Scrigroup - Documente si articole

     

HomeDocumenteUploadResurseAlte limbi doc
AeronauticaComunicatiiElectronica electricitateMerceologieTehnica mecanica


Lucrul efectuat de forta campului electric

Electronica electricitate



+ Font mai mare | - Font mai mic



Lucrul efectuat de forta campului electric

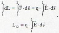
Orice sarcina q aflata intr-un camp electric este actionat de o forta electrica, lucrul elementar efectuat de forta campului:



(11.14)

Cand sarcina electrica, q se deplaseaza dintr-un punct in altul al campului electrostatic sub influenta fortei campului electric, energia ei potentiala scade (si creste energia cinetica) pe seama lucrului efectuat de forta campului electrostatic asupra ei.

Lucrul finit efectuat de forta cam-

pului pentru a deplasa sarcina din

punctul 1 in punctul 2 este:

Fig. 11.5 Pentru calculul lucrului mecanic se   

considera un interval infinitezimal mic pentru

care forta se poate considera constanta.

Daca se noteaza cu W(1) si W(2) energiile potentiale ale sarcinii electrice q in punctele 1 si 2, atunci scaderea energiei potentiale a sarcinii electrice intre cele doua puncte este W(1) - W(2) = L . Variatia energiei potentiale este:

(11.16)

Daca sarcina q este deplasata fara acceleratie din punctul 2 in punctul 1 impotriva fortei electrice de catre o forta exterioara aceasta efectueaza un lucru mecanic care se inmagazineaza prin cresterea energiei potentiale care creste de la W(2) la W(1).



Politica de confidentialitate | Termeni si conditii de utilizare



DISTRIBUIE DOCUMENTUL

Comentarii


Vizualizari: 2482
Importanta: rank

Comenteaza documentul:

Te rugam sa te autentifici sau sa iti faci cont pentru a putea comenta

Creaza cont nou

Termeni si conditii de utilizare | Contact
© SCRIGROUP 2025 . All rights reserved