| CATEGORII DOCUMENTE |
| Aeronautica | Comunicatii | Electronica electricitate | Merceologie | Tehnica mecanica |
EEP in electrotehnologii
![]()
![]()
![]()
DIMENSIONAREA TRANSFORMATOARELOR DE PUTERE LA INALTA FRECVENTA
1. Procedura neiterativa
1.1. Consideratii preliminare
Procedura este aplicabila pentru calculul transformatoarelor relativ mici (102103W), racite pe cale naturala, prin convectie si radiatie, utilizate in electronica de putere. Procedurua este de tip neiterativ, ceea ce presupune accesul la o baza de date completa referitoare la caracteristicile miezului. Pentru situatia in care nu se dispune de toate datele referitoare la miez, se poate deduce, totusi si o procedura iterativa. Procedura prezentata ia in considerare procesele termice dezvoltate in transformator. Totodata, se pleaca de la premiza utilizarii aceluiasi tip de conductor in ambele infasurari.
Date de intrare:
U1=500[V]
U20=75[V]
Ku=4
S=900[VA]
f=70[kHz]
θs=100[C]
θa=20[C]
1.2. Fundamentarea dimensionarii
Punctul de plecare in dimensionare il constituie relatiile puterii aparente ale transformatorului. Plecand de la relatia generala a puterii aparente a transformatorului:
unde tensiunea primara, respectiv curentul in primar sunt date de relatiile:
unde:
ku - factor al formei de unda a tensiunii; ku = 4, pentru tensiune dreptunghiulara, respectiv ku = 4,44, pentru tensiune sinusoidala;
kbf = kb kuf, factor global de ocupare a ferestrei transformatorului de catre cupru.
Relatia curentului din (1.2) este valabila in ipotezele aceleiasi densitati de curent in infasurari, respectiv ale aceluiasi factor de bobinare al infasurarilor. Factorul kbf = 0,3.0,55, reprezinta factorul combinat de bobinare si de ocupare a ferestrei transformatorului; valorile mai mici corespund pentru conductor litat, iar cele mai mari pentru conductor rotund .
Rescriind relatia (1.1) cu expresiile tensiunii si curentului primar, date de relatiile (1.2), rezulta relatia fundamentala de dimensionare a transformatorului, care coreleaza puterea aparenta procesata de transformator cu produsul ariilor miezului si ferestrei:
Relatia (1.3) constituie punctul de plecare al procedurii de dimensionare. Aceasta leaga parametrii electrici specificati ca date de intrare (tensiunea si curentul primar) din membrul stang cu proprietatile si capabilitatile miezului selectat de catre proiectant drept
posibil candidat pentru aplicatia data.
Etapele procedurii de dimensionare sunt:
- Asamblarea datelor de intrare;
- Alegerea miezului (material, forma si dimensiuni geometrice);
- Determinarea densitatii admisibile a pierderilor de putere;
- Determinarea valorilor caracteristice ale inductiei magnetice;
- Determinarea numerelor de spire si ariilor sectiunii transversale ale conductoarelor infasurarilor;
- Determinarea inductivitatii de dispersie a transformatorului;
- Determinarea puterii aparente maxim obtenabile;
- Ajustarea puterii aparente la cea dorita prin datele de intrare.
1.3. Asamblarea datelor de intrare
Datele de intrare pentru dimensionarea transformatorului sunt:
- Tensiunea primara (valoare
efectiva),
;
- Curentul primar nominal (valoare efectiva),
;
- Raportul de transformare, n=N1/N2
- Frecventa nominala de
functionare,
;
- Temperatura maxima la
suprafata invelitoarei transformatorului,
;
- Temperatura maxima a
mediului ambiant,
;
Corelarea datelor de intrare cu caracteristicile miezului feromagnetic se face pe baza ecuatiei fundamentale de dimensionare (1.3), precum si pe baza "factorului de performanta" (Fp) al feritei, definit ca produs intre amplitudinea inductiei magnetice in miez si frecventa de lucru. Pentru o frecventa, data prin tema de proiectare, se alege materialul cu factorul de performanta cel mai mare.
Puterea aparenta a transformatorului se determina pe baza relatiei (1.1).
1.4. Alegerea miezului feromagnetic
Miezul feromagnetic se cauta intr-o "baza de date" constituita pe baza ecuatiei fundamentale de dimensionare (1.3), alegand miezul cu cea mai apropiata valoare superioara a puterii aparente disponibile.
Baza de date pentru miez este o reprezentare tabelara in care sunt trecute valorile parametrilor caracteristici ai miezului, asamblate pentru un anumit set al valorilor datelor de intrare, Tabelul 1

Relatiile de calcul pentru baza de date sunt:
a). produsul ariilor caracteristice, AFe Af, rezulta din datele de catalog ale tipodimensiunii de miez feromagnetic;
In cazul nostruu vom calcula baza de date pentru 3 tipuri de miez ferromagnetic: ETD44, ETD49 si ETD59.
Alegem din anexa 2 dimensuinile caracteristice fiecarui miez in parte , precum si aria fierului, aria bobinajului si volumul fierului.
A=43,99
B=22,3
C=14,8
D=16,1
E=33,3
F=14,8
(Core area -Ac)
(Wa*Ac) de unde
rezulta si aria bobinajului:
![]()
Aria ferestrei o calculam dupa dimensiunile geometrice ale miezului:
Din formula ariei bobinajului Abob putem calcula grosimea minima a bobinajului:
![]()
Grosimea maxima pe care o poate atinge bobinajul este astfel incat sa ocupe toate fereastra , si anume:
![]()
Alegem gb=0.008 [m].
Calculul ariei laterale a bobinajului o vom calcula dupa formula de mai jos:

Aria totala de transfer termic a transformatorului include aria laterala a bobinajului cat si ariile suprafetelor laterale ale miezului ferromagnetic care intra in contact cu aerul:
At=2(A*B+A*D-2*E*D)+4*B*C+A*C=0,03205[m]
![]()
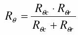
b). rezistenta termica globala a transformatorului:
unde rezistentele termice de convectie R c, respectiv radiatie R r, sunt date de relatiile, [1]:
(1.5)
unde:
A - aria echivalenta totala de schimb termic cu mediul ambiant a transformatorului;
hv - lungimea caracteristica pe verticala a transformatorului;
![]()
= s - a, diferenta dintre temperatura pe suprafata transformatorului si temperatura mediului ambiant;
![]()
Ts = s+273; Ta = a+273, temperaturile absolute.
Rezulta :

In a doua relatie (1.5) s-a presupus ca emisivitatea totala a suprafetei componentei magnetice este =0,9, [1, 2].

Putem acum sa calculam rezistenta termica globala a transfoematorului:

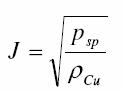
c). pierderile specifice,
psp, [W/m3], sunt date de relatia
Unde s-a presupus o distributie uniforma a pierderilor specifice in miez si infasurari.
Volumul V, este volumul total al materialului feromagnetic si al celui conductor ale transformatorului:
![]()
Volumul estimat al cuprului este dat de relatia :
(1.8)
unde Vb, este volumul total al bobinajului (volum estimat, in functie de aria disponibila a ferestrei miezului).
(valoare data in catalogul de miezuri);
Volumul bobinajului il calculam in functie de dimensiunile geometrice ale miezului cat si de grosimea bobinajului aleasa :
![]()
![]()
Factorul global de bobinare este definit ca raport intre aria transversala totala a bobinajului (primar si secundar si aria sectiunii transversale efective a cuprului din primar si secundar). Valorile recomandate sunt date in tabelul 2, [1, 2]:

Alegem kb=0.33 coresrunzator conductorului multifilar litat.
![]()
d). densitatea de curent in infasurari este data de relatia:

unde pentru rezistivitatea cuprului la temperatura de 100oC, se considera valoarea Cu=2,2 10-8 [m], [1, 2].

e). amplitudinea componentei alternative a inductiei magnetice in miez se obtine cu relatia:

unde: a, b, c, sunt coeficientii formulelor de aproximare ale pierderilor in miez, date in catalogul de miezuri, [3].
Alegem din catalogul de materiale ,materialul K astfel incat valoarea puterii aparente calculate la sfarsit sa se incadreze in limitele de eroare.
a=0,0717
b=1,72
c=2,66

f). puterea aparenta raportata la frecventa se obtine din relatia (1.3), cu valorile deja calculate pentru produsul ariilor, densitatea de curent si amplitudinea inductiei magnetice:

![]()
Cu relatiile de mai sus se calculeaza parametrii caracteristici ai bazei de date pentru miezurile selectate preliminar drept candidate pentru transformatorul proiectat.
1.5. Determinarea numarului de spire ale infasurarilor
Numarul de spire in primar, respectiv secundar, se determina cu relatiile

![]()
![]()
1.6. Calculul dimensiunilor conductoarelor infasurarilor
Ariile sectiunii transversale ale conductoarelor infasurarilor, in ipoteza neglijarii curentilor turbionari, se calculeaza cu relatiile:

![]()
![]()
Ipoteza neglijarii efectelor curentilor turbionari (efectul pelicular) este valabila in cazul utilizarii conductoarelor multifilare litate, respectiv folie de cupru, cu dimensiunile (diametru, grosime) comparabile cu adancimea de patrundere a efectului pelicular, care pentru cupru este data de expresia:

![]()
1.7. Determinarea inductivitatii de dispersie a transformatorului
Se determina o valoare aproximativa a inductivitatii de dispersie a transformatorului, cu relatia, [1, 2]:

unde: lsm, este lungimea medie a unei spire primare; gb, grosimea bobinei primare; hb inaltimea bobinajului, p un coeficient care tine seama de tipul bobinajului (p=1, pentru bobinaje neintercalate, p=2, pentru bobinaje intercalare, tip S/2-P-S/2).
![]()
Pentru cazul nostru de proiectare p=1:bobinaje neintercalate.
![]()
1.8. Verificarea puterii aparente procesate de miezul selectat
Pentru miezul selectat, se calculeaza puterea aparenta procesata Sp, cu relatia (1.3). Se verifica coperspondenta puterii aparente procesate cu cea ceruta prin tema de proiectare:
S=U1 I1, conform urmatoarelor criterii, [1, 2]:
- S = (0,8.1)Sp, calculul se considera satisfacator;
- S<0,8Sp, se reia calculul cu miezul imediat inferior dimensional;
- S>Sp, se reia calculul cu miezul imediat superior dimensional.
Prin urmare, Sp=1180; S=900, rezulta S/Sp=0.84, satisfacator
|
Politica de confidentialitate | Termeni si conditii de utilizare |
Vizualizari: 1142
Importanta: ![]()
Termeni si conditii de utilizare | Contact
© SCRIGROUP 2026 . All rights reserved