| CATEGORII DOCUMENTE |
| Aeronautica | Comunicatii | Electronica electricitate | Merceologie | Tehnica mecanica |
1. TEMA PROIECTULUI
Sa se adapteze schema emitatorului telegrafic din sistemul ST3, tehnologia bazata pe Germaniu fiind inlocuita de tehnologia cu Siliciu.

2. BREVIAR DE CALCUL
Alegem tensiunea de iesire U
=24V. Impedanta de iesire
intre bornele 11, 12 este Z
(data de R
Rezulta un curent in
secundarul transformatorului TR
![]()

Puterea din
secundarul de iesire al transformatorului TR
este:
Randamentul
transformatorului TR
il alegem corespunzator
valorii:
Puterea din primarul transformatorului
TR
rezulta din relatia:
![]()
Se considera un raport de transformare:
,
unde
reprezinta numarul de spire al infasurarii
primare, iar
numarul de spire al infasurarii secundare.

Din relatiile corespunzatoare raportului de
transformare avem:
(curentul din primar).
(tensiunea din primar)
Impedanta de intrare a infasurarii primare:

Se considera ca rezistentele infasurarilor sunt egale
(
).
Rezulta astfel sistemul:
,
unde L
reprezinta inductanta infasurarii primare, iar L
corespunde infasurarii secundare.
Deoarece avem relatia dintre inductante si raportul de transformare:
,
se va inlocui in sistem.

Se considera modulele impedantelor:



Inductanta infasurarii primare este:
![]()
.

Alegem pentru transformator un miez de ferita moale
de tip oala
cu
diametrul de 23 mm, avand
.
Dimensiunile acestei ferite sunt:
- d1 = 23 mm
- d2 = 18.7 mm
- d3 = 11.2 mm
- d4 = 5.7 mm
- h1 = 17.2 mm
- h2 = 11.9 mm
- a = 2.7 mm
- greutate: 11g
Fereastra utila este 9.9x3.9 mm.
Acestui tip de miez ii corespunde urmatoarea relatie de calcul a inductantei:
,
unde n este numarul de spire al infasurarii respective.
Rezulta numarul de spire
din primarul transformatorului
Numarul de spire din secundar:
Numarul de spire pe strat este:
![]()
Rezistenta infasurarilor este:
Punctul static de functionare
Consideram tranzistorul bipolar de tip npn. Pentru un tranzistor aflat intr-un circuit electric, ne intereseaza sa determinan curentul de colector al tranzistorului Ic si tensiunea Uce dintre colector si emitor (respectiv Uec pentru pnp) in regim activ normal (RAN) atunci cand se cunosc parametrii o si Ube (respectiv Ueb pentru pnp). Marimile Ic si Uce formeaza coordonatele punctului static de functionare si se gasesc pe caracteristica statica de iesire in conexiune EC a tranzistorului, la intersectia cu dreapta statica de sarcina.
Caracteristica statica de iesire a unui tranzistor in
conexiunea EC
Pentru a calcula curentul de colector, vom scrie o ecuatie KII intre potentialele Vcc si masa, pe traseul care cuprinde baza si emitorul.
Caracteristi electrice pt Bc 177
Caracteristicile statice de iesire ale lui Bc 177

Se considera schema urmatoare, in care
, iar

Schema devine astfel:

Valoarea curentului din
emitorul tranzistorului
este:
.
Tensiunile din emitor si din baza sunt:
Se considera teorema a II-a a lui Kirchhoff:

Ua -tensiunea de alimentare
UB
- tensiunea din baza lui
- curentul din baza lui ![]()
Stiind ca
,
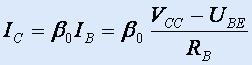
rezulta curentul din colector:
![]()
Factorul de amplificare are valoarea:
Alegem R5 = 4.7 kW de tip RPM 3100 / 1W, seria E12 (10%).
PR5 = R I2 = 4.7 103 169 10-6 = 0.79 W
Alegem R8 = 51 W de tip RPM3012 / 0.125W, seria E24 (5%).
PR8 = R I2 = 50 1936 10-6 = 0.097 W
Conform datelor obtinute se alege tranzistorul
de
tipul BC177, avand urmatoarele caracteristici:

Capsula TO-18 are urmatoarele dimensiuni (in mm):

Transformatorul
mai contine doua infasurarii secundare
identice avand numarul de infasurari:
![]()
Se alege ![]()
Stiind ca
, rezulta:
.
Se recalculeaza valoarea condensatorului de acord
:
![]()
Alegem C6 = 91 pF de tip ceramic 2222 424, (10%).
Transformatorul TR1 are doua infasurari, cea primara avand inductanta L1 =21mH. Se alege acelasi miez de ferita de tip oala, avand
Numarul de spire din primar este:
n1 = 145 sp
Numarul de spire din secundar este:
n2 = 73 sp
Se alege dioda Zener de tipul DZ9V1, avand IZM = 43 mA

Caracteristica unei diode Zener
Condensatorul C3 de acord are noua valoare:

Se alege C3 = 91pF de tip ceramic 2222 424, (10%).
Din ratiuni similare celor ce au condus la alegerea tranzistorului T2 , se alege T1 de tip BC177.
Luand in considerare faptul ca bSi bGe, rezulta un curent in baza tranzistorului T1 de 5 ori mai mic:
![]()
Tensiunea de la intrare este:
Uin = 36 V
Rezulta ca pentru realizarea acestui curent avem nevoie in baza lui T1 de rezistenta echivalenta:

Alegem potentiometrul P1 = 4.7 kW de tip CTP10, seria E12 (10%)
. Alegem rezistoarele R1 = R2 = 3.3 kW de tip RPM 3012 / 0.125W, seria E24 (5%).
PR1,R2 = R I2 = 3.3 103 16 10-6 = 52.8 mW
Rezistorul R3 = 10 W trebuie sa fie calibrat si il alegem de tip RPM 3012 / 0.125W, seria E96 (1%).
Dioda D1 o alegem de tipul 1N4001 avand caracteristicile de tensiune si curent:
- VRRM = 50V
- IFRM = 10A
- IFAVM = 1A
Se alege condensatorul C4 = 10 μF de tip electrolitic cu Al, 35V, seria EG6400 (20%).
Se alege condensatorul C7 = 47 μF de tip electrolitic cu Al, 35V, seria EG6400 (20%).
3. FIABILITATEA ECHIPAMENTULUI
Dupa caracteristicile lor, defectarile care determina durata de functionare a unui echipament, se impart in trei categorii principale:
a) Defectari intamplatoare a caror prevedere este, de obicei, imposibila. Studierea lor este dificila si se preteaza numai analizei statistice.
b) Degradarea (uzura), care duce, prin modificari relativ lente si monotone ale caracteristicilor elementelor, la iesirea din functiune a instalatiei. Se observa, ca uneori defectarile intempestive sunt rezultatul unui proces de degradare, ale carui efecte lent variabile nu au fost resimtite de echipament.
c) Defectari datorate exploatarii, care apar cand aparatura lucreaza in conditii de ambianta si regimuri de lucru care depatesc pe cele maxim admisibile sau cand este utilizata defectuos. Aparitia acestor defectari este imprevizibila, insa se pot lua masuri pentru micsorarea numarului lor.
|
ELEMENT |
Nr. Elem. |
kj min/elem |
kj max/elem |
kj min total |
kj max total |
|
1. Suduri cu fludor |
58 |
0,2 |
0,3 |
11,6 |
17,4 |
|
2.Rezistente ceramice |
10 |
0,3 |
1,33 |
3 |
13,3 |
|
3. Condensatoare ceramice |
5 |
0,33 |
2,7 |
1,65 |
13,5 |
|
4. Condensatoare electrolitice |
2 |
0,58 |
3,33 |
1,16 |
6,6 |
|
5. Bobine si transformatoare la nivel mic |
6 |
1,1 |
1,5 |
6,6 |
9 |
|
6. Circuit imprimat 1 fata=1 dm2 |
1 |
1,2 |
2,4 |
1,2 |
2,4 |
|
7. Dioda Zener |
1 |
1,0 |
7 |
1 |
7 |
|
8. Socluri conectoare simple |
10 |
3,8 |
7,4 |
38 |
74 |
|
9. Potentiometru cu pelicula de C |
1 |
7,2 |
12 |
7,2 |
12 |
|
10. Diode semiconductoare si tranzistoare la nivel mic |
3 |
1,5 |
3,1 |
4,5 |
9,3 |
|
Total |
97 |
75,91 |
164,56 |
kj = λ0j / λ0r
kj - coeficientul de comparatie
λ0j - intensitatea de defectare a componentei respective
λ0r - valoarea medie a intensitatii de defectare
Functia de fiabilitate:
![]()
o luna t=720h
3 luni t=2160h
6 luni t=4320h
12 luni t=8640h
4. NOMENCLATOR DE COMPONENTE
|
Simbol |
Valoarea nominala si toleranta |
Tip |
|
R1 |
3.3 kΩ 10% |
RPM3012 /0.125W |
|
R2 |
3.3 kΩ 10% |
RPM3012 /0.125W |
|
R3 |
10 Ω 1% |
RPM3012 /0.125W |
|
R4 |
100 Ω 10% |
RPM3012 /0.125W |
|
R5 |
4.7 kΩ 10% |
RPM3100 /1W |
|
R6 |
5.6 kΩ 10% |
RPM3025 /0.25W |
|
R7 |
11 kΩ 5% |
RBA3002 /2W |
|
R8 |
51 Ω 5% |
RPM3012 /0.125W |
|
R9 |
1.8 kΩ 10% |
RPM3050 /0.2W |
|
R10 |
620 Ω 5% |
RPM3100 /1W |
|
C1 |
3830 pF 2% |
222 630 , ceramic |
|
C2 |
3830 pF 2% |
222 630 , ceramic |
|
C3 |
88.7 pF 1% |
222 632 , ceramic |
|
C4 |
10 μF 5% |
222 030 / 40V |
|
C5 |
1 μF 10% |
222 630 , ceramic |
|
C6 |
93.1 pF 1% |
222 632 , ceramic |
|
C7 |
51 μF 5% |
222 030 / 40V |
|
T1 |
- |
BC177 |
|
T2 |
- |
BC177 |
|
P1 |
4.7 kΩ 10% |
CTP10 |
|
DZ1 |
9.1 V |
DZ9V1 |
|
D1 |
- |
1N4001 |
|
Politica de confidentialitate | Termeni si conditii de utilizare |
Vizualizari: 1986
Importanta: ![]()
Termeni si conditii de utilizare | Contact
© SCRIGROUP 2026 . All rights reserved