| CATEGORII DOCUMENTE |
| Aeronautica | Comunicatii | Electronica electricitate | Merceologie | Tehnica mecanica |
Linii scurte
Pentru liniile scurte vom avea:
![]()

Pierderile de putere pe linia de transport, cu considerarea factorilor mentionati pentru o tensiune data si un curent (putere) la capatul liniei dat, considerand tensiunea constanta in lungul liniei, se poate scrie :

unde:
este curentul
capacitiv al liniei de lungime L la
distanta l de capatul ei; Ia2
si Ir2 curentul
activ, respectiv reactiv la capatul acesteia; K1 1 -
; ZL z0 L -
impedanta totala a liniei
Dupa integrare se obtine:
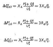
Inlocuind curentii prin puteri expresia devine:
![]()
Utilizarea formulei pentru analize tehnico-economice referitoare la liniile de transport da rezultate satisfacatoare chiar si pentru regimuri in care incarcarea liniilor difera de cea naturala.
|
Politica de confidentialitate | Termeni si conditii de utilizare |
Vizualizari: 697
Importanta: ![]()
Termeni si conditii de utilizare | Contact
© SCRIGROUP 2025 . All rights reserved