Scrigroup - Documente si articole

     

HomeDocumenteUploadResurseAlte limbi doc
AgriculturaAsigurariComertConfectiiContabilitateContracteEconomie
TransporturiTurismZootehnie

Navigatie

Optimizarea diametrului tubulaturii in functie de cheltuielile de constructie si exploatare

Navigatie



+ Font mai mare | - Font mai mic



Optimizarea diametrului tubulaturii in functie de cheltuielile de constructie si exploatare



La proiectarea unei instalatii cu tubulaturi se cere ca aceasta sa transfere un debit Q, la o viteza de transport v si nelimitandu-se pierderile de sarcina h, ceea ce se poate realiza cu o gama larga de diametre d. Astfel, instalatiile cu tubulaturi de diametre mari au pierderi de sarcina mici, cheltuieli de exploatare mici, dar cheltuielile de investitii sunt mari.




Solutia optima este aceea in care cheltuielile legate de construirea si exploatarea instalatiei sunt minime.


Cheltuielile de constructie depind de masa mt a tubulaturii:


mt = ρ1πdsL


unde: ρ1 - este densitatea materialului tubulaturii [kg/m3]; d, s, L - diametrul, grosimea peretilor si lungimea tubulaturii.


Cheltuielile de constructie C1 sunt:


C1 = kp1ρ1πdsL


unde: k este coeficientul de majorare a cheltuielilor de constructie, datorita necesitatilor de montaj; p1- costul unitatii de masa de tubulatura [lei/kg]


Pentru durata de exploatare a instalatiei 1/p ani din totalul cheltuielilor de constructie, revine anual cota A1=pC1 [lei/an


Considerand H sarcina instalatiei [m coloana apa] si σ rezistenta admisibila a materialului tubulaturii, grosimea peretilor s se poate exprima, in functie de presiunea interioara ρfgH (f fiind densitatea fluidului )cu relatia:


s= ρfgHd/2  astfel incat se poate scrie ca:



A1=k1d2 si


k1=pp1k gρ1ρfLH /2σ


Toate marimile incluse in constanta k1 sunt independente de diametru.


Cheltuielile de constructie pentru masinile hidropneumatice ale instalatiilor depind de puterea instalata:


P2fgQh/1000η [kw]


Daca p2 [lei/kw] este costul specific al masinilor, cheltuielile anuale de amortizare a masinilor, A2 sunt:


A2 = p2pρfgQh /1000η


sau tinand cont de variatia parabolica a sarcinii cu debitul rezulta:


A2=k2d-5 [lei/an] unde k2=8103p2 ρf pQ3λl /2η


Marimea k2 este independenta de diametru.


Cheltuielile anuale de exploatare A3 reprezinta costul energiei consumate anual prin frecari. Puterea P3 necesara invingerii rezistentelor h este :


P3=10-3 ρfghQ


Energia pierduta anual pin frecare pentru ore de functionare a instalatiei este: E=P3 [kwh/an]


Notand p3[lei/kwh], costul energiei consumate, se poate scrie:


A3=k3d-5 [lei/an] unde k3=8103p2 ρf pQ3λl /2


Toate marimile incluse in expresia lui k3 sunt de asemenea independente de diametru d.


Cheltuielile anuale de constructie si exploatare sunt minime cand suma A=A1+A2+A3 este minima, solutie a ecuatiei obtinuta prin derivarea lui A.


Tinand cont de relatiile de mai sus se poate scrie:


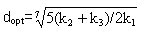
A=k1d2+(k2+k3)d-5


Suma A este minima pentru diametrul care constituie solutia ecuatiei:


∂A/∂d=0=2k1d-5(k2+k3)d-6


deci valoarea optima a diametrului este:





Politica de confidentialitate | Termeni si conditii de utilizare



DISTRIBUIE DOCUMENTUL

Comentarii


Vizualizari: 545
Importanta: rank

Comenteaza documentul:

Te rugam sa te autentifici sau sa iti faci cont pentru a putea comenta

Creaza cont nou

Termeni si conditii de utilizare | Contact
© SCRIGROUP 2025 . All rights reserved