufi-cienta lucrabilitate si sa nu se produca segregari la transportul de la locul de preparare pana la santier si nici cand betonul este compactat.
8.2.3.1.6. Perioada de priza
(1) La preparare, mortarele si betoanele vor contine ciment si apa in proportiilr specificate in reteta. Pana la utilizare nu se mai accepta adaugarea de ciment sau apa peste materialul preparat. Pentru mortare, se accepta in mod exceptional adaugarea de apa pentru a inlocui apa pierduta prin evaporare.
(2) Se interzice utilizarea mortarelor si betoanelor dupa inceperea prizei.
8.2.3.1.7. Utilizarea apei calde la preparare
(1) La prepararea amestecului nu se va utiliza apa, nisip sau agregate care contin particule de gheata.
(2) Materialele anti-inghet vor fi folosite pe timp friguros numai daca aceasta posibilitate este prevazuta in documentatia de proiectare.
8.2.3.2. Utlizarea mortarelor predozate
(1) Utilizarea mortarelor predozate se va face in conformitate cu ins-tructiunile producatorului referitoare la timpul si modul de preparare.
(2) Mortarele se vor amesteca pana la obtinerea unui material omogen.
(3) Echipamentele, procedurile si aditivii se vor utiliza la santier numai in conformitate cu instructiunile tehnice ale producatorilor.
(4) Mortarele preparate vor fi utilizate in conformitate cu documentatia de proiectare.
8.3.Executarea zidariilor
8.3.1. Generalitati
(1) Elementele pentru zidarie vor fi pozitionate si tesute in conformitate cu regulile generale de executie sau in conformitate cu documentatia din proiect daca prin aceasta sunt date prevederi speciale. Regulile generale si tipurile de tesere a zidariei la intresectii si colturi, se vor prezenta in Codul de buna practica pentru realizarea zidariilor, ce va aparea ulterior.
(2) Elementele pentru zidarie se vor taia astfel incat sa permita obtinerea dimensiunilor, formelor si suprafetelor corecte. Se recomanda ca taierea corpurilor sa fie redusa la minimum. La elementele din argila arsa cu pereti subtiri din grupa 2S se vor folosi jumatatile de bloc din sortimentul producatorului.
(3) Inaintea de punerea in opera, corpurilor de zidarie vor avea umiditatea corespunzatoare pentru a asigura o buna aderenta a mortarului. Corpurile vor fi tinute in apa sau se vor uda cu furtunul in palet pentru a corecta umiditatea acestora.
(4) Consistenta mortarului va fi stabilita astfel incat sa se realizeze o grosime corecta a acestuia in rosturi si va fi adaptata tipului de material din elementele pentru zidarie. Dupa caz, se pot utiliza mortare cu aditivi pentru retinerea apei.
8.3.2. Rosturi.
8.3.2.1. Generalitati
(1) Rosturile verticale si orizontale vor fi executate conform docu-mentatiei din proiect.
(2) Rosturile vor avea o grosime si un aspect uniform, daca nu este specificat altfel prin proiect.
(3) Rosturile verticale vor fi complet umplute cu mortar, cu exceptia elementelor cu imbinare de tip nut si feder/lamba si uluc pentru care se va tine seama de instructiunile din agrementele tehnice corespunzatoare.
8.3.2.2. Rostuirea in timpul executiei zidariei
In cazurile prevazute in proiect, zidaria se va executa cu rosturi aparente. In rosturile aprente fata expusa a mortarului din rost va fi prelucrata in timpul cat mortarul este inca plastic pentru a realiza o fasa finisata, astfel incat sa se asigure caracteristicile de durabilitate si rezistenta la ploaie ale peretelui. Daca este specificat in proiect, rosturile se pot umple la fata expusa cu mortar de marca superioara.
(2) Pentru peretii cu grosimea mai mica de 200 mm, rosturile nu vor avea o adancime mai mare de 5 mm, decat daca in proiect este prevazuta o alta adancime.
8.3.2.3. Rostuire la zidarie existenta
(1) Daca rostuirea se executa dupa realizarea zidariei, folosind materiale de adaos, acestea trebuie sa aiba proprietati asemanatoare cu cele ale mortarului folosit in rosturile zidariei.
In acest caz rostul se va curata prin scoaterea mortarului existent, astfel incat fetele zidariei sa fie curate, pe o adancime de cel putin 15 m, dar nu mai mult de 15% din grosimea peretelui, iar apoi se va umple cu mortar.
Inainte de rostuire, mortarul neaderent se va indeparta, iar suprafetele adiacente rostului se vor uda cu apa.
8.3.2.4. Legaturile peretilor
(1) Peretii vor fi tesuti si legati conform regulilor generale de executie sau in conformitate cu documentatia din proiect daca prin acestea sunt date prevederi speciale.
(2) Daca peretii sunt realizati din mai multe straturi care trebuie sa conlucreze, de exemplu, peretii dubli cu gol interior sau peretii cu zidarie de placaj, acestea se vor lega conform documentatiei din proiect.
(3) Elementele de legatura pentru peretii dubli cu gol interior, vor fi pozitionate si inglobate luand ca document normativ de referinta SR-EN 845-1 si se vor lua masuri care sa impiedice trecerea apei de la un strat al peretelui la altul.
(4) Peretii de placare vor fi legati de peretele pe care sunt aplicati conform documentatiei din proiect.
8.3.2.5. Montarea armaturilor
(1) Armaturile vor fi montate in conformitate cu detaliile din proiect, cu specificatiile si tolerantele corespunzatoare.
(2) Se vor folosi, acolo unde este necesar, agrafe si distantieri pentru legarea armaturilor in pozitiile corespunzatoare, astfel incat sa se asigure acoperirile de beton specificate in proiect.
(3) Inadirea barelor se va realiza in pozitiile indicate in proiect.
(4) Armaturile se vor lega provizoriu cu sarma in vederea mentinerii pozitiei corecte a acetora, pe parcursul punerii in opera a betonului sau mortarului.
8.4. Protectia zidariei nou executate
8.4.1. Generalitati
(1) Zidariile nou executate, vor fi protejate impotriva degradarilor meca-nice (socuri, vibratii etc.) si a efectelor climatice (ploaie, insorire, vant, inghet, etc).
(2) Zidaria nou executata va fi protejata la partea superioara pentru prevenirea spalarii mortarului din rosturi de catre apele pluviale, pentru a impiedica iesirea varului din mortar (eflorescenta) si pentru a preveni degradarea materialelor care nu sunt rezistente la apa.
8.4.2. Protectia zidariei
Pentru zidaria nou executata nu este permisa uscarea rapida. In acest scop trebuie luate masurile corespunzatoare pentru a mentine o umiditate suficienta pana cand zidaria va avea o rezistenta corespunzatoare, in special in conditii nefavorabile, cum ar fi umiditatea scazuta, temperaturi inalte si/sau curenti de aer puternici.
8.4.3. Protectia impotriva inghetului
In cazul executarii pe timp friguros, se vor lua toate masurile prevazute in reglementarile specifice pentru evitarea degradarii zidariei datorita inghetului.
8.4.4. Incarcarea zidariei
(1) Zidaria nou executata nu va fi supusa incarcarilor decat atingerea unei rezistente corespunzatoare pentru a putea suporta incarcarea fara degradari.
(2) Umplutura din spatele unui zid de sprijin din zidarie nu se va face decat dupa ce zidaria peretelui este capabila sa preia impingerile rezultate din operatia de umplere, tinand seama de fortele datorate compactarii sau vibratiilor.
(3) O atentie deosebita trebuie acordata peretilor care raman, temporar, necontravantuiti in timpul executiei si care pot fi supusi la incercari din vant, sau la unele actiuni care pot aparea in timpul executiei; daca este necesar, se vor prevedea sprijiniri temporare, pentru mentinerea stabilitatii.
8.4.5. Abateri limita
(1) Zidaria va fi executata cu fetele laterale plane si verticale si cu rosturile orizontale, daca nu sunt prevazute astfel in proiect.
(2) Abaterile limita pentru constructiile din zidarie sunt date in tabelul 9.1. din prezentul Cod.
8.4.6. Alte detalii de executie
8.4.6.1. Rosturi de moratar care permit deplasari
Conditiile de folosire si detaliile pentru acest tip de rosturi se vor da in reglementari specifice (Normativ/Agrement tehnic) elaborate si aprobate conform legislatiei din Romania.
8.4.6.2. Inaltimea zidariei
Inaltimea zidariei realizata intr-un schimb, va fi limitata, astfel incat sa se evite pierderea stabilitatii acesteia si supraincarcarea mortarului proaspat; pentru determinarea inaltimii maxime a zidariei executate intr-un schimb vor fi luate in considerare, grosimea zidariei, tipul mortarului, forma si densitatea corpurilor de zidarie si gradul de expunere la vant.
8.4.6.3. Pereti dubli cu beton armat de umplutura (zidarie cu inima armata)
(1) La executia peretilor dubli cu stratul median din beton armat, inainte de inceperea betonarii, se va curata spatiul interior de resturi de mortar si de alte impuritati.
(2) Betonarea se va realiza in straturi, astfel incat sa se asigure umplerea completa a golului si sa se evite segregarea betonului. Ordinea operatiilor trebuie sa fie stabilita astfel incat zidaria sa aiba o rezistenta adecvata pentru a rezista la presiunea datorata betonului proaspat.
(3) Compactarea betonului se va realiza numai manual fiind interzisa folo-sirea vibrarii.
8.4.6.4. Zidarie confinata
(1) Zidaria confinata se va realiza conform documentatiei din proiect.
(2)Compactarea betonului se va realiza numai manual, fiind interzisa folosirea vibrarii.
8.4.6.5.Tiranti din otel si accesorii
(1) Tirantii, placile, dispozitivele de ancorare etc. se vor manipula si depozita astfel incat sa se evite deteriorarea lor prin agenti mecanici si fizico-chimici.
(2) Zidaria cu tiranti din otel se va realiza conform specificatiilor.
CAPITOLUL 9. CONTROLUL PROIECTARII SI EXECUTIEI CONSTRUCTIILOR DIN ZIDARIE
9.1. Controlul proiectarii
(1) Constructiile de zidarie se vor executa pe baza unui proiect autorizat de catre organele de drept in conformitate cu cerintele Legii nr.10/1995, cu modificarile si completarile ulterioare.
(2) Cu exceptia constructiilor de mica importanta prevazute de lege toate proiectele vor fi verificate de catre verificatori tehnice atestati.
(3) Proiectele de executie trebuie sa contina prevederi clare si explicite in ceea ce priveste completitudinea datelor necesare executarii lucrarilor (criterii de performanta cu niveluri/clase de performanta stabilite, conditii, etc).
(4) Proiectul trebuie sa contina, direct sau prin trimiteri la reglementari tehnice aplicabile:
Nivelurile de performanta pentru toate caracteristicile/ criteriile de performanta precizate in caietele pe categorii de lucrari aplicabile;
Punctele de oprire (fazele determinanate), cu marimile care se verifica, valorile de control si conditiile pentru continuarea lucrarilor; fazele/etapele care devin lucrari ascunse si pentru care trebuie sa fie facuta receptia.
9.2. Controlul executiei
9.2.1. Verificari de efectuat pe parcursul executarii lucrarilor
(1) Toate elementele pentru zidarie care se folosesc la executarea zidariilor si peretilor se vor pune in opera numai dupa ce conducatorul tehnic al lucrarii a verificat ca ele corespund cu prevederile proiectului si prescriptiilor tehnice. Verificarile se fac pe baza documentelor care atesta calitatea materialelor si le insotesc la livrare (certificatele de calitate, fise de transport), prin examinarea vizuala si masuratori.
(2) La elementele pentru zidarie se vor verifica dimensiunile, marca, clasa si calitatea functie de conditiile tehnice cerute pentru fiecare material.
(3) Caramizile refractare presupun o sortare prealabila pe calitati si dimensiuni, grupate pe tolerante. Se va evita asezarea caramizilor cu defecte sau prelucrate in prealabil prin taiere, cioplire sau slefuire spre interior.
(4) Verificarea mortarului si a betonului provenit de la statii sau centrale de beton se face pe baza fisei de transport in care se precizeaza marca, consistenta si continutul de agregate mari, temperatura, precum si prin incercari pentru controlul realizarii marcii.
(5) Verificarea armaturilor se va face sub raportul diametrelor, sortimen-tului si alcatuirilor plaselor sudate prin puncte.
(6) Pentru gheremele si buiandrugi, verificarea se face bucata cu bucata.
In cazul in care calitatea materialului este sub nivelul cerintei proiec-tantului, utilizarea lui in lucrare se va face doar cu avizul beneficiarului (diriginte, consultant) si proiectantului efectuandu-se si incercari de laborator suplimentare.
(8) Verificarea calitatii zidariilor si peretilor se face pe tot timpul executiei lucrarilor de catre seful de echipa, maistru, iar la lucrari ascunse si de catre conducatorul tehnic si reprezentantul beneficiarului.
Nota: Verificarile se fac vizual si prin masuratori.
(9) Controlul asupra calitatii materialelor in momentul punerii in opera va consta in urmatoarele:
a.) Zidarii:
Se va examina starea suprafetelor caramizilor, blocurilor, placilor de b.c.a, ipsos, s.a. interzicandu-se folosirea celor acoperite de praf, im-puritati sau gheata.
Se va verifica in special, pe timp calduros, daca se uda elementele pentru zidarie inainte de punerea in opera;
Pe masura executarii lucrarilor, se va verifica daca procentul de fractiuni de caramizi fata de cele intregi nu depasesc limita maxima de 15%.
Se va examina starea suprefetelor caramizilor si blocurilor refractare, interzicandu-se folosirea celor cu stirbituri sau cu colturi rupte.
Se va verifica modul de conservare a produselor refractare magnezitice (foarte higroscopice) interzicandu-se utilizarea acelor caramizi care au devenit friabile prin depozitarea necorespunzatoare.
Prin masuratori cu conul etalon, se va verifica la fiecare punct de lucru si la fiecare sarja de mortar, cat mai frecvent, daca consistenta mortarului de zidarie se inscrie in limitele prevazute in tehnologia de lucru:
- 813 cm la zidarie din caramizi pline si blocuri din beton cu agregate grele si usoare;
- 78 cm la zidaria din caramizi si blocuri cu goluri verticale si orizontale;
- 1011 cm la zidaria din blocuri mici si placi de beton celular auto-clavizat;
- 11.13 cm la pasta de ipsos pentru placi si fasii de ipsos;
Ghermelele se vor executa bucata cu bucata, verificandu-se forma, dimensiunile lor, protectia impotriva umiditatii.
b.) Pereti despartitori:
Se va verifica posibilitatea de tesere a zidariei pentru peretii despartitori de zidaria structurala;
Zidaria se va tese la colturi si intersectii sau vor fi utilizate ancoraje din otel beton prevazute in rosturile orizontale;
Se va examina starea suprafetelor placilor si fasiilor de beton celuler autoclavizat, placilor si fasiilor de ipsos, interzicandu-se folosirea celor fisurate si acoperite cu praf sau alte impuritati;
Ghermelele se vor verifica bucata cu bucata verificandu-se forma, dimensiunile lor si protectia impotriva umiditatii.
(10) Executarea zidariilor si peretilor nu se va putea incepe decat dupa ce se va fi verificat existenta proceselor verbale de lucrari ascunse, care sa ateste ca suportul peste care se executa zidaria corespunde prevederilor proiectului si prescriptiilor tehnice res-pective.
(11) Verificarea calitatii executiei zidariilor consta din urmatoarele:
Prin masuratorile la fiecare zid se va verifica daca rosturile verticale sunt tesute la fiecare rand astfel ca suprapunerea caramizilor din 2 randuri succesive pe inaltime sa se faca pe minimum ¼ caramida in lungul zidului ºi ½ caramida pe grosime; la blocurile ceramice, din beton cu agregate usoare si din beton celular autoclavizat se va verifica daca rosturile verticale sunt tesute la fiecare rand ca suprapunerea blocurilor sa se faca pe ½ din bloc;
La zidaria executata din placi de beton celular autoclavizat sau din ipsos se va verifica daca teserea verticala s-a facut la fiecare rand, iar suprapunerea placilor s-a facut pe ½ placa;
Se vor verifica grosimile rosturilor verticale si orizontale ale zidariei prin masurarea a 5-20 rosturi la fiecare zid; media aritmetica a masuratorilor facute cu precizie de 1 mm trebuie sa se inscrie in limitele abaterilor admisibile din Tabelul 1;
Vizual se va verifica in toate zidurile daca toate rosturile verticale si orizontale sunt umplute cu mortar, cu exceptia adancimii de 1 1,5 cm de la fetele vazute ale zidariei, nu se admit rosturi neumplute; la peretii din placi de ipsos rosturile se umplu complet cu pasta de ipsos;
Orizontalitatea randurilor de zidarie se va verifica cu ajutorul furtunului de nivel si a dreptarului pe cant, la toate zidurile;
Modul de realizare a legaturilor zidariilor se va verifica la toate colturile, ramnificatiile si intersectiile, asigurandu-se executarea lor conform cu pre-cederile din prezentul Cod;
Grosimea zidariilor se va verifica la fiecare zid in parte. Verificarea gro-simii zidariei se va face prin masurarea cu precizie de 1 mm a distantei pe orizontala dintre doua dreptare aplicate pe ambele fete ale zidului. Masurarea grosimii se face la 3 inaltimi sau puncte diferite ale zidului, iar media aritmetica a rezultatelor se compara cu grosimea prevazuta in proiect.
Verticalitatea zidariei (suprafetelor si muchiilor) se verifica cu ajutorul firului de plumb si dreptarului cu lungimea de cca.2,5 m, verificarea se face in cate 3 puncte pe inaltime la fiecare zid;
Planeitatea suprafetelor si rectilinitatea muchiilor se va verifica prin apli-carea pe suprafata zidului a unui dreptar cu lungimea de cca 2,5 m si prin masurarea cu precizia de 1 mm a distantei dintre rigla si suprafata sau muchia respectiva. Verificarea se face la toate zidurile;
Lungimea si inaltimea tuturor zidurilor, dimensiunile golurilor si ale plinurilor dintre goluri se verifica prin masurarea directa cu ruleta sau cu metrul. Media a 3 masuratori se compara cu dimensiunile din proiect.
(12) La zidaria armata, pe langa cele aratate la (11) se verifica urma-toarele:
Se va verifica daca armarea zidariei sau cu plase sudate prin puncte se face in sectiunile prevazute in proiect;
Prin masuratori cu precizie de 1 mm se va verifica grosimea rosturilor orizontale, tinand seama ca acestea trebuie sa fie egale cel putin cu suma grosimilor a 2 bare + 4 mm; totodata se va controla daca straul de mortar de acoperire a armaturii in dreptul rosturilor este din ciment si are cel putin 2 cm grosime.
(13) La zidaria confinata se va verifica la fiecare stalpisor din beton armat urmatoarele:
Trasarea pozitiei stalpisorilor;
Sortimentul si diametrele armaturilor;
Dimensiunile si intervalele dintre strepii de zidarie ( atunci cand a-cestia sunt prevazuti in proiect);
Pozitionarea corecta pe inaltimea zidariei a armaturilor din rosturile orizontale prin care se realizeaza legatura dintre stalpisori si zidarie;
Cofrarea si betonarea stalpisorilor.
(14) La zidaria cu inima armata se va acorda o atentie deosebita realizarii tuturor legaturilor dintre ziduri de caramida si cel de beton.
(15) Pentru elementele de beton armat care intra in componenta zidariilor se aplica in mod corespunzator si prevederile din NE 012/1999.
(16) La zidaria de umplutura si la lucrarile de placare a fatadelor cu placi de BCA verificarile constau in urmatoarele:
Se va verifica daca ancorarea zidariei si a placajelor de stalpi si pereti structurali se executa conform prevederilor proiectului in ceea ce priveste diametrele si numarul barelor de ancorare sau dimensiunile platbandelor, sectiunile in care se face ancorarea, modul de fixare a ancorajelor de elementele de beton armat.
Se va verifica vizual daca zidaria a fost bine impanata intre plansee, iar rosturile verticale dintre zidarie si stalpi sau peretii structurali sunt umplute complet cu mortar , se va controla daca suprafetele stalpilor sau peretilor structurali din beton armat care vin in contact cu zidaria se amorseaza cu mortar de ciment.
(17) Rezultatele tuturor verificarilor prevazute in acest capitol si care se refera la zidarii portante, ce urmeaza a se tencui se inscriu in procese verbale de lucrari ascunse. De asemenea, se inscriu in procese verbale de lucrari ascunse, rezultatele verificarilor care au rol de izolare termica sau fonica.
(18) La controlul si receptia cladirilor si a constructiilor de zidarie, de piatra se vor preciza urmatoarele:
Daca materialele si piesele intrebuintate corespund celor prescrise in proiect si standarde;
Daca dimensiunile elementelor de constructie executate corespund celor din proiect;
Daca nu s-au ivit defecte din cauza tasarilor;
Daca s-au lasat golurile si santurile pentru conductele de apa, canalizare, incalzire, prevazute in proiect;
Verticalitatea zidurilor, stalpilor si ferestrelor;
Orizontalitatea glafurilor;
Daca buiandrugii sunt bine asezati deasupra golurile de usi si feres-tre;
Centrarea stalpilor, precum si a grinzilor principale si secundare pe stalpi si ziduri;
Executarea conform cu planurile a incastrarii corniselor;
Calitatea suprafetei peretilor de fatada netencuiti;
Legatura dintre zidaria de umplutura si elementele scheletului.
9.2.2. Verificari de efectuat la incheierea fazei de lucru
(1) Verificarile scriptice constau din examinarea existentei si analizarea continutului proceselor verbale de lucrari ascunse, a certificatelor de calitate, a eventualelor buletine de incercare sau a actelor incheiate cu comisia de receptie si a modului de realizare a remedierilor, precum si a dispozitiilor de santier date de beneficiar, proiectant sau organele de control.
(2) Verificarile directe se efectueaza prin sondaj si se refera la aceleasi elemente ca si cele de la art. 1.0.2.1., cu frecventa de cel putin cate unul la fiecare 100 mp de perete.
(3) Verificarea rosturilor zidariei refractare se efectueaza cu lama de control, dimensiunile fiind variabile in raport cu calitatea zidariei ceruta prin proiect:
- Zidaria deosebit de ingrijita cu rosturi pana la 1 mm
- Zidaria ingrijita, cu rosturi de 1-2 mm;
- Zidarie izolatoare de caramida cu diatomit, cu rosturi de 3-4 mm.
(4) Dupa executarea receptiei pe faza, comisia incheie un proces verbal in care consemneaza verificarile efectuate, rezultatele obtinute si concluzia cu privire la posibilitatea continuarii lucrarilor sau propune supunerea lor unei comisii de expertiza.
9.2.3. Verificari de efectuat la terminarea lucrarilor aferente obiectului
(1) Comisia de receptie constituita la terminarea lucrarilor aferente obiectului, prin membrii sai de specialitate sau prin specialisti din afara ei, procedeaza la verificarea scriptica si directia prin sondaje privind dimensiunile, planeitatea, verticalitatea zidariilor si peretilor si dimensiunile golurilor.
In cazul in care o parte din rezultate sunt nesatisfacatoare se va dubla numarul verificarilor; daca si in acest caz o parte din rezultate sunt nesatisfacatoare, comisia va proceda la refacerea tuturor verificarilor prevazute in prescriptiile tehnice, cu aceleasi metode sau cu alte metode care sa dea rezultate echivalente.
Tabelul 9.1
ABATERI LIMITA
Abaterile limita fata de dimensiunile stabilite prin proiect sau prin prescriptiile legale in vigoare sunt conform tabelului
|
Nrcrt. |
Denumirea caracteristicilor |
Abateri limita (mm) |
Observatii |
|
La dimensiunile zidurilor, la grosimea de executie a zidurilor: a.din caramida si blocuri ceramice: |
La peretii executati din materiale provenite din demolari, abaterile limita se majoreaza cu 50% |
||
|
- ziduri cu grosimea ≤63 mm | |||
|
- ziduri cu grosimea de 90 mm | |||
|
- ziduri cu grosimea de 115 mm | |||
|
- ziduri cu grosimea de 140 mm | |||
|
- ziduri cu grosimea de 240 mm | |||
|
- ziduri cu grosimea >240 mm | |||
|
b. din blocuri mici de beton cu agregate usoare: | |||
|
- ziduri cu grosimea ≤240 mm | |||
|
- ziduri cu grosimea de 290 mm | |||
|
- ziduri cu grosimea ≥365 mm | |||
|
c. din blocuri mici, fasii si placi de beton celular autoclavizat: | |||
|
- ziduri cu grosimea ≤126 mm | |||
|
- ziduri cu grosimea de 190 mm | |||
|
- ziduri cu grosimea de 240 mm | |||
|
d. din placi si fasii de ipsos: | |||
|
-ziduri cu grosimea de 70 mm | |||
|
e. din piatra naturala: | |||
|
- ziduri cu grosimea de 300 mm | |||
|
La goluri: a. pentru ziduri din caramizi, blocuri ceramice si din blocuri mici de beton cu agregate usoare: | |||
|
- pentru dimensiunea golului ≤100 cm | |||
|
- pentru dimensiunea golului > 100 cm | |||
|
b. pentru ziduri din blocuri mici, din placi si fasii de BCA | |||
|
c. pentru ziduri din placi si fasii din ipsos | |||
|
d. din piatra naturala: | |||
|
La dimensiunile in plan ale incaperilor: | |||
|
- cu latura incaperii ≤300 cm | |||
|
- cu latura incaperii > 300 cm | |||
|
La dimensiunile partiale in plan (nise, spaleti, etc.) | |||
|
La dimensiunile in plan ale intregii cladiri |
Cu conditia ca denivelarile unui planseu sa nu depaseasca 15 mm |
||
|
La dimensiunile verticale: a. pentru ziduri din caramida, din blocuri ceramice si din blocuri mici de beton cu agregate usoare: | |||
|
- pentru un etaj | |||
|
- pentru intreaga zladire ( cu maximum 5 niveluri) | |||
|
b. pentru ziduri din blocuri mici si placi de beton celular autoclavizat: | |||
|
- pentru un etaj | |||
|
- pentru intreaga cladire ( cu 2 niveluri execuatata din blocuri mici) | |||
|
c. pentru ziduri din placi si fasii din ipsos | |||
|
- pentru un etaj | |||
|
- pentru intreaga cladire | |||
|
La dimensiunea rosturilor dintre caramizi, blocuri sau placi: |
La stalpi portanti cu sectiunea ≤ 0,1 m2 abaterile limita se micsoreaza cu 50% |
||
|
- rosturi orizontale | |||
|
- rosturi verticale | |||
|
- rosturi la zidarii aparente | |||
|
La suprafete si muchii: a) La planeitatea suprafetelor: |
Max. 10 mm pentru o camera |
||
|
- pentru ziduri portante |
3 mm/m |
||
|
- pentru ziduri neportante |
5 mm/m |
||
|
- pentru zidarie aparenta, la pereti portanti si neportanti |
2 mm/m |
||
|
b) La rectilinitatea muchiilor: |
Cel mult 20 mm pe lungimea neintrerupta a zidului |
||
|
- pentru ziduri portante |
2 mm/m |
||
|
- pentru zidarie aparenta, la pereti portanti si neportanti |
1 mm/m |
Cel mult 10 mm pe lungimea neintrerupta a zidului |
|
|
c) La verticalitatea suprafetelor si muchiilor: |
Cel mult 10 mm pe etaj si cel mult 30 mm pe intreaga inaltime a cladirii |
||
|
- pentru ziduri portante |
3 mm/m |
||
|
- pentru ziduri neportante |
2 mm/m |
Cel mult 10 mm pe etaj |
|
|
- pentru zidarie aparenta, la pereti portanti si neportanti |
2 mm/m |
Cel mult 5 mm pe etaj si cel mult 20 mm pe intreaga inaltime a cladirii |
|
|
Abateri fata de orizontala a suprafetelor superioare ale fiecarui rand de caramizi sau blocuri: a. pentru ziduri din caramida, blocuri ceramice si blocuri mici de beton cu agregate usoare: |
Cel mult 15 mm pe toata lungimea neintrerupta a peretelui |
||
|
-pentru ziduri portante |
2 mm/m |
||
|
- pentru ziduri neportante |
3 mm/m |
Cel mult 20 mm pe toata lungimea neintrerupta a zidului |
|
|
b. pentru pereti din blocuri mici si placi de beton celular autoclavizat: |
Cel mult 15 mm pe toata lungimea neintrerupta a zidului |
||
|
- pentru ziduri portante |
4 mm/m |
||
|
- pentru ziduri neportante |
6 mm/m |
Cel mult 20 mm pe toata lungimea neintrerupta a zidului |
|
|
c. pentru ziduri din placi de ipsos |
Cel mult 20 mm pe toata lungimea neintrerupta a zidului |
||
|
- pentru ziduri neportante |
3 mm/m |
||
|
La coaxialitatea zidurilor suprapuse: |
Cel mult 20 mm pe toata lungimea neintrerupta a zidului |
||
|
- dezaxarea de la un nivel la urmatorul | |||
|
- maxima pe intreaga constructie |
Cel mult 30 mm dezaxarea maxima cumulata, pe mai multe niveluri |
||
|
La rosturile de dilatatie, tasare si antiseismice | |||
|
- la latimea rostului | |||
|
- la verticalitatea muchiilor ros-turilor |
2 mm/m |
Cel mult 20 mm pentru intreaga inaltime a cladirii |
ANEXA FIGURI









































|
Politica de confidentialitate | Termeni si conditii de utilizare |
Vizualizari: 6764
Importanta: ![]()
Termeni si conditii de utilizare | Contact
© SCRIGROUP 2025 . All rights reserved